Letter to Client - Interrogatories to Answer
Complaint for auto and truck accident
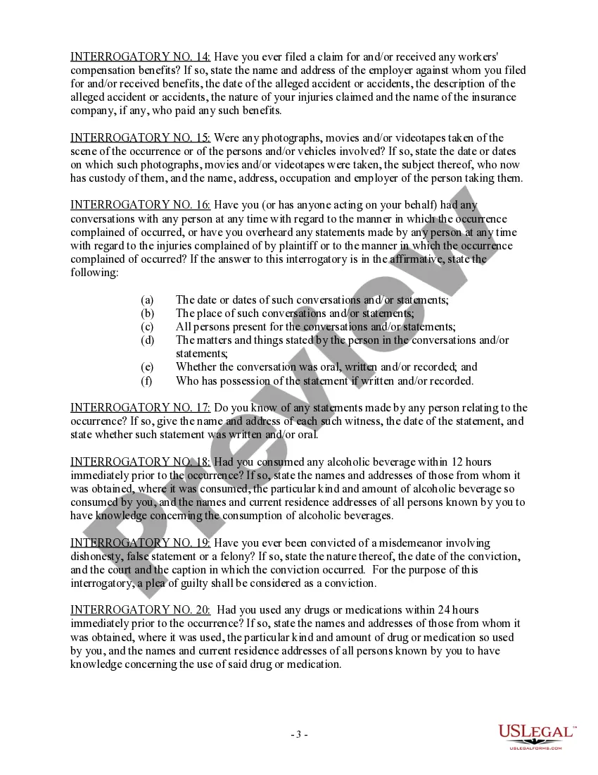
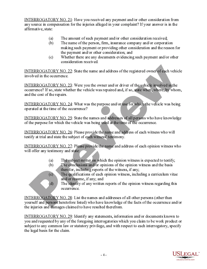
Interrogatories - Personal Injury - Auto Accident
Interrogatories to Defendant - Personal Injury
Plaintiff's Interrogatories to Defendant - Personal Injury
Correction to Description in Communications Site Lease
Civil Appeal Information Form
Controlled Substances Offenses - Distribute Defined
Sample Letter for Acceptance of Resignation - Expression of Sadness by Employer because of Departure
Accounts Receivable - Assignment
Client - Event Planner or Planning Agreement
Change Amount of Authorized Shares - Resolution Form - Corporate Resolutions
General - Resolution Form - Corporate Resolutions
Impeachment of Witness - Prior Bad Acts (F.R.E. 608(b))
Personal Representative Request Form
Interrogatories to Plaintiff for Motor Vehicle: A set of written questions directed at a plaintiff involved in a motor vehicle accident case. These questions are part of the discovery process where each party can obtain evidence from the other side. Personal Injury refers to physical or mental harm to an individual due to someone else's negligence, commonly applicable in car and auto accidents.
Analyzing potential risks during the discovery phase can prevent future legal complications. Potential risks include the plaintiff providing incomplete or misleading answers, which might necessitate further legal action such as motions to compel more accurate responses. Accurate handling of personal information is critical to avoid privacy violations.
Avoid pricey lawyers and find the North Carolina Interrogatories to Plaintiff for Motor Vehicle Occurrence you need at a reasonable price on the US Legal Forms website. Use our simple groups functionality to search for and obtain legal and tax documents. Go through their descriptions and preview them before downloading. In addition, US Legal Forms provides users with step-by-step tips on how to download and complete every single form.
US Legal Forms clients basically need to log in and obtain the specific document they need to their My Forms tab. Those, who have not got a subscription yet should follow the tips listed below:
After downloading, you may complete the North Carolina Interrogatories to Plaintiff for Motor Vehicle Occurrence manually or by using an editing software program. Print it out and reuse the template many times. Do more for less with US Legal Forms!
You must answer each interrogatory separately and fully in writing under oath, unless you object to it. You must explain why you object. You must sign your answers and objections.
In most cases, a deponent cannot refuse to answer a question at a deposition unless the answer would reveal privileged or irrelevant private information or the court previously ordered that the information cannot be revealed (source). However, there are certain types of questions that do not have to be answered.
You can object to an interrogatory if the information sought is known by the requesting party or available to both parties equally. For example, you should raise this objection if the answers are publicly available or in a third-party's custody or control.
Motions to Compel If a party doesn't respond to interrogatories or requests for production, then the party seeking those answers must file a motion to compel with the court. If the court grants the motion to compel, then the party who objected or failed to answer must then do so.
A party may direct no more than 50 interrogatories, in one or more sets, to any other party, except upon leave granted by the Court for good cause shown or by agreement of the other party. Interrogatory parts and subparts shall be counted as separate interrogatories for purposes of this rule.
So, can you refuse to answer interrogatories? The answer is, no, you may not. You must answer a Rule 33 interrogatory within 30 days of being served with it. That answer must either permit inspection of the requested information or object to the production of the information for a specific reason.
Motions to Compel If a party doesn't respond to interrogatories or requests for production, then the party seeking those answers must file a motion to compel with the court. If the court grants the motion to compel, then the party who objected or failed to answer must then do so.
Interrogatories ask questions; the responding party provides written answers. A request for production of documents requests the production of documents (or other tangible things); the responding party provides documents.
Summons in an Adversary Proceeding
Order on Reaffirmation Agreement (Alt.)
Summons and Notice of Pretrial Conference in an Adversary Proceeding
Third-Party Summons
Summons and Notice of Trial in an Adversary Proceeding
Note: This summary is not intended to be an all inclusive summary of discovery law in North Carolina, but does include basic and other information.
Definitions
Discovery: A procedure designed to allow disclosure of information between Plaintiffs and Defendants.
Written questions, oral questioning, document production and admissions requests are generally allowed. Discovery was designed to to prevent trial by ambush.
Interrogatories: Written questions from Plaintiff to Defendant, or from Defendant to Plaintiff.
The questions are mailed to the Plaintiff, Defendant or the attorney for response in writing. The answers or responses are usually due between 20-30 days.
Deposition: A procedure where verbal questions are asked to a Plaintiff or Defendant for immediate response.
Depositions are usually recorded by a court reporter, who swears the person to tell the truth before questioning begins.
Production of Documents: The method of obtaining documents from the other party relevant to the case such as all documents a party intends to introduce at trial.
Requests for Admissions: Written questions where you request the other party to admit or deny some relevant fact.
Objections: Objections may be made to all discovery questions if the questions are not relevant, or likely to lead to the discovery of relevant evidence.
Civil Procedure Rules: Virtually all states have adopted a version of civil procedure rules which include rules dealing with discovery.
