Letter to Client - Interrogatories to Answer
Complaint for auto and truck accident
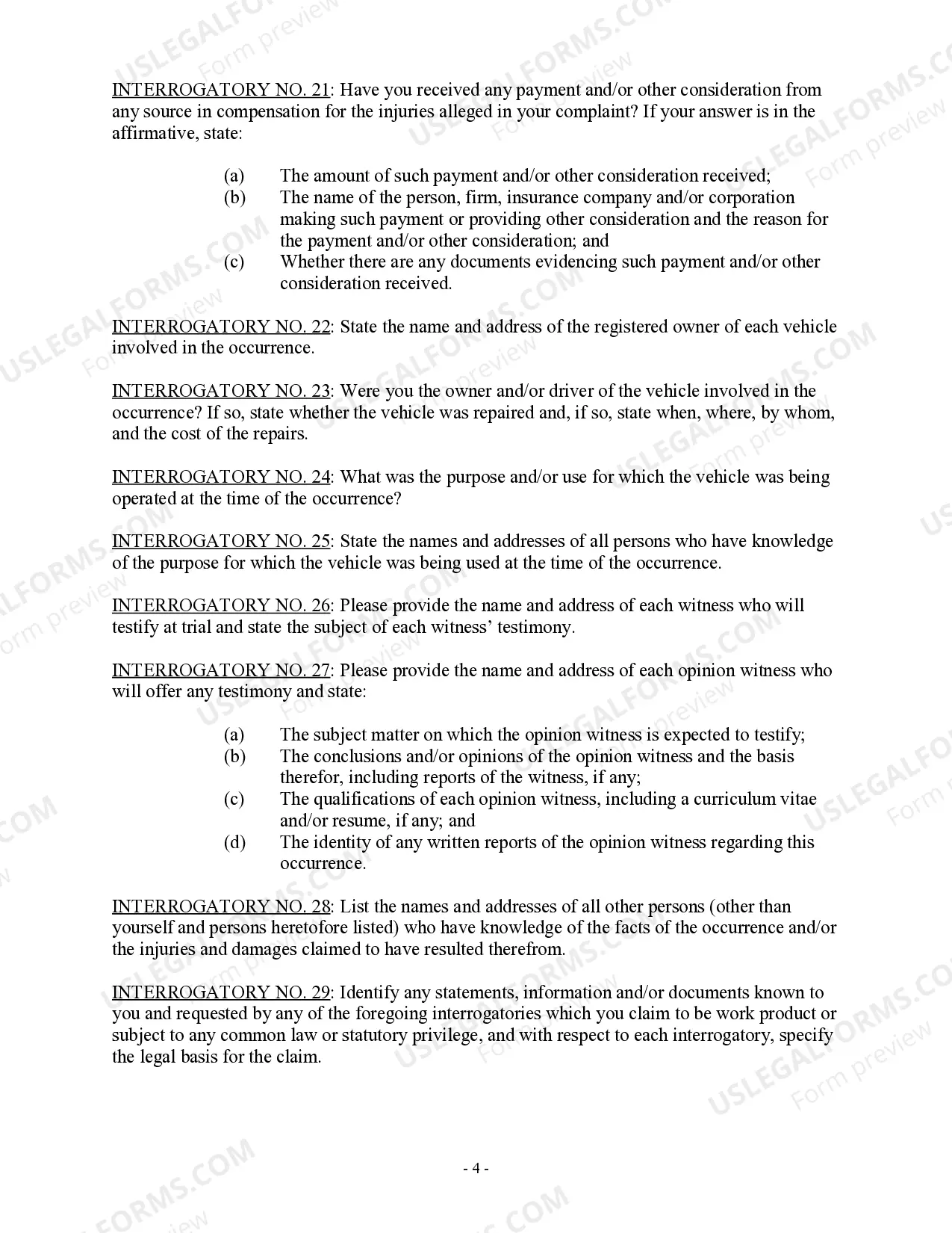
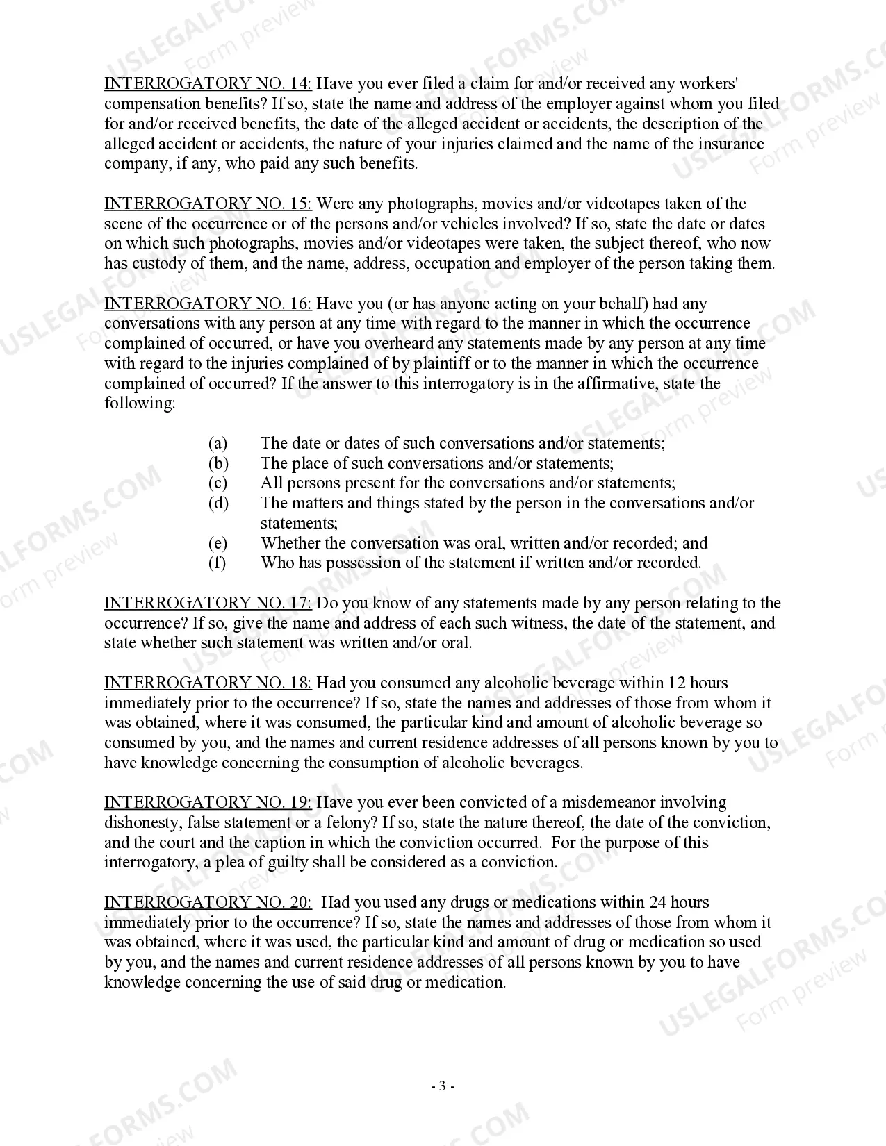
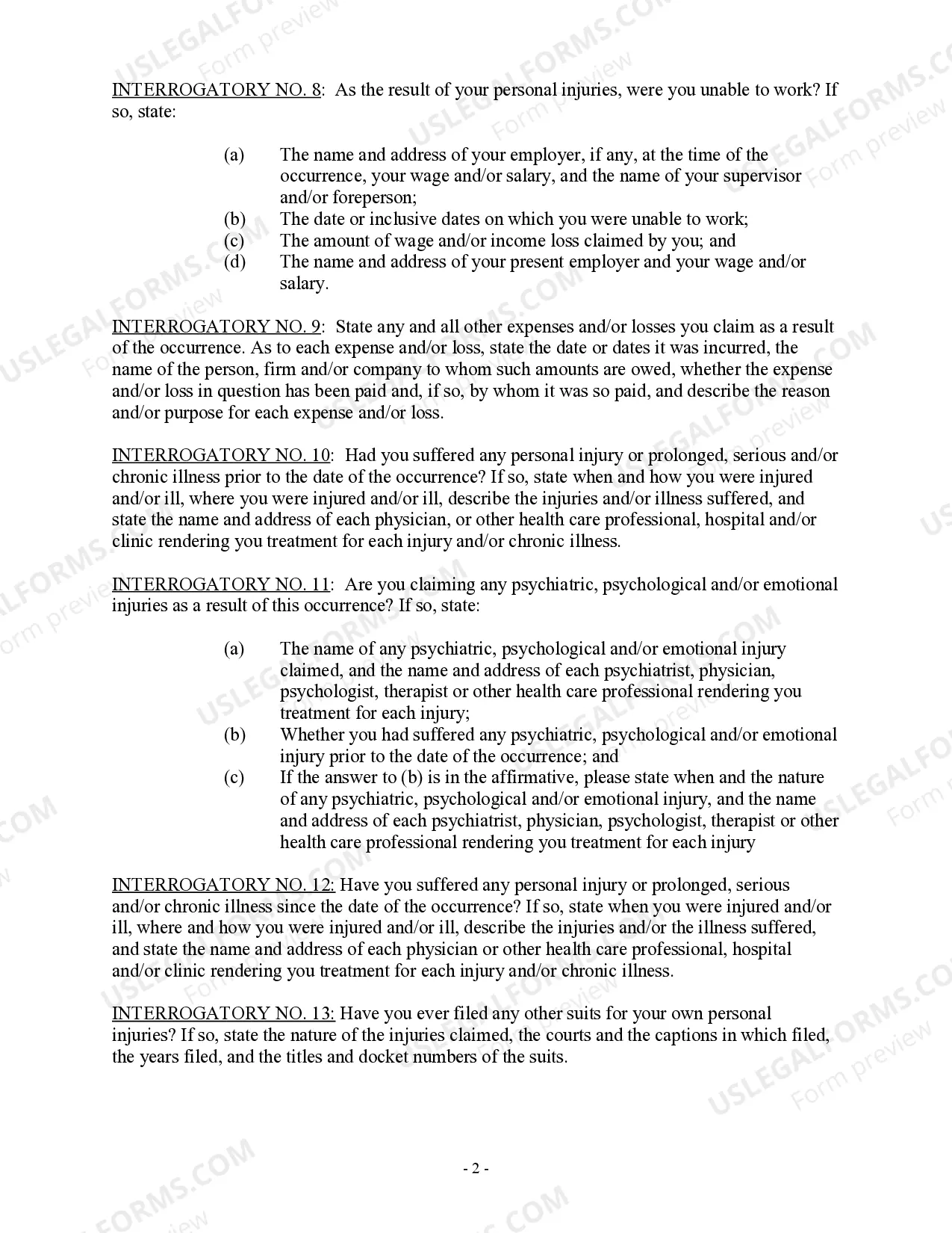
Interrogatories - Personal Injury - Auto Accident
Interrogatories to Defendant - Personal Injury
Plaintiff's Interrogatories to Defendant - Personal Injury
Resolution of Meeting of LLC Members to Set Officer Salary
Sample Letter for Motion to Dismiss in Referenced Bankruptcy
Sample Stock Purchase Agreement between Chief Consolidated Mining Company and Dimeling
Model Plans and Programs for the OSHA Bloodborne Pathogens and Hazard Communications Standards
Notice of Right or Election to Cancel Written Contract or Agreement
Sample Letter for Answer and Counterclaim
Sample Letter for Payoff of Loan held by Mortgage Company
Proposed compensation program for officers and certain key management personnel
18 U.S.C. Sec. 1512(C)(2) OTHERWISE OBSTRUCT OFFICIAL PROCEEDING
