Contract to Build and Maintain Canal System

State:
Multi-State
Control #:
US-13409520BG
Format:
Word; 
Rich Text
Instant download

Description

A canal is an artificial waterway. It is used for such things as irrigation, land drainage, urban water supply, hydroelectric power generation, transportation of cargo and people, power generation A canal is also used to connect industrial centers with ports to speed movement of raw materials.

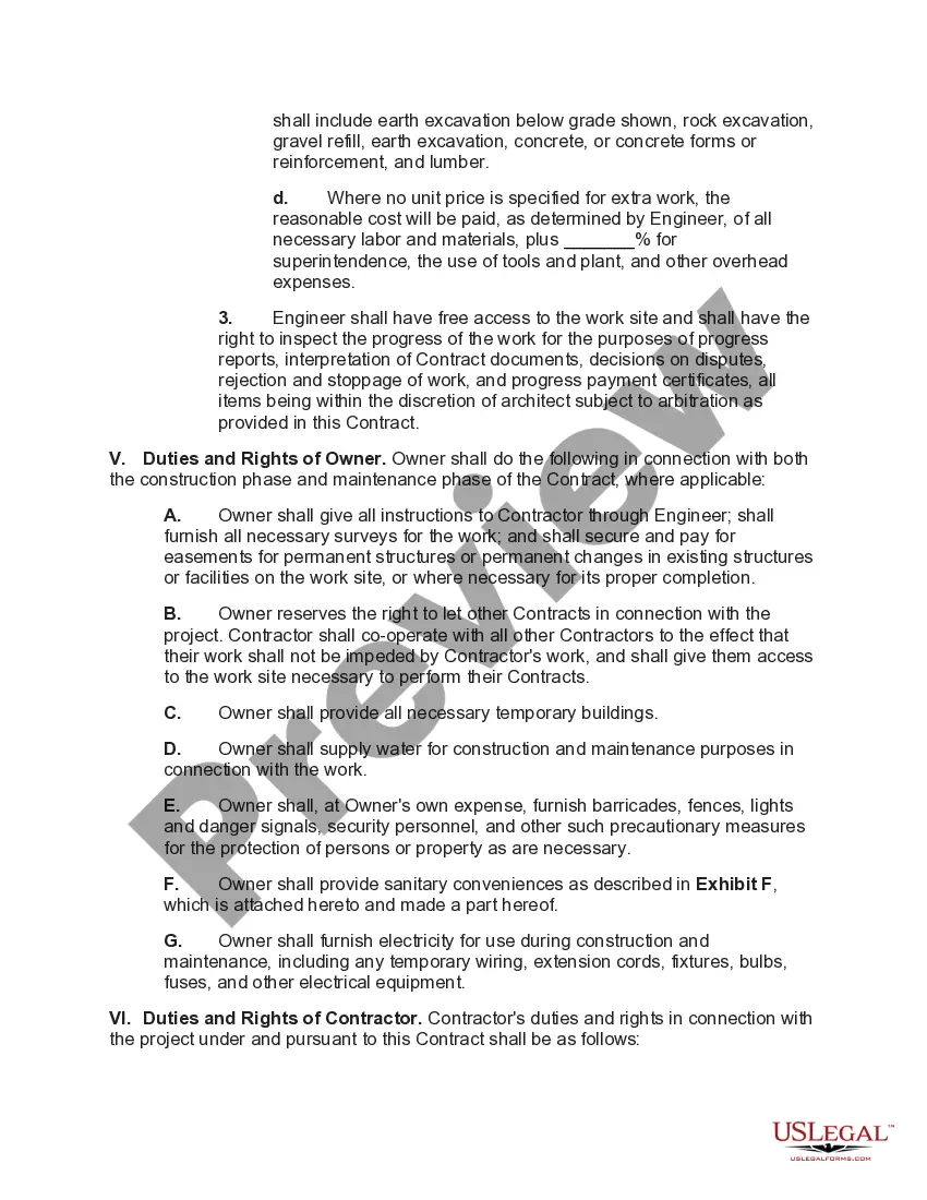
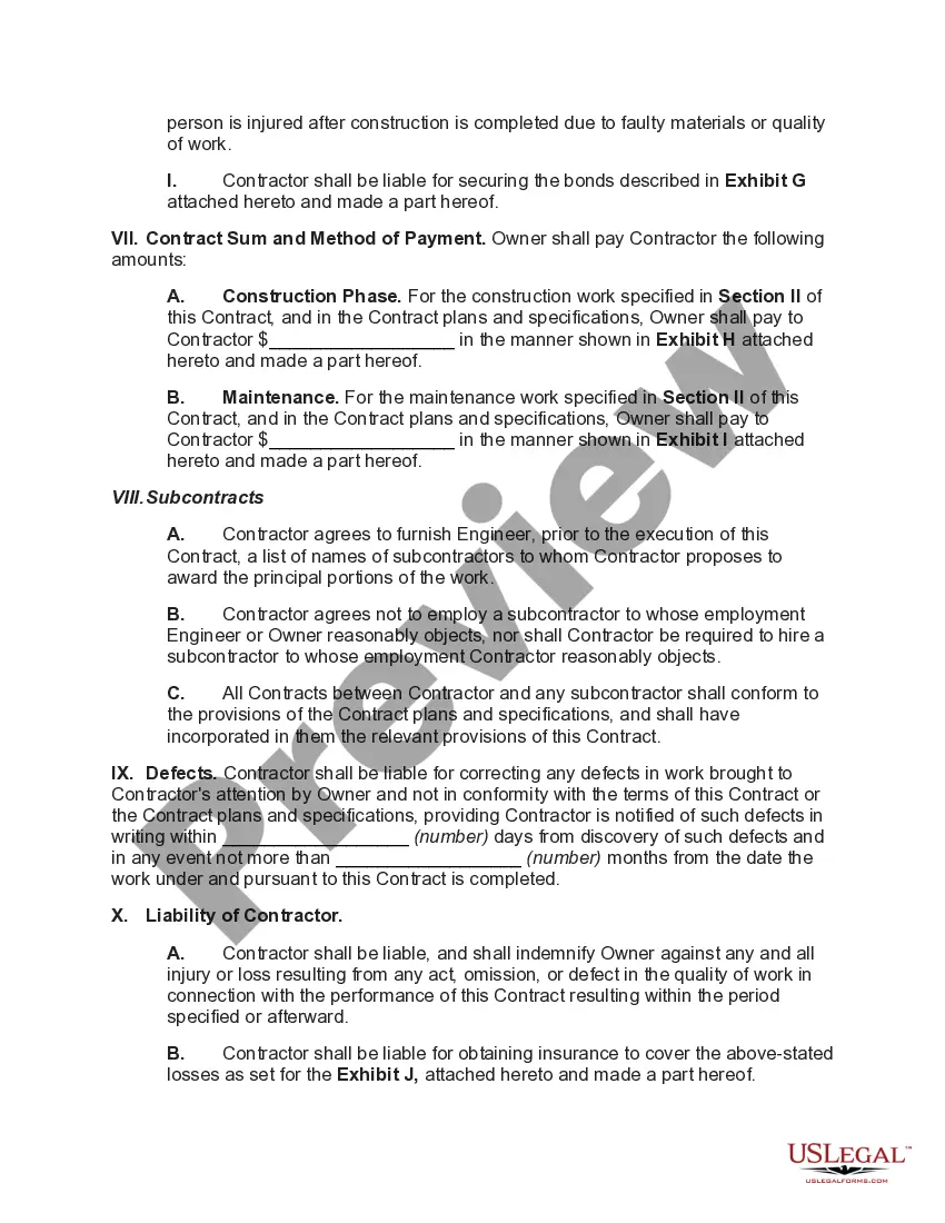
A Contract to Build and Maintain Canal System is an agreement between a contractor and a client to construct and/or maintain a canal system. The contract outlines the scope of work, timeline, cost, and quality standards for the project. The contractor is usually responsible for the design, construction, testing, and maintenance of the canal system. The different types of contracts for building and maintaining a canal system may vary depending on the scope of work and the complexity of the project. The main types of contracts include construction contracts, design-build contracts, and operations and maintenance contracts. Construction contracts are contracts where the contractor is solely responsible for the design, construction, and testing of the canal system. Design-build contracts are contracts where the contractor is responsible for both the design and construction of the canal system. Operations and maintenance contracts are contracts where the contractor is responsible for the long-term maintenance of the canal system after construction is complete. Regardless of the type of contract, all contracts for building and maintaining a canal system must include a detailed description of the scope of work, timeline, cost, and quality standards for the project. Additionally, the contract should include clauses related to insurance, warranties, and dispute resolution.