North Carolina Rules of Civil Procedure
North Carolina has adopted the North Carolina Rules of Civil Procedure which contain rules governing discovery. The discovery rules also apply in divorce actions.
Discovery Methods:
Parties may obtain discovery by one or more of the following methods: depositions upon oral examination or written questions; written interrogatories; production of documents or things or permission to enter upon land or other property, for inspection and other purposes; physical and mental examinations; and requests for admission. Rule 26(a)
Scope:
Unless otherwise limited by order of the court in accordance with these rules, the scope of discovery is as follows:
In General:
Parties may obtain discovery regarding any matter, not privileged, which is relevant to the subject matter involved in the pending action, whether it relates to the claim or defense of the party seeking discovery or to the claim or defense of any other party, including the existence, description, nature, custody, condition and location of any books, documents, or other tangible things and the identity and location of persons having knowledge of any discoverable matter. It is not ground for objection that the information sought will be inadmissible at the trial if the information sought appears reasonably calculated to lead to the discovery of admissible evidence nor is it grounds for objection that the examining party has knowledge of the information as to which discovery is sought.
The frequency or extent of use of the discovery methods set forth in section (a) shall be limited by the court if it determines that: (i) the discovery sought is unreasonably cumulative or duplicative, or is obtainable from some other source that is more convenient, less burdensome, or less expensive; (ii) the party seeking discovery has had ample opportunity by discovery in the action to obtain the information sought; or (iii) the discovery is unduly burdensome or expensive, taking into account the needs of the case, the amount in controversy, limitations on the parties' resources, and the importance of the issues at stake in the litigation. The court may act upon its own initiative after reasonable notice or pursuant to a motion under section (c). Rule 26(b)
Experts:
Discovery of facts known and opinions held by experts, otherwise discoverable under the provisions of subsection (b)(1) of this rule and acquired or developed in anticipation of litigation or for trial, may be obtained only as follows:
a. 1. A party may through interrogatories require any other party
to identify each person whom the other party expects to call as an expert
witness at trial, to state the subject matter on which the expert is expected
to testify, and to state the substance of the facts and opinions to which
the expert is expected to testify and a summary of the grounds for each
opinion.
2. Upon motion, the court may order further discovery by other means,
subject to such restrictions as to scope and such provisions, pursuant
to subdivision (b)(4)c [(b)(4)b] of this rule, concerning fees and expenses
as the court may deem appropriate.
b. Unless manifest injustice would result, (i) the court shall
require that the party seeking discovery pay the expert a reasonable fee
for time spent in responding to discovery under subdivision (b)(4)a2 of
this rule; and (ii) with respect to discovery obtained under subdivision
(b)(4)a2 of this rule the court may require the party seeking discovery
to pay the other party a fair portion of the fees and expenses reasonably
incurred by the latter party in obtaining facts and opinions from the expert.
Rule 26(b)(4)
Sequence and Timing of Discovery:
Unless the court upon motion, for the convenience of parties and witnesses and in the interests of justice, orders otherwise, methods of discovery may be used in any sequence and the fact that a party is conducting discovery, whether by deposition or otherwise, shall not operate to delay any other party's discovery. Any order or rule of court setting the time within which discovery must be completed shall be construed to fix the date after which the pendency of discovery will not be allowed to delay trial or any other proceeding before the court, but shall not be construed to prevent any party from utilizing any procedures afforded under Rules 26 through 36, so long as trial or any hearing before the court is not thereby delayed. Rule 26(d)
Supplementation of Responses:
A party who has responded to a request for discovery with a response that was complete when made is under no duty to supplement his response to include information thereafter acquired, except as follows:
(1) A party is under a duty seasonably to supplement his response
with respect to any question directly addressed to (i) the identity and
location of persons having knowledge of discoverable matters, and (ii)
the identity of each person expected to be called as an expert witness
at trial, the subject matter on which he is expected to testify, and the
substance of his testimony.
(2) A party is under a duty seasonably to amend a prior response
if he obtains information upon the basis of which (i) he knows that the
response was incorrect when made, or (ii) he knows that the response though
correct when made is no longer true and the circumstances are such that
a failure to amend the response is in substance a knowing concealment.
(3) A duty to supplement responses may be imposed by order
of the court, agreement of the parties, or at any time prior to trial through
new requests for supplementation of prior responses. Rule 26(e)
Discovery Conference:
At any time after commencement of an action the court may direct the attorneys for the parties to appear before it for a conference on the subject of discovery. Rule 26(f)
Depositions
Before Whom Depositions May Be Taken:
Within the United States or within a territory or insular possession subject to the dominion of the United States, depositions shall be taken before a person authorized to administer oaths by the laws of this State, of the United States or of the place where the examination is held, or before a person appointed by the court in which the action is pending. A person so appointed has power to administer oaths and take testimony. Rule 28(a)
Depositions may be taken in a foreign country:
(1) Pursuant to any applicable treaty or convention;
(2) Pursuant to a letter of request, whether or not captioned a
letter rogatory;
(3) On notice before a person authorized to administer oaths in
the place where the examination is held, either by the law thereof or by
the law of the United States; or
(4) Before a person commissioned by the court, and a person so commissioned
shall have the power by virtue of his commission to administer any necessary
oath and take testimony. A commission or a letter of request shall be issued
on application and notice and on terms that are just and appropriate. It
is not requisite to the issuance of a commission or a letter of request
that the taking of the deposition in any other manner is impracticable
or inconvenient; and both a commission and a letter of request may be issued
in proper cases. A notice or commission may designate the person before
whom the deposition is to be taken either by name or descriptive title.
A letter of request may be addressed "To the Appropriate Authority in (here
name the country)." When a letter of request or any other device is used
pursuant to any applicable treaty or convention, it shall be captioned
in the form prescribed by that treaty or convention. Evidence obtained
in response to a letter of request need not be excluded merely because
the testimony was not taken under oath, or any similar departure from the
requirements for depositions taken within the United States under these
rules. Rule 28(b)
Stipulations:
Unless the court orders otherwise, the parties may by written stipulation (i) provide that depositions may be taken before any person, at any time or place, upon any notice, and in any manner and when so taken may be used like other depositions, and (ii) modify the procedures provided by these rules for other methods of discovery. Rule 29
After commencement of the action, any party may take the testimony of any person, including a party, by deposition upon oral examination. Leave of court, granted with or without notice, must be obtained only if the plaintiff seeks to take a deposition prior to the expiration of 30 days after service of the summons and complaint upon any defendant or service made under Rule 4(e), except that leave is not required (i) if a defendant has served a notice of taking deposition or otherwise sought discovery, or (ii) if special notice is given as provided in subsection (b)(2) of this rule. The attendance of witnesses may be compelled by subpoena as provided in Rule 45, provided that no subpoena need be served on a deponent who is a party or an officer, director or managing agent of a party, provided the party has been served with notice pursuant to section (b)(1) of this rule. The deposition of a person confined in prison or of a patient receiving in-patient care in or confined to an institution or hospital for the mentally ill or mentally handicapped may be taken only by leave of court on such terms as the court prescribes. Rule 30(a)
(1) A party desiring to take the deposition of any person upon oral
examination shall give notice in writing to every other party to the action.