Request for Accounting of Disclosures of Protected Health Information
Have any template from 85,000 legal documents such as Missouri Interrogatories to Plaintiff for Motor Vehicle Occurrence on-line with US Legal Forms. Every template is drafted and updated by state-accredited attorneys.
If you have a subscription, log in. Once you’re on the form’s page, click on the Download button and go to My Forms to get access to it.
In case you haven’t subscribed yet, follow the steps below:
With US Legal Forms, you will always have quick access to the right downloadable sample. The platform gives you access to documents and divides them into groups to simplify your search. Use US Legal Forms to get your Missouri Interrogatories to Plaintiff for Motor Vehicle Occurrence fast and easy.
You must answer each interrogatory separately and fully in writing under oath, unless you object to it. You must explain why you object. You must sign your answers and objections.
Your answers to the interrogatories should usually be short, clear, and direct and should answer only the question that is being asked. This is not the time to set out your entire case or defense to the other side. Take the time to make sure your answers are correct and truthful.
Unless you have been a party in a lawsuit before, you probably do not know what interrogatories are.Interrogatories are written questions that you have to respond to in writing, under oath. A California personal injury attorney can guide you through the process of responding to interrogatories.
Motions to Compel If a party doesn't respond to interrogatories or requests for production, then the party seeking those answers must file a motion to compel with the court. If the court grants the motion to compel, then the party who objected or failed to answer must then do so.
So, can you refuse to answer interrogatories? The answer is, no, you may not.That answer must either permit inspection of the requested information or object to the production of the information for a specific reason.
