• US Legal Forms

Massachusetts Interrogatories to Plaintiff for Motor Vehicle Occurrence

State:
Massachusetts
Control #:
MA-221-MV
Format:
Word; 
Rich Text
Instant download

Description

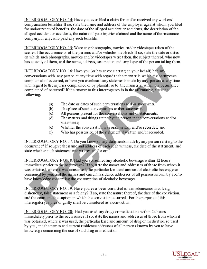
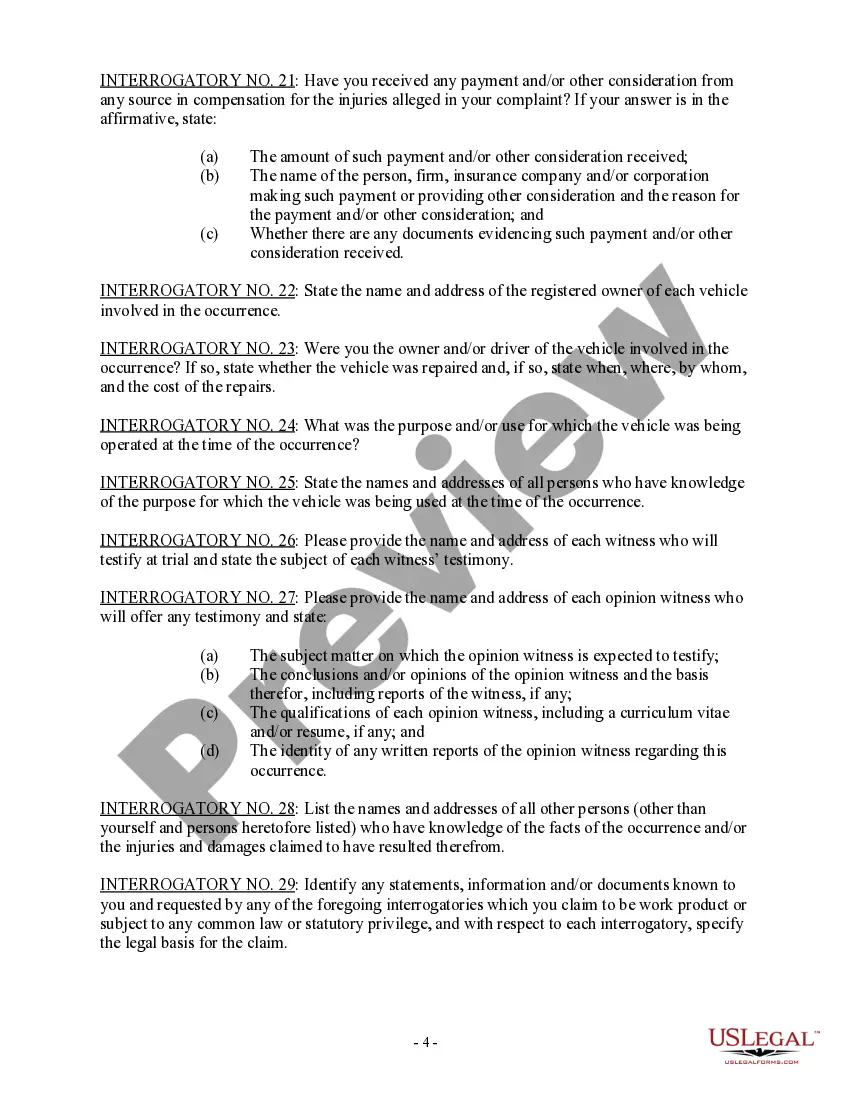
This is a sample set of 28 Interrogatories from Defendant to Plaintiff for use in connection with a vehicle incident, such as an automobile accident. You should only use this form as a guide and delete questions not relevant to your case, as well as add questions you or your client want to ask the Defendant based upon the facts of your case.
Free preview
  • Preview Interrogatories to Plaintiff for Motor Vehicle Occurrence
  • Preview Interrogatories to Plaintiff for Motor Vehicle Occurrence
  • Preview Interrogatories to Plaintiff for Motor Vehicle Occurrence
  • Preview Interrogatories to Plaintiff for Motor Vehicle Occurrence
  • Preview Interrogatories to Plaintiff for Motor Vehicle Occurrence

Key Concepts & Definitions

Interrogatories are written questions sent by one party to another as part of the pre-trial discovery process in a lawsuit. In the case of 'interrogatories to plaintiff for motor vehicle', these are questions directed towards the plaintiff by the defense in a motor vehicle accident case. The answers provided must be under oath and are used to gather facts to support the defense's case.

Step-by-Step Guide

  1. Drafting Interrogatories: The first step involves the defendant's legal team drafting relevant questions that relate to the specifics of the motor vehicle accident. Questions may include details about the plaintiff's driving history, the circumstances leading up to the accident, and any damages claimed.
  2. Sending Interrogatories: Once the interrogatories are finalized, they are formally sent to the plaintiff or their attorney, who must respond by a specified deadline, usually 30 days.
  3. Reviewing Responses: The defense reviews the responses once received. If necessary, follow-up questions or requests for clarification might be sent.
  4. Using Information in Court: The information gathered from interrogatories can be used to formulate a defense strategy, support motions, or as evidence during trial.