Free preview
  • Preview Contract to Build and Maintain Canal System
  • Preview Contract to Build and Maintain Canal System
  • Preview Contract to Build and Maintain Canal System
  • Preview Contract to Build and Maintain Canal System
  • Preview Contract to Build and Maintain Canal System
  • Preview Contract to Build and Maintain Canal System
  • Preview Contract to Build and Maintain Canal System

How to fill out Contract To Build And Maintain Canal System?

Handling official documentation requires attention, precision, and using properly-drafted blanks. US Legal Forms has been helping people across the country do just that for 25 years, so when you pick your Contract to Build and Maintain Canal System template from our library, you can be sure it complies with federal and state laws.

Dealing with our service is simple and quick. To get the necessary document, all you’ll need is an account with a valid subscription. Here’s a quick guide for you to find your Contract to Build and Maintain Canal System within minutes:

  1. Make sure to carefully check the form content and its correspondence with general and legal requirements by previewing it or reading its description.
  2. Search for another formal template if the previously opened one doesn’t match your situation or state regulations (the tab for that is on the top page corner).
  3. Log in to your account and save the Contract to Build and Maintain Canal System in the format you prefer. If it’s your first time with our website, click Buy now to proceed.
  4. Register for an account, select your subscription plan, and pay with your credit card or PayPal account.
  5. Choose in what format you want to save your form and click Download. Print the blank or upload it to a professional PDF editor to prepare it electronically.

All documents are created for multi-usage, like the Contract to Build and Maintain Canal System you see on this page. If you need them one more time, you can fill them out without re-payment - just open the My Forms tab in your profile and complete your document any time you need it. Try US Legal Forms and prepare your business and personal paperwork quickly and in full legal compliance!

Form popularity

FAQ

Think of a canal as man-made a river or a tube in a living organism. Channel is a route connecting one point to another point or points, though which something flows. If it carries water you'll know it's natural, not man-made.

Channels and canals are artificial structures that use gravity to convey water for flood protection, drainage, irrigation, water supply or other purposes. Aqueducts are any system of pipes, ditches, canals, tunnels, and other structures used to convey water.

Regardless of what type of specific construction was needed, there were four basic steps in building a canal: digging the canal, providing means for the canal to cross rivers and streams, overcoming changes of altitude in the route of the canal, and getting water into--and keeping it in--the canal.

Canals are also used to transport water for irrigation and other human uses. While the advent of more efficient forms of transportation has reduced the need for canals, they still play a vital role as conduits for transportation and fostering global commerce. There are two types of canals: waterways and aqueducts.

How canals work - YouTube YouTube Start of suggested clip End of suggested clip When. The water in the lock is level with the lower water the operator opens the gates. And the shipMoreWhen. The water in the lock is level with the lower water the operator opens the gates. And the ship sails. Through to move a ship upstream. The procedure is reverse.

Beijing-Hangzhou Grand Canal Popularly known as Grand Canal, the Beijing?Hangzhou Grand Canal is the longest and the oldest canal in the world. Connecting China's the Yellow River and Yangtze River, the canal goes through several provinces in the country as well as connects with several other rivers.

A canal is a human-made waterway that allows boats and ships to pass from one body of water to another. Canals are also used to transport water for irrigation and other human uses.

A canal can be constructed by dredging a channel in the bottom of an existing lake. When the channel is complete, the lake is drained and the channel becomes a new canal, serving both drainage of the surrounding polder and providing transport there.

Trusted and secure by over 3 million people of the world’s leading companies

Contract to Build and Maintain Canal System