The notice shall state the time and place for taking the deposition and
the name and address of each person to be examined, if known, and, if the
name is not known, a general description sufficient to identify him or
the particular class or group to which he belongs. If a subpoena duces
tecum is to be served on the person to be examined, the designation of
the materials to be produced as set forth in the subpoena shall be attached
to or included in the notice. The notice shall be served on all parties
at least 15 days prior to the taking of the deposition when any party required
to be served resides without the State and shall be served on all parties
at least 10 days prior to the taking of the deposition when all of the
parties required to be served reside within the State. Depositions of parties,
officers, directors or managing agents of parties or of other persons designated
pursuant to subsection (b)(6) hereof to testify on behalf of a party may
be taken only at the following places:
A resident of the State may be required to attend for examination by deposition only in the county wherein he resides or is employed or transacts his business in person. A nonresident of the State may be required to attend for such examination only in the county wherein he resides or within 50 miles of the place of service except that a judge, as defined by subdivision (h) of this rule, may, upon motion showing good cause, require that a party who selected the county where the action is pending as the forum for the action or an officer, director or managing agent of such a party, or a person designated pursuant to subsection (b)(6) hereof to testify on behalf of such a party present himself for the taking of his deposition in the county where the action is pending. The judge upon granting the motion may make any other orders allowed by Rule 26(c) with respect thereto, including orders with respect to the expenses of the deponent.
(2) Leave of court is not required for the taking of a deposition
by plaintiff if the notice (i) states that the person to be examined is
about to go out of the county where the action is pending and more than
100 miles from the place of trial, or is about to go out of the United
States, or is bound on a voyage to sea, and will be unavailable for examination
unless his deposition is taken before expiration of the 30- day period,
and (ii) sets forth facts to support the statement. The plaintiff's attorney
shall sign the notice, and his signature constitutes a certification by
him that to the best of his knowledge, information, and belief the statement
and supporting facts are true. The sanctions provided by Rule 11 are applicable
to the certification. If a party shows that when he was served with notice
under this subsection (b)(2) he was unable through the exercise of diligence
to obtain counsel to represent him at the taking of the deposition, the
deposition may not be used against him.
(3) The court may for cause shown enlarge or shorten the time
for taking the deposition.
(4) Unless the court orders otherwise, testimony at a deposition
may be recorded by sound recording, sound-and-visual, or stenographic means.
If the testimony is to be taken by other means in addition to or in lieu
of stenographic means, the notice shall state the methods by which it shall
be taken and shall state whether a stenographer will be present at the
deposition. In the case of a deposition taken by stenographic means, the
party that provides for the photographer shall provide for the transcribing
of the testimony taken. If the deposition is by sound recording only, the
party noticing the deposition shall provide for the transcribing of the
testimony taken. If the deposition is by sound-and-visual means, the appearance
or demeanor of deponents or attorneys shall not be distorted through camera
techniques. Regardless of the method stated in the notice, any party or
the deponent may have the testimony recorded by stenographic means.
(5) A party deponent, deponents who are officers, directors or managing
agents of parties and other persons designated pursuant to subsection (b)(6)
hereof to testify on behalf of a party may not be served with a subpoena
duces tecum, but the notice to a party for the deposition of such a deponent
may be accompanied by a request made in compliance with Rule 34 for the
production of documents and tangible things at the taking of the deposition.
The procedure of Rule 34, except as to time for response, shall apply to
the request. When a notice to take such a deposition is accompanied by
a request made in compliance with Rule 34 the notice and the request must
be served at least 15 days earlier than would otherwise be required by
Rule 30(b)(1), and any objections to such a request must be served at least
seven days prior to the taking of the deposition.
(6) A party may in his notice and in a subpoena name as the deponent
a public or private corporation or a partnership or association or governmental
agency and describe with reasonable particularity the matters on which
examination is requested. In that event, the organization so named shall
designate one or more officers, directors, or managing agents, or other
persons who consent to testify on its behalf, and may set forth, for each
person designated, the matters on which he will testify. A subpoena shall
advise a nonparty organization of its duty to make such a designation.
It shall not be necessary to serve a subpoena on an organization which
is a party, but the notice, served on a party without an accompanying
subpoena shall clearly advise such of its duty to make the required designation.
The persons so designated shall testify as to matters known or reasonably
available to the organization. This subsection (b)(6) does not preclude
taking a deposition by any other procedure authorized in these rules.
(7) The parties may stipulate in writing or the court may
upon motion order that a deposition be taken by telephone. For the purposes
of this rule and Rules 28(a), 37(a)(1) and 45(d), a deposition taken by
telephone is taken in the district and the place where the deponent is
to answer questions propounded to him. Rule 30(b)
After commencement of the action, any party may take the testimony of any person, including a party, by deposition upon written questions. The attendance of witnesses may be compelled by the use of subpoena as provided in Rule 45 provided that no subpoena need be served on a deponent who is a party or an officer, director or managing agent of a party, provided the party has been served with notice pursuant to this rule. Such a deposition shall be taken in the county where the witness resides or is employed or transacts his business in person unless the witness agrees that it may be taken elsewhere. The deposition of a person confined in prison or of a patient receiving in-patient care in or confined to an institution or hospital for the mentally ill or mentally handicapped may be taken only by leave of court on such terms as the court prescribes.
A party desiring to take a deposition upon written questions shall serve them upon every other party with a notice stating
(i) the name and address of the person who is to answer them, if
known, and if the name is not known, a general description sufficient to
identify him or the particular class or group to which he belongs, and
(ii) the name or descriptive title and address of the officer before whom
the deposition is to be taken. A deposition upon written questions may
be taken of a public or private corporation or a partnership or association
or governmental agency in accordance with the provisions of Rule 30(b)(6).
Within 30 days after the notice and written questions are served, a party may serve cross questions upon all other parties. Within 10 days after being served with cross questions, a party may serve redirect questions upon all other parties. Within 10 days after being served with redirect questions, a party may serve recross questions upon all other parties. The court may for cause shown enlarge or shorten the time.
Person to take responses and prepare record.