Risk Analysis

  • Incomplete Answers: Risks include receiving incomplete or evasive answers, which can delay the legal process.
  • Strategic Misuse: There's a risk of parties using interrogatories as a tool to overload the opposition with requests to disrupt or delay proceedings.
  • Disclosure of Sensitive Information: Careful drafting is essential to avoid inadvertently revealing sensitive or privileged information.

Common Mistakes & How to Avoid Them

  • Overly Broad Questions: Avoid this by focusing interrogatories on specific, relevant details that directly impact the case's outcome.
  • Ignoring Deadlines: Missing response deadlines can lead to penalties or weakened legal standing. Always track and adhere to all legal deadlines.
  • Failure to Review Answers Thoroughly: Skimming responses can lead to missing critical details. Detailed review and follow-up are crucial.

Best Practices

  • Craft Clear, Concise Questions: This reduces ambiguity and improves the quality of responses.
  • Consult Legal Standards: Ensure all questions are in line with applicable legal standards and discovery rules.
  • Strategic Use of Information: Utilize the information gathered to support legal arguments and in negotiations.

How to fill out Massachusetts Interrogatories To Plaintiff For Motor Vehicle Occurrence?

Greetings to the most extensive legal document repository, US Legal Forms. Here, you can obtain any example including Massachusetts Interrogatories to Plaintiff for Motor Vehicle Incident templates and download them (as numerous as you desire/need). Prepare official documents within a few hours, rather than days or even weeks, without having to spend a fortune on a lawyer.

Acquire the state-specific form in just a few clicks and feel confident knowing it was prepared by our licensed attorneys.

If you’re already a registered user, just Log In to your account and then click Download next to the Massachusetts Interrogatories to Plaintiff for Motor Vehicle Incident you need. Because US Legal Forms is online, you’ll always have access to your saved documents, no matter what device you’re using. Find them under the My documents section.

Once you’ve completed the Massachusetts Interrogatories to Plaintiff for Motor Vehicle Incident, present it to your attorney for verification. It’s an extra measure but a crucial one for ensuring you’re fully protected. Join US Legal Forms now and gain access to a large array of reusable samples.

  1. If you don't have an account yet, what are you waiting for? Follow our steps below to get started.
  2. If this is a state-specific document, verify its relevance in your state.
  3. Review the description (if available) to check if it’s the correct template.
  4. See additional content with the Preview feature.
  5. If the example matches your requirements, click Purchase Now.
  6. To create an account, choose a pricing option.
  7. Use a credit card or PayPal account to sign up.
  8. Download the document in the format you prefer (Word or PDF).
  9. Print out the document and fill it in with your/your business’s details.

Form popularity

FAQ

Rule 26 of the Massachusetts Rules of Civil Procedure outlines the procedures regarding the disclosure of witnesses and discovery materials. It sets forth the standards for exchanging relevant information before trial, which can significantly impact case preparedness. Utilizing Massachusetts interrogatories to plaintiff for motor vehicle occurrence falls under these rules, emphasizing the importance of comprehensive discovery. It's wise to familiarize yourself with Rule 26 to enhance your legal strategy.

Rule 26 of the Massachusetts Rules of Civil Procedure outlines the general provisions governing discovery, including interrogatories. This rule emphasizes the need for parties to exchange relevant information, helping to build a strong case concerning Massachusetts Interrogatories to Plaintiff for Motor Vehicle Occurrence. Understanding this rule can help you navigate the discovery process more effectively, potentially improving your chances of a favorable outcome. Consulting with a legal professional can provide clarity on how this rule applies to your specific situation.

(1) Number. Unless otherwise stipulated or ordered by the court, a party may serve on any other party no more than 25 written interrogatories, including all discrete subparts. Leave to serve additional interrogatories may be granted to the extent consistent with Rule 26(b)(1) and (2).

The rules of practice require that responses to interrogatories are provided under oath, which in your case, would be taken by a Notary.

The 25-interrogatory limit applies to all parts and sub-parts of a single question (so 1a, 1b, and 1c count as three interrogatories). For civil lawsuits in state court, the allowable number of interrogatories varies, so check your state's civil procedure rules or ask your personal injury lawyer.

You can object to an interrogatory if the information sought is known by the requesting party or available to both parties equally. For example, you should raise this objection if the answers are publicly available or in a third-party's custody or control.

Also, Federal Rules of Civil Procedure have placed twenty-five questions per party limitations on the use of interrogatories, but there is no numerical limit in FRCP on the requests for admission (unless specified differently in Local Rules of the state, which most states do have).

§2 allows the court to alter the limits of discovery on the number of depositions, interrogatories, and document requests if it determines that the discovery sought is overly burdensome, redundant, unnecessary, or disproportionately difficult to produce with respect to the importance of the case or specific issue.

No party shall serve upon any other party as of right more than thirty interrogatories, including interrogatories subsidiary or incidental to, or dependent upon, other interrogatories, and however the same may be grouped or combined; but the interrogatories may be served in two or more sets, as long as the total number

Make it a lead-off general objection. Object to anything that is not relevant to the subject matter (no longer the standard) or not likely to lead to admissible evidence (no longer the standard). Don't say if anything is being withheld on the basis of the objection. Use boilerplate wording from form files.

Trusted and secure by over 3 million people of the world’s leading companies

Massachusetts Interrogatories to Plaintiff for Motor Vehicle Occurrence