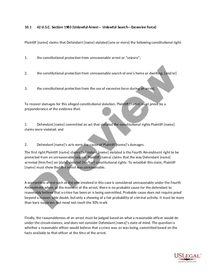
The 7.08 Fourth Amendment - False Arrest - Definition of "Probable Cause" form provides essential guidance on understanding the legal concept of probable cause in relation to false arrest claims. This legal template is specifically designed to assist in jury instructions within the context of the Federal 7th Circuit Court. It clarifies the criteria that establish whether an arrest was justified based on the information available to the defendant at the time, distinguishing it from other related forms.
This form is used in cases involving claims of false arrest, particularly when assessing whether law enforcement had probable cause at the time of the arrest. It is relevant in civil rights cases or litigation where an individual believes they were wrongfully detained without sufficient legal grounds. Use this form in judicial contexts that require jury instructions about the legal standards surrounding probable cause.
This form does not typically require notarization to be legally valid. However, some jurisdictions or document types may still require it. US Legal Forms provides secure online notarization powered by Notarize, available 24/7 for added convenience.
Our built-in tools help you complete, sign, share, and store your documents in one place.
Make edits, fill in missing information, and update formatting in US Legal Forms—just like you would in MS Word.
Download a copy, print it, send it by email, or mail it via USPS—whatever works best for your next step.
Sign and collect signatures with our SignNow integration. Send to multiple recipients, set reminders, and more. Go Premium to unlock E-Sign.
If this form requires notarization, complete it online through a secure video call—no need to meet a notary in person or wait for an appointment.
We protect your documents and personal data by following strict security and privacy standards.

Make edits, fill in missing information, and update formatting in US Legal Forms—just like you would in MS Word.

Download a copy, print it, send it by email, or mail it via USPS—whatever works best for your next step.

Sign and collect signatures with our SignNow integration. Send to multiple recipients, set reminders, and more. Go Premium to unlock E-Sign.

If this form requires notarization, complete it online through a secure video call—no need to meet a notary in person or wait for an appointment.

We protect your documents and personal data by following strict security and privacy standards.