A copy of the notice and copies of all questions served shall be delivered by the party taking the deposition to the person designated in the notice to take the deposition, who shall proceed promptly, in the manner provided by Rule 30(c), (e), and (f), to take the testimony of the deponent in response to the questions and to prepare, certify, and file or mail the deposition, attaching thereto the copy of the notice and the questions received by him.
Notice of filing.
When the deposition is filed the clerk shall promptly give notice thereof to all parties. Rule 31
Interrogatories
Any party may serve upon any other party written interrogatories to be answered by the party served or, if the party served is a public or private corporation or a partnership or association or governmental agency, by any officer or agent, who shall furnish such information as is available to the party. Interrogatories may, without leave of court, be served upon the plaintiff after commencement of the action and upon any other party with or after service of the summons and complaint upon that party.
A party may direct no more than 50 interrogatories, in one or more sets, to any other party, except upon leave granted by the Court for good cause shown or by agreement of the other party. Interrogatory parts and subparts shall be counted as separate interrogatories for purposes of this rule.
There shall be sufficient space following each interrogatory in which the respondent may state the response. The respondent shall: (1) state the response in the space provided, using additional pages if necessary; or (2) restate the interrogatory to be followed by the response.
Each interrogatory shall be answered separately and fully in writing under oath, unless it is objected to, in which event the reasons for objection shall be stated in lieu of an answer. An objection to an interrogatory shall be made by stating the objection and the reason therefor either in the space following the interrogatory or following the restated interrogatory. The answers are to be signed by the person making them, and the objections signed by the attorney making them. The party upon whom the interrogatories have been served shall serve a copy of the answers, and objections if any, within 30 days after the service of the interrogatories, except that a defendant may serve answers or objections within 45 days after service of the summons and complaint upon the defendant. The court may allow a shorter or longer time. The party submitting the interrogatories may move for an order under Rule 37(a) with respect to any objection to or other failure to answer an interrogatory. Rule 33(a)
Production
Any party may serve on any other party a request (i) to produce and permit the party making the request, or someone acting on his behalf, to inspect and copy, any designated documents (including writings, drawings, graphs, charts, photographs, phono-records, and other data compilations from which information can be obtained, translated, if necessary, by the respondent through detection devices into reasonably usable form), or to inspect and copy, test, or sample any tangible things which constitute or contain matters within the scope of Rule 26(b) and which are in the possession, custody or control of the party upon whom the request is served; or (ii) to permit entry upon designated land or other property in the possession or control of the party upon whom the request is served for the purpose of inspection and measuring, surveying, photographing, testing, or sampling the property or any designated object or operation thereon, within the scope of Rule 26(b). Rule 34(a)
The request may, without leave of court, be served upon the plaintiff after commencement of the action and upon any other party with or after service of the summons and complaint upon that party. The request shall set forth the items to be inspected either by individual item or by category, and describe each item and category with reasonable particularity. The request shall specify a reasonable time, place, and manner of making the inspection and performing the related acts. The party upon whom the request is served shall serve a written response within 30 days after the service of the request, except that a defendant may serve a response within 45 days after service of the summons and complaint upon that defendant. The court may allow a shorter or longer time. The response shall state, with respect to each item or category, that inspection and related activities will be permitted as requested, unless the request is objected to, in which event the reasons for objection shall be stated. If objection is made to part of an item or category, the part shall be specified. The party submitting the request may move for an order under Rule 37(a) with respect to any objection to or other failure to respond to the request or any part thereof, or any failure to permit inspection as requested.
There shall be sufficient space following each request in which the respondent may state the response. The respondent shall: (1) state the response in the space provided, using additional pages if necessary; or (2) restate the request to be followed by the response. An objection to a request shall be made by stating the objection and the reason therefor either in the space following the request or following the restated request. Rule 34(b)
Physical and Mental Examinations of Persons
When the mental or physical condition (including the blood group) of a party, or of an agent or a person in the custody or under the legal control of a party, is in controversy, a judge of the court in which the action is pending as defined by Rule 30(h) may order the party to submit to a physical or mental examination by a physician or to produce for examination his agent or the person in his custody or legal control. The order may be made only on motion for good cause shown and upon notice to the person to be examined and to all parties and shall specify the time, place, manner, conditions, and scope of the examination and the person or persons by whom it is to be made. 35(a)
(1) If requested by the party against whom an order is made
under Rule 35(a) or the person examined, the party causing the examination
to be made shall deliver to him a copy of a detailed written report of
the examining physician setting out his findings, including results of
all tests made, diagnoses and conclusions, together with like reports of
all earlier examinations of the same condition. After such request and
delivery the party causing the examination shall be entitled upon request
to receive from the party against whom the order is made a like report
of any examination, previously or thereafter made, of the same condition,
unless, in the case of a report of examination of a person not a party,
the party shows that he is unable to obtain it. The court on motion may
make an order against a party requiring delivery of a report on such terms
as are just, and if a physician fails or refuses to make a report the court
may exclude his testimony if offered at the trial.
(2) By requesting and obtaining a report of the examination
so ordered or by taking the deposition of the examiner, the party examined
waives any privilege he may have in that action or any other involving
the same controversy, regarding the testimony of every other person who
has examined or may thereafter examine him in respect of the same mental
or physical condition.
(3) This subsection applies to examinations made by agreement
of the parties, unless the agreement expressly provides otherwise. This
subsection does not preclude discovery of a report of an examining physician
or the taking of a deposition of the physician in accordance with the provisions
of any other rule. 35(b)
Requests for Admissions
A party may serve upon any other party a written request for the admission, for purposes of the pending action only, of the truth of any matters within the scope of Rule 26(b) set forth in the request that relate to statements or opinions of fact or of the application of law to fact, including the genuineness of any documents described in the request. Copies of documents shall be served with the request unless they have been or are otherwise furnished or made available for inspection and copying. The request may, without leave of court, be served upon the plaintiff after commencement of the action and upon any other party with or after service of the summons and complaint upon that party. If the request is served with service of the summons and complaint, the summons shall so state.
Each matter of which an admission is requested shall be separately set forth. The matter is admitted unless, within 30 days after service of the request, or within such shorter or longer time as the court may allow, the party to whom the request is directed serves upon the party requesting the admission a written answer or objection addressed to the matter, signed by the party or by his attorney, but, unless the court shortens the time, a defendant shall not be required to serve answers or objections before the expiration of 60 days after service of the summons and complaint upon him. If objection is made, the reasons therefor shall be stated. The answer shall specifically deny the matter or set forth in detail the reasons why the answering party cannot truthfully admit or deny the matter. A denial shall fairly meet the substance of the requested admission, and when good faith requires that a party qualify his answer or deny only a part of the matter of which an admission is requested, he shall specify so much of it as is true and qualify or deny the remainder. An answering party may not give lack of information or knowledge as a reason for failure to admit or deny unless he states that he has made reasonable inquiry and that the information known or readily obtainable by him is insufficient to enable him to admit or deny. A party who considers that a matter of which an admission has been requested presents a genuine issue for trial may not, on that ground alone, object to the request; he may, subject to the provisions of Rule 37(c), deny the matter or set forth reasons why he cannot admit or deny it.There shall be sufficient space following each request in which the respondent may state the response. The respondent shall:
(1) State the response in the space provided, using additional pages
if necessary; or
(2) Restate the request to be followed by the response. An objection
to a request shall be made by stating the objection and the reason therefor
either in the space following the request or following the restated request.
