South Carolina SMUGGLING A FIREARM

State:
South Carolina
Control #:
SC-FEDDC-JURY-18-924K-CR
Format:
Word
Instant download
This website is not affiliated with any governmental entity
Public form

Description

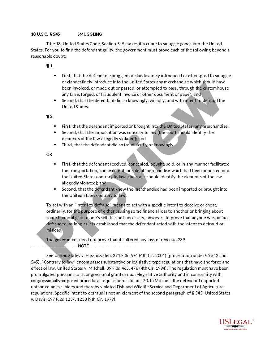
Official Pattern Jury Instructions for Criminal Cases in Federal District Court of South Carolina. All converted to Word format. Please see the official site for addional information. http://www.scd.uscourts.gov/pji/

South Carolina Smuggling a Firearm is the act of knowingly and unlawfully transferring a firearm from one place to another without authorization or proper documentation. This includes transporting, concealing, or otherwise aiding and abetting the illegal transfer of a firearm. It is a felony in the state of South Carolina and is punishable by up to 10 years in prison. Types of South Carolina Smuggling a Firearm include: Possession with Intent to Sell, Possession with Intent to Distribute, Unlawful Transportation, Unlawful Receipt, and Unlawful Possession.

How to fill out South Carolina SMUGGLING A FIREARM?

If you’re looking for a way to properly complete the South Carolina SMUGGLING A FIREARM without hiring a legal professional, then you’re just in the right place. US Legal Forms has proven itself as the most extensive and reputable library of formal templates for every personal and business scenario. Every piece of paperwork you find on our online service is designed in accordance with nationwide and state laws, so you can be certain that your documents are in order.

Follow these simple guidelines on how to get the ready-to-use South Carolina SMUGGLING A FIREARM:

  1. Ensure the document you see on the page complies with your legal situation and state laws by checking its text description or looking through the Preview mode.
  2. Type in the document name in the Search tab on the top of the page and select your state from the dropdown to locate another template if there are any inconsistencies.
  3. Repeat with the content verification and click Buy now when you are confident with the paperwork compliance with all the demands.
  4. ​Log in to your account and click Download. Create an account with the service and opt for the subscription plan if you still don’t have one.
  5. Use your credit card or the PayPal option to pay for your US Legal Forms subscription. The blank will be available to download right after.
  6. Choose in what format you want to save your South Carolina SMUGGLING A FIREARM and download it by clicking the appropriate button.
  7. Import your template to an online editor to fill out and sign it rapidly or print it out to prepare your paper copy manually.

Another great advantage of US Legal Forms is that you never lose the paperwork you purchased - you can pick any of your downloaded blanks in the My Forms tab of your profile whenever you need it.

Form popularity

FAQ

A person generally may not transport a handgun in a vehicle, except if he or she is: A holder of a concealable weapons permit (the handgun may be carried openly or concealed on or about the person);

SECTION 16-23-440. Discharging firearms at or into dwellings, structures, enclosures, vehicles or equipment; penalties. (A) It is unlawful for a person to discharge or cause to be discharged unlawfully firearms at or into a dwelling house, other building, structure, or enclosure regularly occupied by persons.

South Carolina considers some weapons offenses to be misdemeanors, but most cases of illegal firearm possession are considered to be felonies. For example, the ?usual? case of illegal handgun possession is treated as a felony that is punishable by up to five years in prison.

If you are found carrying your concealed weapon without a permit in South Carolina, you could receive a fine of up to $500 or up to 90 days in jail. Individuals who choose to carry a gun or firearm concealed should be cautious, even with a permit.

Last updated January 5, 2023 . A person generally may not transport a handgun in a vehicle, except if he or she is: A holder of a concealable weapons permit (the handgun may be carried openly or concealed on or about the person);

Unlawfully carrying of a handgun is a Misdemeanor offense defined by SC Code § 16-23-50(A)(2). If convicted, a defendant may face up to 1 year in prison, a fine up to $2,000.00, or both. Additionally, the handgun must be confiscated by Law Enforcement.

Gun trafficking is a federal crime that falls under the greater umbrella of weapons trafficking which would include ITAR violations and munitions offense. This refers to the movement or transfer of firearms, guns, weapons, parts, or ammunition from a legal market to an illegal market.

In South Carolina, unlawful carrying of a pistol charge is a misdemeanor that carries up to a year in prison. Possession of a stolen pistol is a felony that can carry up to five years in prison.

Trusted and secure by over 3 million people of the world’s leading companies

South Carolina SMUGGLING A FIREARM