In law, interrogatories (also known as requests for further information) are a formal set of written questions propounded by one litigant and required to be answered by an adversary in order to clarify matters of fact and help to determine in advance what facts will be presented at any trial in the case.
Interrogatories are a discovery tool that the parties can use to have specific questions about a case answered before trial. Interrogatories are lists of questions sent to the other party that s/he must respond to in writing.
Written questions submitted to a party from his or her adversary to ascertain answers that are prepared in writing and signed under oath and that have relevance to the issues in a lawsuit.No party can be compelled to answer interrogatories that involve matters beyond the party's control.
Warning of Default on Residential Lease
Warning of Default on Commercial Lease
Notice To Interested Parties
Notice to Unrepresented Litigant
Landlord Tenant Closing Statement to Reconcile Security Deposit
Definitions
Discovery: A procedure designed to allow disclosure of information between Plaintiffs and Defendants. Written questions, oral questioning, document production and admissions requests are generally allowed. Discovery was designed to to prevent trial by ambush.
Interrogatories: Written questions from Plaintiff to Defendant, or from Defendant to Plaintiff. The questions are mailed to the Plaintiff, Defendant or the attorney for response in writing. The answers or responses are usually due between 20-30 days.
Deposition: A procedure where verbal questions are asked a Plaintiff or Defendant for immediate response. Depositions are usually recorded by a court reporter, who swears the person to tell the truth before questioning begins.
Production of Documents: The method of obtaining documents from the other party relevant to the case such as all documents a party intends to introduce at trial.
Requests for Admissions: Written questions where you request the other party to admit or deny some relevant fact.
Objections: Objections may be made to all discovery questions if the questions are not relevant, or likely to lead to the discovery of relevant evidence.
Civil Procedure Rules: Virtually all states have adopted a version of civil procedure rules which include rules dealing with discovery.
Missouri Rules of Civil Procedure
Missouri has adopted the Missouri Rules of Civil Procedure which contain rules governing discovery. The discovery rules also apply in divorce actions.
Discovery Methods: Parties may obtain discovery by one or more of the following methods: depositions upon oral examination or written questions; written interrogatories; production of documents or things or permission to enter upon land or other property, for inspection and other purposes; physical and mental examinations; and requests for admission.Rule 56.01(a)
Scope: Unless otherwise limited by order of the Court in accordance with these rules, the scope of discovery is as follows:
(1) In General. Parties may obtain discovery regarding any matter, not privileged, which is relevant to the subject matter involved in the pending action, whether it relates to the claim or defense of the party seeking discovery or to the claim or defense of any other party, including the existence, description, nature, custody, condition and location of any books, documents or other tangible things and the identity and location of persons having knowledge of any discoverable matter. It is not ground for objection that the information sought will be inadmissible at the trial if the information sought appears reasonably calculated to lead to the discovery of admissible evidence. Rule 56.01(b)
Experts: Discovery of facts known and opinions held by experts, otherwise discoverable under the provisions of Rule 56.01(b)(1) and acquired or developed in anticipation of litigation or for trial, may be obtained only as follows:
(a) A party may through interrogatories require any other party to identify each person whom the other party expects to call as an expert witness at trial by providing such expert's name, address, occupation, place of employment and qualifications to give an opinion, or if such information is available on the expert's curriculum vitae, such curriculum vitae may be attached to the interrogatory answers as a full response to such interrogatory, and to state the general nature of the subject matter on which the expert is expected to testify, and the expert's hourly deposition fee.
A party may discover by deposition the facts and opinions to which the expert is expected to testify. Unless manifest injustice would result, the court shall require that the party seeking discovery from an expert pay the expert a reasonable hourly fee for the time such expert is deposed. Rule 56.01(b)(4)
Sequence and Timing of Discovery: Unless the court upon motion, for the convenience of parties and witnesses and in the interests of justice, orders otherwise, methods of discovery may be used in any sequence and the fact that a party is conducting discovery, whether by deposition or otherwise, shall not operate to delay any other party's discovery. Rule 56.01(d)
Supplementation of Responses: A party who has responded to written interrogatories with a response that was complete when made is under no duty to supplement the response to include information thereafter acquired, except as follows:
(1) A party is under a duty seasonably to supplement the response with respect to any question directly addressed to (A) the identity and location of persons having knowledge of discoverable matters and (B) the identity of each person expected to be called as an expert witness at trial and the general nature of the subject matter on which the expert is expected to testify.