The party who has requested the admissions may move to determine the sufficiency
of the answers or objections. Unless the court determines that an objection
is justified, it shall order that an answer be served. If the court determines
that an answer does not comply with the requirements of this rule, it may
order either that the matter is admitted or that an amended answer be served.
The court may, in lieu of these orders, determine that final disposition
of the request be made at a pretrial conference or at a designated time
prior to trial. The provisions of Rule 37(a)(4) apply to the award of expenses incurred
in relation to the motion. Rule 36
Compel Discovery
A party, upon reasonable notice to other parties and all persons affected thereby, may apply for an order compelling discovery as follows:
(1) Appropriate Court. - An application for an order to a
party or a deponent who is not a party may be made to a judge of the court
in which the action is pending, or, on matters relating to a deposition
where the deposition is being taken in this State, to a judge of the court
in the county where the deposition is being taken, as defined by Rule 30(h).
(2) Motion. - If a deponent fails to answer a question propounded
or submitted under Rules 30 or 31, or a corporation or other entity fails
to make a designation under Rule 30(b)(6) or 31(a), or a party fails to
answer an interrogatory submitted under Rule 33, or if a party, in response
to a request for inspection submitted under Rule 34, fails to respond that
inspection will be permitted as requested or fails to permit inspection
as requested, the discovering party may move for an order compelling an
answer, or a designation, or an order compelling inspection in accordance
with the request. When taking a deposition on oral examination, the proponent
of the question shall complete the examination on all other matters before
he adjourns the examination in order to apply for an order. If the court
denies the motion in whole or in part, it may make such protective order
as it would have been empowered to make on a motion made pursuant to Rule
26(c).
(3) Evasive or Incomplete Answer. - For purposes of this subdivision
an evasive or incomplete answer is to be treated as a failure to answer. Rule 37
Domestic Actions Discovery Notes
If you require extra time to respond to discovery, you should ask the other side for an extension in writing. It may also be necessary to enter an order granting the extension to protect your rights.
Discovery questions are limited in number so select the most important questions to ask the other side. Don't waste your requests writing questions that you already know the answer to.
Note: This summary is not intended to be an all inclusive summary of discovery law in North Carolina, but does include basic and other information.
Definitions
Discovery: A procedure designed to allow disclosure of information between Plaintiffs and Defendants.
Written questions, oral questioning, document production and admissions requests are generally allowed. Discovery was designed to to prevent trial by ambush.
Interrogatories: Written questions from Plaintiff to Defendant, or from Defendant to Plaintiff.
The questions are mailed to the Plaintiff, Defendant or the attorney for response in writing. The answers or responses are usually due between 20-30 days.
Deposition: A procedure where verbal questions are asked to a Plaintiff or Defendant for immediate response.
Depositions are usually recorded by a court reporter, who swears the person to tell the truth before questioning begins.
Production of Documents: The method of obtaining documents from the other party relevant to the case such as all documents a party intends to introduce at trial.
Requests for Admissions: Written questions where you request the other party to admit or deny some relevant fact.
Objections: Objections may be made to all discovery questions if the questions are not relevant, or likely to lead to the discovery of relevant evidence.
Civil Procedure Rules: Virtually all states have adopted a version of civil procedure rules which include rules dealing with discovery.
North Carolina Rules of Civil Procedure
North Carolina has adopted the North Carolina Rules of Civil Procedure which contain rules governing discovery. The discovery rules also apply in divorce actions.
Discovery Methods:
Parties may obtain discovery by one or more of the following methods: depositions upon oral examination or written questions; written interrogatories; production of documents or things or permission to enter upon land or other property, for inspection and other purposes; physical and mental examinations; and requests for admission. Rule 26(a)
Scope:
Unless otherwise limited by order of the court in accordance with these rules, the scope of discovery is as follows:
In General:
Parties may obtain discovery regarding any matter, not privileged, which is relevant to the subject matter involved in the pending action, whether it relates to the claim or defense of the party seeking discovery or to the claim or defense of any other party, including the existence, description, nature, custody, condition and location of any books, documents, or other tangible things and the identity and location of persons having knowledge of any discoverable matter. It is not ground for objection that the information sought will be inadmissible at the trial if the information sought appears reasonably calculated to lead to the discovery of admissible evidence nor is it grounds for objection that the examining party has knowledge of the information as to which discovery is sought.
The frequency or extent of use of the discovery methods set forth in section (a) shall be limited by the court if it determines that: (i) the discovery sought is unreasonably cumulative or duplicative, or is obtainable from some other source that is more convenient, less burdensome, or less expensive; (ii) the party seeking discovery has had ample opportunity by discovery in the action to obtain the information sought; or (iii) the discovery is unduly burdensome or expensive, taking into account the needs of the case, the amount in controversy, limitations on the parties' resources, and the importance of the issues at stake in the litigation. The court may act upon its own initiative after reasonable notice or pursuant to a motion under section (c). Rule 26(b)
Experts:
Discovery of facts known and opinions held by experts, otherwise discoverable under the provisions of subsection (b)(1) of this rule and acquired or developed in anticipation of litigation or for trial, may be obtained only as follows:
a. 1. A party may through interrogatories require any other party
to identify each person whom the other party expects to call as an expert
witness at trial, to state the subject matter on which the expert is expected
to testify, and to state the substance of the facts and opinions to which
the expert is expected to testify and a summary of the grounds for each
opinion.
2. Upon motion, the court may order further discovery by other means,
subject to such restrictions as to scope and such provisions, pursuant
to subdivision (b)(4)c [(b)(4)b] of this rule, concerning fees and expenses
as the court may deem appropriate.
b. Unless manifest injustice would result, (i) the court shall
require that the party seeking discovery pay the expert a reasonable fee
for time spent in responding to discovery under subdivision (b)(4)a2 of
this rule; and (ii) with respect to discovery obtained under subdivision
(b)(4)a2 of this rule the court may require the party seeking discovery
to pay the other party a fair portion of the fees and expenses reasonably
incurred by the latter party in obtaining facts and opinions from the expert.
