• US Legal Forms

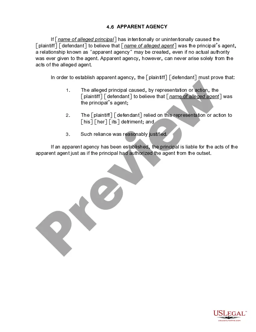
5.04 ENTITY RESPONSIBILITY - ENTITY DEFENDANT - AGENCY RATIFICATION

State:
Multi-State
Control #:
US-JURY-7THCIR-5-4-CR
Format:
Word
Instant download
This website is not affiliated with any governmental entity
Public form

Description

Official Pattern Jury Instructions adopted by Federal 7th Circuit Court. All converted to Word format. Please see the official site for addional information. www.ca7.uscourts.gov/pattern-jury-instructions/pattern-jury.htm

5.04 Entity Responsibility — EntitDefendantan— - Agency Ratification is a process by which a party or entity (the defendant) agrees to accept legal responsibility for an action taken by an agency or entity (the plaintiff). This form of ratification is commonly used in legal proceedings where the defendant has taken an action that was approved or authorized by an agency or entity. In these cases, the defendant has agreed to be held accountable for any damages or losses that may result from the actions of the agency or entity. There are two types of 5.04 Entity Responsibility — EntitDefendantan— - Agency Ratification: voluntary and involuntary. Voluntary ratification occurs when the defendant agrees to the terms of the settlement or agreement without duress or coercion and is willing to accept the legal responsibility for any damages or losses that may result from the actions of the agency or entity. Involuntary ratification occurs when the defendant is forced or pressured to accept the terms of the settlement or agreement and is held legally accountable for any damages or losses that may result from the actions of the agency or entity.

How to fill out 5.04 ENTITY RESPONSIBILITY - ENTITY DEFENDANT - AGENCY RATIFICATION?

How much time and resources do you often spend on drafting formal paperwork? There’s a greater opportunity to get such forms than hiring legal experts or wasting hours searching the web for a suitable template. US Legal Forms is the top online library that offers professionally drafted and verified state-specific legal documents for any purpose, like the 5.04 ENTITY RESPONSIBILITY - ENTITY DEFENDANT - AGENCY RATIFICATION.

To get and prepare a suitable 5.04 ENTITY RESPONSIBILITY - ENTITY DEFENDANT - AGENCY RATIFICATION template, follow these simple steps:

  1. Look through the form content to ensure it complies with your state laws. To do so, check the form description or use the Preview option.
  2. If your legal template doesn’t meet your needs, locate a different one using the search bar at the top of the page.
  3. If you already have an account with us, log in and download the 5.04 ENTITY RESPONSIBILITY - ENTITY DEFENDANT - AGENCY RATIFICATION. If not, proceed to the next steps.
  4. Click Buy now once you find the right document. Choose the subscription plan that suits you best to access our library’s full opportunities.
  5. Sign up for an account and pay for your subscription. You can make a payment with your credit card or through PayPal - our service is totally secure for that.
  6. Download your 5.04 ENTITY RESPONSIBILITY - ENTITY DEFENDANT - AGENCY RATIFICATION on your device and complete it on a printed-out hard copy or electronically.

Another benefit of our library is that you can access previously purchased documents that you safely keep in your profile in the My Forms tab. Pick them up anytime and re-complete your paperwork as often as you need.

Save time and effort preparing formal paperwork with US Legal Forms, one of the most trusted web solutions. Join us today!

Form popularity

Trusted and secure by over 3 million people of the world’s leading companies

5.04 ENTITY RESPONSIBILITY - ENTITY DEFENDANT - AGENCY RATIFICATION