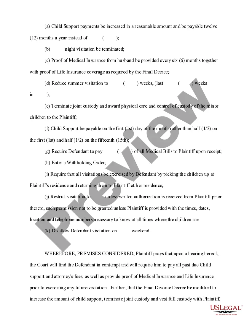
A Motion for Contempt and Modification is a legal document used to formally request the court to take specific action regarding a violation of a court order. This form is distinct from other motions because it not only seeks to address non-compliance but also requests modifications to existing court orders. It is essential to use this form when there is a need to enforce a court decision or adapt legal arrangements to changing circumstances.
This form should be used in situations where a party has failed to comply with a court order, such as failing to make child support payments or not following custody arrangements. It is also applicable when there is a need to modify existing court orders due to changes in circumstances, such as a change in income, relocation, or other significant life events.
In most cases, this form does not require notarization. However, some jurisdictions or signing circumstances might. US Legal Forms offers online notarization powered by Notarize, accessible 24/7 for a quick, remote process.
Our built-in tools help you complete, sign, share, and store your documents in one place.
Make edits, fill in missing information, and update formatting in US Legal Forms—just like you would in MS Word.
Download a copy, print it, send it by email, or mail it via USPS—whatever works best for your next step.
Sign and collect signatures with our SignNow integration. Send to multiple recipients, set reminders, and more. Go Premium to unlock E-Sign.
If this form requires notarization, complete it online through a secure video call—no need to meet a notary in person or wait for an appointment.
We protect your documents and personal data by following strict security and privacy standards.

Make edits, fill in missing information, and update formatting in US Legal Forms—just like you would in MS Word.

Download a copy, print it, send it by email, or mail it via USPS—whatever works best for your next step.

Sign and collect signatures with our SignNow integration. Send to multiple recipients, set reminders, and more. Go Premium to unlock E-Sign.

If this form requires notarization, complete it online through a secure video call—no need to meet a notary in person or wait for an appointment.

We protect your documents and personal data by following strict security and privacy standards.
The Motion for Contempt and Modification is an enforceable document that provides a way for individuals to seek judicial resolution in cases of non-compliance. It is essential to adhere to local court rules to ensure that the motion is accepted and processed correctly.
There is a valid court order in effect. The other person knows about the court order. The facts show a plain violation of the order. You have given the person notice of the contempt hearing and a chance to be heard. Contempt is an appropriate remedy for the violation.
If a person is found to be in contempt, the court is able to impose sanctions, which may include the following: jail time (usually 1-30 days) ordering the party held in contempt to pay the money owed. ordering the party held in contempt to pay the other party's attorney's fees.
Depending on the infraction, contempt of court consequences can include fines, compensatory visitation, a modification to the custody arrangement, and in some instances even jail time. In most cases, if someone is held in contempt, the court will first give them the opportunity to make amends for the violation.
To get a contempt finding, you must usually file a court document called a "motion for an order to show cause." That puts the burden on the parent who isn't following the custody or visitation order to explain to the court the reasons why he or she should not be held in contempt.
Depending on the infraction, contempt of court consequences can include fines, compensatory visitation, a modification to the custody arrangement, and in some instances even jail time. In most cases, if someone is held in contempt, the court will first give them the opportunity to make amends for the violation.
At the hearing, you will have to swear to tell the truth before you present your case. As the party alleging contempt, you will probably speak first. Keep your explanation of how your ex disobeyed a court order brief and only talk about the reasons you asked for the contempt action.
Proof of contempt Being found in contempt of a court order is extremely serious, and the sanctions imposed can be severe. The court will require clear and concrete evidence of willful disobedience of the court order.
Under law of Limitation as provided in the Act, contempt petition can be filed within one year from the date of occurrence or commission of contempt and another aspect is that why petition is not filed as soon as contempt is committed within reasonable period.