Rule 26(b)(4)
Sequence and Timing of Discovery:
Unless the court upon motion, for the convenience of parties and witnesses and in the interests of justice, orders otherwise, methods of discovery may be used in any sequence and the fact that a party is conducting discovery, whether by deposition or otherwise, shall not operate to delay any other party's discovery. Any order or rule of court setting the time within which discovery must be completed shall be construed to fix the date after which the pendency of discovery will not be allowed to delay trial or any other proceeding before the court, but shall not be construed to prevent any party from utilizing any procedures afforded under Rules 26 through 36, so long as trial or any hearing before the court is not thereby delayed. Rule 26(d)
Supplementation of Responses:
A party who has responded to a request for discovery with a response that was complete when made is under no duty to supplement his response to include information thereafter acquired, except as follows:
(1) A party is under a duty seasonably to supplement his response
with respect to any question directly addressed to (i) the identity and
location of persons having knowledge of discoverable matters, and (ii)
the identity of each person expected to be called as an expert witness
at trial, the subject matter on which he is expected to testify, and the
substance of his testimony.
(2) A party is under a duty seasonably to amend a prior response
if he obtains information upon the basis of which (i) he knows that the
response was incorrect when made, or (ii) he knows that the response though
correct when made is no longer true and the circumstances are such that
a failure to amend the response is in substance a knowing concealment.
(3) A duty to supplement responses may be imposed by order
of the court, agreement of the parties, or at any time prior to trial through
new requests for supplementation of prior responses. Rule 26(e)
Discovery Conference:
At any time after commencement of an action the court may direct the attorneys for the parties to appear before it for a conference on the subject of discovery. Rule 26(f)
Depositions
Before Whom Depositions May Be Taken:
Within the United States or within a territory or insular possession subject to the dominion of the United States, depositions shall be taken before a person authorized to administer oaths by the laws of this State, of the United States or of the place where the examination is held, or before a person appointed by the court in which the action is pending. A person so appointed has power to administer oaths and take testimony. Rule 28(a)
Depositions may be taken in a foreign country:
(1) Pursuant to any applicable treaty or convention;
(2) Pursuant to a letter of request, whether or not captioned a
letter rogatory;
(3) On notice before a person authorized to administer oaths in
the place where the examination is held, either by the law thereof or by
the law of the United States; or
(4) Before a person commissioned by the court, and a person so commissioned
shall have the power by virtue of his commission to administer any necessary
oath and take testimony. A commission or a letter of request shall be issued
on application and notice and on terms that are just and appropriate. It
is not requisite to the issuance of a commission or a letter of request
that the taking of the deposition in any other manner is impracticable
or inconvenient; and both a commission and a letter of request may be issued
in proper cases. A notice or commission may designate the person before
whom the deposition is to be taken either by name or descriptive title.
A letter of request may be addressed "To the Appropriate Authority in (here
name the country)." When a letter of request or any other device is used
pursuant to any applicable treaty or convention, it shall be captioned
in the form prescribed by that treaty or convention. Evidence obtained
in response to a letter of request need not be excluded merely because
the testimony was not taken under oath, or any similar departure from the
requirements for depositions taken within the United States under these
rules. Rule 28(b)
Stipulations:
Unless the court orders otherwise, the parties may by written stipulation (i) provide that depositions may be taken before any person, at any time or place, upon any notice, and in any manner and when so taken may be used like other depositions, and (ii) modify the procedures provided by these rules for other methods of discovery. Rule 29
After commencement of the action, any party may take the testimony of any person, including a party, by deposition upon oral examination. Leave of court, granted with or without notice, must be obtained only if the plaintiff seeks to take a deposition prior to the expiration of 30 days after service of the summons and complaint upon any defendant or service made under Rule 4(e), except that leave is not required (i) if a defendant has served a notice of taking deposition or otherwise sought discovery, or (ii) if special notice is given as provided in subsection (b)(2) of this rule. The attendance of witnesses may be compelled by subpoena as provided in Rule 45, provided that no subpoena need be served on a deponent who is a party or an officer, director or managing agent of a party, provided the party has been served with notice pursuant to section (b)(1) of this rule. The deposition of a person confined in prison or of a patient receiving in-patient care in or confined to an institution or hospital for the mentally ill or mentally handicapped may be taken only by leave of court on such terms as the court prescribes. Rule 30(a)
(1) A party desiring to take the deposition of any person upon oral
examination shall give notice in writing to every other party to the action.
The notice shall state the time and place for taking the deposition and
the name and address of each person to be examined, if known, and, if the
name is not known, a general description sufficient to identify him or
the particular class or group to which he belongs. If a subpoena duces
tecum is to be served on the person to be examined, the designation of
the materials to be produced as set forth in the subpoena shall be attached
to or included in the notice. The notice shall be served on all parties
at least 15 days prior to the taking of the deposition when any party required
to be served resides without the State and shall be served on all parties
at least 10 days prior to the taking of the deposition when all of the
parties required to be served reside within the State. Depositions of parties,
officers, directors or managing agents of parties or of other persons designated
pursuant to subsection (b)(6) hereof to testify on behalf of a party may
be taken only at the following places:
A resident of the State may be required to attend for examination by deposition only in the county wherein he resides or is employed or transacts his business in person. A nonresident of the State may be required to attend for such examination only in the county wherein he resides or within 50 miles of the place of service except that a judge, as defined by subdivision (h) of this rule, may, upon motion showing good cause, require that a party who selected the county where the action is pending as the forum for the action or an officer, director or managing agent of such a party, or a person designated pursuant to subsection (b)(6) hereof to testify on behalf of such a party present himself for the taking of his deposition in the county where the action is pending. The judge upon granting the motion may make any other orders allowed by Rule 26(c) with respect thereto, including orders with respect to the expenses of the deponent.
(2) Leave of court is not required for the taking of a deposition
by plaintiff if the notice (i) states that the person to be examined is
about to go out of the county where the action is pending and more than
100 miles from the place of trial, or is about to go out of the United
States, or is bound on a voyage to sea, and will be unavailable for examination
unless his deposition is taken before expiration of the 30- day period,
and (ii) sets forth facts to support the statement. The plaintiff's attorney
shall sign the notice, and his signature constitutes a certification by
him that to the best of his knowledge, information, and belief the statement
and supporting facts are true. The sanctions provided by Rule 11 are applicable
to the certification. If a party shows that when he was served with notice
under this subsection (b)(2) he was unable through the exercise of diligence
to obtain counsel to represent him at the taking of the deposition, the
deposition may not be used against him.
(3) The court may for cause shown enlarge or shorten the time
for taking the deposition.
