• US Legal Forms

South Carolina DESTRUCTION OF PROPERTY WITHIN THE SPECIAL TERRITORIAL JURISDICTION OF THE UNITED STATES

State:
South Carolina
Control #:
SC-FEDDC-JURY-18-1363-CR
Format:
Word
Instant download
This website is not affiliated with any governmental entity
Public form

Description

Official Pattern Jury Instructions for Criminal Cases in Federal District Court of South Carolina. All converted to Word format. Please see the official site for addional information. http://www.scd.uscourts.gov/pji/

South Carolina DESTRUCTION OF PROPERTY WITHIN THE SPECIAL TERRITORIAL JURISDICTION OF THE UNITED STATES is a criminal offense that involves the intentional or reckless destruction of property located on US federal lands or waters. There are two types of destruction of property in the US territory: malicious destruction of property and vandalism. Malicious destruction of property is the intentional destruction of property for the purpose of causing harm or damage. It can include such things as setting fire to a building or vehicle, cutting down or damaging trees, or damaging fences or other property. Vandalism is the intentional or reckless destruction of property without the intent to cause harm or damage. It can include such things as graffiti, breaking windows, or damaging public or private property. In South Carolina, both malicious destruction of property and vandalism are considered serious offenses and can lead to jail time or fines depending on the severity of the crime.

How to fill out South Carolina DESTRUCTION OF PROPERTY WITHIN THE SPECIAL TERRITORIAL JURISDICTION OF THE UNITED STATES?

How much time and resources do you typically spend on composing official paperwork? There’s a greater opportunity to get such forms than hiring legal specialists or wasting hours searching the web for an appropriate blank. US Legal Forms is the premier online library that offers professionally drafted and verified state-specific legal documents for any purpose, like the South Carolina DESTRUCTION OF PROPERTY WITHIN THE SPECIAL TERRITORIAL JURISDICTION OF THE UNITED STATES.

To acquire and prepare an appropriate South Carolina DESTRUCTION OF PROPERTY WITHIN THE SPECIAL TERRITORIAL JURISDICTION OF THE UNITED STATES blank, follow these simple instructions:

  1. Look through the form content to ensure it meets your state requirements. To do so, read the form description or utilize the Preview option.
  2. If your legal template doesn’t meet your needs, find a different one using the search bar at the top of the page.
  3. If you are already registered with our service, log in and download the South Carolina DESTRUCTION OF PROPERTY WITHIN THE SPECIAL TERRITORIAL JURISDICTION OF THE UNITED STATES. Otherwise, proceed to the next steps.
  4. Click Buy now once you find the correct blank. Choose the subscription plan that suits you best to access our library’s full opportunities.
  5. Register for an account and pay for your subscription. You can make a payment with your credit card or via PayPal - our service is absolutely reliable for that.
  6. Download your South Carolina DESTRUCTION OF PROPERTY WITHIN THE SPECIAL TERRITORIAL JURISDICTION OF THE UNITED STATES on your device and fill it out on a printed-out hard copy or electronically.

Another advantage of our library is that you can access previously acquired documents that you safely store in your profile in the My Forms tab. Obtain them at any moment and re-complete your paperwork as frequently as you need.

Save time and effort preparing formal paperwork with US Legal Forms, one of the most trustworthy web solutions. Sign up for us now!

Form popularity

FAQ

Under South Carolina Code Annotated 16-17-530, the crime of public disorderly conduct is defined as behavior that is outside the bounds of behavior expected of citizens in public areas.

The common law crime known as "conspiracy" is defined as a combination between two or more persons for the purpose of accomplishing an unlawful object or lawful object by unlawful means.

(A) It is unlawful for a person to knowingly make a false complaint to a law enforcement officer concerning the alleged commission of a crime by another, or for a person to knowingly give false information to a rescue squad or fire department concerning the alleged occurrence of a health emergency or fire.

Malicious Injury to Personal Property can be a misdemeanor or felony offense, depending on the cost to repair the damage or replace the property. The total damage also determines the punishment severity.

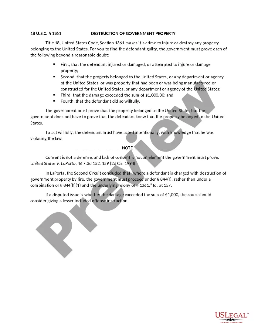
Destruction Of Government Property -- 18 U.S.C. § 1361. Section 1361 protects "any property" of the United States or an agency or department thereof, or any property being manufactured or constructed for the United States or an agency or department thereof, from willful depredation or attempted depredation.

SECTION 16-17-20. Persons convicted of barratry barred from practice of law. Any person convicted of barratry shall be forever barred from practicing law in this State.

It is unlawful for a person to assault or intimidate a citizen, discharge a citizen from employment or occupation, or eject a citizen from a rented house, land, or other property because of political opinions or the exercise of political rights and privileges guaranteed to every citizen by the Constitution and laws of

SECTION 16-11-570. Injury or destruction of buildings or crops by tenant. It is unlawful for a tenant to wilfully and maliciously cut, deface, mutilate, burn, destroy, or otherwise injure a dwelling house, outhouse, , building, or crops in his possession.

Trusted and secure by over 3 million people of the world’s leading companies

South Carolina DESTRUCTION OF PROPERTY WITHIN THE SPECIAL TERRITORIAL JURISDICTION OF THE UNITED STATES