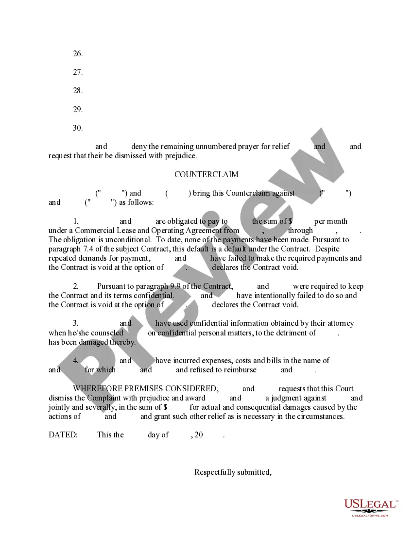
The Answer and Counterclaim is a legal document filed in response to a Complaint that initiates a lawsuit. This form is specifically designed for cases involving contract enforcement. By filing this document, the defendant not only responds to the claims made against them but also asserts their own claims against the plaintiff. This form differs from a simple Answer, as it includes the Counterclaim section where the defendant can argue their case and seek relief. This form is available for download in both Word and Rich Text formats.
This form should be used when a defendant receives a Complaint related to the enforcement of a contract. It is ideal in situations where the defendant wishes to officially respond to the allegations while also presenting their own claims against the plaintiff, which may include counterclaims for damages, breach of contract, or other legal relief.
This form is intended for:
In most cases, this form does not require notarization. However, some jurisdictions or signing circumstances might. US Legal Forms offers online notarization powered by Notarize, accessible 24/7 for a quick, remote process.
Our built-in tools help you complete, sign, share, and store your documents in one place.
Make edits, fill in missing information, and update formatting in US Legal Forms—just like you would in MS Word.
Download a copy, print it, send it by email, or mail it via USPS—whatever works best for your next step.
Sign and collect signatures with our SignNow integration. Send to multiple recipients, set reminders, and more. Go Premium to unlock E-Sign.
If this form requires notarization, complete it online through a secure video call—no need to meet a notary in person or wait for an appointment.
We protect your documents and personal data by following strict security and privacy standards.

Make edits, fill in missing information, and update formatting in US Legal Forms—just like you would in MS Word.

Download a copy, print it, send it by email, or mail it via USPS—whatever works best for your next step.

Sign and collect signatures with our SignNow integration. Send to multiple recipients, set reminders, and more. Go Premium to unlock E-Sign.

If this form requires notarization, complete it online through a secure video call—no need to meet a notary in person or wait for an appointment.

We protect your documents and personal data by following strict security and privacy standards.
You can file an answer or a general denial. Filing an answer. You can file a motion In certain situations, you can respond to the lawsuit by filing a motion (a request) that usually tells the court that the plaintiff made a mistake in the lawsuit. Talk to a lawyer!
(B) A party must serve an answer to a counterclaim or crossclaim within 21 days after being served with the pleading that states the counterclaim or crossclaim. (C) A party must serve a reply to an answer within 21 days after being served with an order to reply, unless the order specifies a different time.
1 attorney answer It does not need to be notarized, but a copy must be mailed to every other party, in addition to being filed with the court. Be sure to put your name, address, and phone number on it.
TIME TO RESPOND In addition, a party must respond to a counterclaim or cross-claim within 21 days of being served with the pleading that states the claim(s) (FRCP 12(a)(1)(B)).
In order to make a counterclaim, you first draft your response to the lawsuit. Then you need to describe the factual circumstances surrounding your claim and make a demand for compensation or other relief. Be sure you do not confuse counterclaims with cross-complaints.
Provide the name of the court at the top of the Answer. You can find the information on the summons. List the name of the plaintiff on the left side. Write the case number on the right side of the Answer. Address the Judge and discuss your side of the case. Ask the judge to dismiss the case.
When drafting an answer, one must: (1) follow the local, state, and federal court rules; (2) research the legal claims in the adversary's complaint; (3) respond to the adversary's factual allegations; and (4) assert affirmative defenses, counterclaims, cross-claims, or third-party claims, if applicable.
Current filing fees are: In district court, the fee for defendant's first filing is typically $223.00, but that might vary depending on the type of case. To verify your filing fee, click to visit Filing Fees and Waivers. In justice court, the fee for defendant's first filing is typically $71.
Read the summons and make sure you know the date you must answer by. Read the complaint carefully. Write your answer. Sign and date the answer. Make copies for the plaintiff and yourself. Mail a copy to the plaintiff. File your answer with the court by the date on the summons.