(4) Unless the court orders otherwise, testimony at a deposition
may be recorded by sound recording, sound-and-visual, or stenographic means.
If the testimony is to be taken by other means in addition to or in lieu
of stenographic means, the notice shall state the methods by which it shall
be taken and shall state whether a stenographer will be present at the
deposition. In the case of a deposition taken by stenographic means, the
party that provides for the photographer shall provide for the transcribing
of the testimony taken. If the deposition is by sound recording only, the
party noticing the deposition shall provide for the transcribing of the
testimony taken. If the deposition is by sound-and-visual means, the appearance
or demeanor of deponents or attorneys shall not be distorted through camera
techniques. Regardless of the method stated in the notice, any party or
the deponent may have the testimony recorded by stenographic means.
(5) A party deponent, deponents who are officers, directors or managing
agents of parties and other persons designated pursuant to subsection (b)(6)
hereof to testify on behalf of a party may not be served with a subpoena
duces tecum, but the notice to a party for the deposition of such a deponent
may be accompanied by a request made in compliance with Rule 34 for the
production of documents and tangible things at the taking of the deposition.
The procedure of Rule 34, except as to time for response, shall apply to
the request. When a notice to take such a deposition is accompanied by
a request made in compliance with Rule 34 the notice and the request must
be served at least 15 days earlier than would otherwise be required by
Rule 30(b)(1), and any objections to such a request must be served at least
seven days prior to the taking of the deposition.
(6) A party may in his notice and in a subpoena name as the deponent
a public or private corporation or a partnership or association or governmental
agency and describe with reasonable particularity the matters on which
examination is requested. In that event, the organization so named shall
designate one or more officers, directors, or managing agents, or other
persons who consent to testify on its behalf, and may set forth, for each
person designated, the matters on which he will testify. A subpoena shall
advise a nonparty organization of its duty to make such a designation.
It shall not be necessary to serve a subpoena on an organization which
is a party, but the notice, served on a party without an accompanying
subpoena shall clearly advise such of its duty to make the required designation.
The persons so designated shall testify as to matters known or reasonably
available to the organization. This subsection (b)(6) does not preclude
taking a deposition by any other procedure authorized in these rules.
(7) The parties may stipulate in writing or the court may
upon motion order that a deposition be taken by telephone. For the purposes
of this rule and Rules 28(a), 37(a)(1) and 45(d), a deposition taken by
telephone is taken in the district and the place where the deponent is
to answer questions propounded to him. Rule 30(b)
After commencement of the action, any party may take the testimony of any person, including a party, by deposition upon written questions. The attendance of witnesses may be compelled by the use of subpoena as provided in Rule 45 provided that no subpoena need be served on a deponent who is a party or an officer, director or managing agent of a party, provided the party has been served with notice pursuant to this rule. Such a deposition shall be taken in the county where the witness resides or is employed or transacts his business in person unless the witness agrees that it may be taken elsewhere. The deposition of a person confined in prison or of a patient receiving in-patient care in or confined to an institution or hospital for the mentally ill or mentally handicapped may be taken only by leave of court on such terms as the court prescribes.
A party desiring to take a deposition upon written questions shall serve them upon every other party with a notice stating
(i) the name and address of the person who is to answer them, if
known, and if the name is not known, a general description sufficient to
identify him or the particular class or group to which he belongs, and
(ii) the name or descriptive title and address of the officer before whom
the deposition is to be taken. A deposition upon written questions may
be taken of a public or private corporation or a partnership or association
or governmental agency in accordance with the provisions of Rule 30(b)(6).
Within 30 days after the notice and written questions are served, a party may serve cross questions upon all other parties. Within 10 days after being served with cross questions, a party may serve redirect questions upon all other parties. Within 10 days after being served with redirect questions, a party may serve recross questions upon all other parties. The court may for cause shown enlarge or shorten the time.
Person to take responses and prepare record.
A copy of the notice and copies of all questions served shall be delivered by the party taking the deposition to the person designated in the notice to take the deposition, who shall proceed promptly, in the manner provided by Rule 30(c), (e), and (f), to take the testimony of the deponent in response to the questions and to prepare, certify, and file or mail the deposition, attaching thereto the copy of the notice and the questions received by him.
Notice of filing.
When the deposition is filed the clerk shall promptly give notice thereof to all parties. Rule 31
Interrogatories
Any party may serve upon any other party written interrogatories to be answered by the party served or, if the party served is a public or private corporation or a partnership or association or governmental agency, by any officer or agent, who shall furnish such information as is available to the party. Interrogatories may, without leave of court, be served upon the plaintiff after commencement of the action and upon any other party with or after service of the summons and complaint upon that party.
A party may direct no more than 50 interrogatories, in one or more sets, to any other party, except upon leave granted by the Court for good cause shown or by agreement of the other party. Interrogatory parts and subparts shall be counted as separate interrogatories for purposes of this rule.
There shall be sufficient space following each interrogatory in which the respondent may state the response. The respondent shall: (1) state the response in the space provided, using additional pages if necessary; or (2) restate the interrogatory to be followed by the response.
Each interrogatory shall be answered separately and fully in writing under oath, unless it is objected to, in which event the reasons for objection shall be stated in lieu of an answer. An objection to an interrogatory shall be made by stating the objection and the reason therefor either in the space following the interrogatory or following the restated interrogatory. The answers are to be signed by the person making them, and the objections signed by the attorney making them. The party upon whom the interrogatories have been served shall serve a copy of the answers, and objections if any, within 30 days after the service of the interrogatories, except that a defendant may serve answers or objections within 45 days after service of the summons and complaint upon the defendant. The court may allow a shorter or longer time. The party submitting the interrogatories may move for an order under Rule 37(a) with respect to any objection to or other failure to answer an interrogatory. Rule 33(a)
Production
Any party may serve on any other party a request (i) to produce and permit the party making the request, or someone acting on his behalf, to inspect and copy, any designated documents (including writings, drawings, graphs, charts, photographs, phono-records, and other data compilations from which information can be obtained, translated, if necessary, by the respondent through detection devices into reasonably usable form), or to inspect and copy, test, or sample any tangible things which constitute or contain matters within the scope of Rule 26(b) and which are in the possession, custody or control of the party upon whom the request is served; or (ii) to permit entry upon designated land or other property in the possession or control of the party upon whom the request is served for the purpose of inspection and measuring, surveying, photographing, testing, or sampling the property or any designated object or operation thereon, within the scope of Rule 26(b). Rule 34(a)
The request may, without leave of court, be served upon the plaintiff after commencement of the action and upon any other party with or after service of the summons and complaint upon that party. The request shall set forth the items to be inspected either by individual item or by category, and describe each item and category with reasonable particularity. The request shall specify a reasonable time, place, and manner of making the inspection and performing the related acts. The party upon whom the request is served shall serve a written response within 30 days after the service of the request, except that a defendant may serve a response within 45 days after service of the summons and complaint upon that defendant. The court may allow a shorter or longer time. The response shall state, with respect to each item or category, that inspection and related activities will be permitted as requested, unless the request is objected to, in which event the reasons for objection shall be stated. If objection is made to part of an item or category, the part shall be specified. The party submitting the request may move for an order under Rule 37(a) with respect to any objection to or other failure to respond to the request or any part thereof, or any failure to permit inspection as requested.
There shall be sufficient space following each request in which the respondent may state the response. The respondent shall: (1) state the response in the space provided, using additional pages if necessary; or (2) restate the request to be followed by the response. An objection to a request shall be made by stating the objection and the reason therefor either in the space following the request or following the restated request. Rule 34(b)
Physical and Mental Examinations of Persons
When the mental or physical condition (including the blood group) of a party, or of an agent or a person in the custody or under the legal control of a party, is in controversy, a judge of the court in which the action is pending as defined by Rule 30(h) may order the party to submit to a physical or mental examination by a physician or to produce for examination his agent or the person in his custody or legal control. The order may be made only on motion for good cause shown and upon notice to the person to be examined and to all parties and shall specify the time, place, manner, conditions, and scope of the examination and the person or persons by whom it is to be made. 35(a)
(1) If requested by the party against whom an order is made
under Rule 35(a) or the person examined, the party causing the examination
to be made shall deliver to him a copy of a detailed written report of
the examining physician setting out his findings, including results of
all tests made, diagnoses and conclusions, together with like reports of
all earlier examinations of the same condition. After such request and
delivery the party causing the examination shall be entitled upon request
to receive from the party against whom the order is made a like report
of any examination, previously or thereafter made, of the same condition,
unless, in the case of a report of examination of a person not a party,
the party shows that he is unable to obtain it. The court on motion may
make an order against a party requiring delivery of a report on such terms
as are just, and if a physician fails or refuses to make a report the court
may exclude his testimony if offered at the trial.
(2) By requesting and obtaining a report of the examination
so ordered or by taking the deposition of the examiner, the party examined
waives any privilege he may have in that action or any other involving
the same controversy, regarding the testimony of every other person who
has examined or may thereafter examine him in respect of the same mental
or physical condition.
(3) This subsection applies to examinations made by agreement
of the parties, unless the agreement expressly provides otherwise. This
subsection does not preclude discovery of a report of an examining physician
or the taking of a deposition of the physician in accordance with the provisions
of any other rule. 35(b)
Requests for Admissions
A party may serve upon any other party a written request for the admission, for purposes of the pending action only, of the truth of any matters within the scope of Rule 26(b) set forth in the request that relate to statements or opinions of fact or of the application of law to fact, including the genuineness of any documents described in the request. Copies of documents shall be served with the request unless they have been or are otherwise furnished or made available for inspection and copying. The request may, without leave of court, be served upon the plaintiff after commencement of the action and upon any other party with or after service of the summons and complaint upon that party. If the request is served with service of the summons and complaint, the summons shall so state.
Each matter of which an admission is requested shall be separately set forth. The matter is admitted unless, within 30 days after service of the request, or within such shorter or longer time as the court may allow, the party to whom the request is directed serves upon the party requesting the admission a written answer or objection addressed to the matter, signed by the party or by his attorney, but, unless the court shortens the time, a defendant shall not be required to serve answers or objections before the expiration of 60 days after service of the summons and complaint upon him. If objection is made, the reasons therefor shall be stated. The answer shall specifically deny the matter or set forth in detail the reasons why the answering party cannot truthfully admit or deny the matter. A denial shall fairly meet the substance of the requested admission, and when good faith requires that a party qualify his answer or deny only a part of the matter of which an admission is requested, he shall specify so much of it as is true and qualify or deny the remainder. An answering party may not give lack of information or knowledge as a reason for failure to admit or deny unless he states that he has made reasonable inquiry and that the information known or readily obtainable by him is insufficient to enable him to admit or deny. A party who considers that a matter of which an admission has been requested presents a genuine issue for trial may not, on that ground alone, object to the request; he may, subject to the provisions of Rule 37(c), deny the matter or set forth reasons why he cannot admit or deny it.There shall be sufficient space following each request in which the respondent may state the response. The respondent shall:
(1) State the response in the space provided, using additional pages
if necessary; or
(2) Restate the request to be followed by the response. An objection
to a request shall be made by stating the objection and the reason therefor
either in the space following the request or following the restated request.
The party who has requested the admissions may move to determine the sufficiency
of the answers or objections. Unless the court determines that an objection
is justified, it shall order that an answer be served. If the court determines
that an answer does not comply with the requirements of this rule, it may
order either that the matter is admitted or that an amended answer be served.
The court may, in lieu of these orders, determine that final disposition
of the request be made at a pretrial conference or at a designated time
prior to trial. The provisions of Rule 37(a)(4) apply to the award of expenses incurred
in relation to the motion. Rule 36
Compel Discovery
A party, upon reasonable notice to other parties and all persons affected thereby, may apply for an order compelling discovery as follows:
(1) Appropriate Court. - An application for an order to a
party or a deponent who is not a party may be made to a judge of the court
in which the action is pending, or, on matters relating to a deposition
where the deposition is being taken in this State, to a judge of the court
in the county where the deposition is being taken, as defined by Rule 30(h).
(2) Motion. - If a deponent fails to answer a question propounded
or submitted under Rules 30 or 31, or a corporation or other entity fails
to make a designation under Rule 30(b)(6) or 31(a), or a party fails to
answer an interrogatory submitted under Rule 33, or if a party, in response
to a request for inspection submitted under Rule 34, fails to respond that
inspection will be permitted as requested or fails to permit inspection
as requested, the discovering party may move for an order compelling an
answer, or a designation, or an order compelling inspection in accordance
with the request. When taking a deposition on oral examination, the proponent
of the question shall complete the examination on all other matters before
he adjourns the examination in order to apply for an order. If the court
denies the motion in whole or in part, it may make such protective order
as it would have been empowered to make on a motion made pursuant to Rule
26(c).
(3) Evasive or Incomplete Answer. - For purposes of this subdivision
an evasive or incomplete answer is to be treated as a failure to answer. Rule 37
Domestic Actions Discovery Notes
If you require extra time to respond to discovery, you should ask the other side for an extension in writing. It may also be necessary to enter an order granting the extension to protect your rights.
Discovery questions are limited in number so select the most important questions to ask the other side. Don't waste your requests writing questions that you already know the answer to.