(2) A party is under a duty to amend a prior response seasonably if the party obtains information upon the basis of which the party knows that the response (A) was incorrect when made or (B) though correct when made is no longer true.
(3) A duty to supplement responses other than those specified in Rule 56.01(e)(1) or Rule 56.01(e)(2) may be imposed by order of the court, agreement of the parties, or at any time prior to trial through new requests for supplementation of prior responses. Rule 56.01(e)
Before Whom Depositions May Be Taken: Unless the court orders otherwise, the parties may by written stipulation (1) provide that depositions may be taken before any person at any time or place, upon any notice, and in any manner and when so taken may be used like other depositions, and (2) modify the procedures provided by these Rules for other methods of discovery. Any stipulation under subdivision (2) shall be filed. Rule 56.01(f)
Depositions
Depositions Upon Oral Examination: When Depositions May Be Taken. After commencement of the action, any party may take the testimony of any person, including a party, by deposition upon oral examination. Leave of court, granted with or without notice, must be obtained only if the plaintiff seeks to take a deposition prior to the expiration of 30 days after service of the summons and petition upon any defendant, except that leave is not required if a defendant has served a notice of taking deposition or otherwise sought discovery. The attendance of witnesses may be compelled by subpoena as provided in Rule 57.09. The attendance of a party is compelled by notice as provided in subdivision (b) of this Rule. The deposition of a person confined in prison may be taken only by leave of court on such terms as the court describes. Rule 57.03(a)
Notice of Examination: General Requirements; Special
Notice; Production of Documents and Things; Deposition of Organization.
(1) A party desiring to take the deposition of any person upon oral examination
shall give not less than seven days notice in writing to every other party
to the action. The notice shall state the time and place for taking the
deposition and the name and address of each person to be examined, if known,
and, if the name is not known, a general description sufficient to identify
the person or the particular class or group to which the person belongs.
If a subpoena duces tecum is to be served on the person to be examined,
the designation of the materials to be produced as set forth in the subpoena
shall be attached to or included in the notice. A party may attend a deposition
by telephone.
(2) The court may for cause shown enlarge or shorten the time for
taking the deposition.
(3) The notice to a party deponent may be accompanied by a request
made in compliance with Rule 58.01 for the production of documents and
tangible things at the taking of the deposition. The procedure of Rule
58.01 shall apply to the request.
(4) A party may in the notice and in a subpoena name as the deponent a public or private corporation or a partnership or association or governmental agency and describe with reasonable particularity the matters on which examination is requested. In that event, the organization so named shall designate one or more officers, directors, or managing agents, or other persons who consent to testify on its behalf and may set forth, for each person designated, the matters on which the person will testify. A subpoena shall advise a nonparty organization of its duty to make such a designation. The persons so designated shall testify as to matters known or reasonably available to the organization. This Rule 57.03(b)(4) does not preclude taking a deposition by any other procedure authorized in these rules.
(5) When the party causing a deposition or depositions to be taken under a notice shall have completed the taking thereof, any other party may, before the same or any other officer authorized to take depositions, and at the same place, proceed immediately, or on the next day, to take any depositions the party may desire to be taken in the civil action, and may continue the taking thereof from day to day, at said place, until the party shall have taken all the party desires; but to do so, the party shall, before or during the time of the taking of the depositions on behalf of the other party, give all other parties, or the attorneys representing them, notice in writing of the intention to do so, the name and address of each person to be examined, if known, and, if the name is not known, a general description sufficient to identify the person or the particular class or group to which the person belongs. If a subpoena duces tecum is to be served on the person to be examined, the designation of the materials to be produced as set forth in the subpoena shall be attached to or included in the notice. Rule 57.03(b)
Non-stenographic Recording Video Tape. Depositions may be recorded by the use of video tape or similar methods. The recording of the deposition by video tape shall be in addition to a usual recording and transcription method unless the parties otherwise agree.
(1) If the deposition is to be recorded by video tape, every notice
or subpoena for the taking of the deposition shall state that it is to
be video taped and shall state the name, address and employer of the recording
technician. If a party upon whom notice for the taking of a deposition
has been served desires to have the testimony additionally recorded by
other than stenographic means, that party shall serve notice on the opposing
party and the witness that the proceedings are to be video taped. Such
notice must be served not less than three days prior to the date designated
in the original notice for the taking of the depositions and shall state
the name, address and employer of the recording technician.
(2) Where the deposition has been recorded only by video tape and if the witness and parties do not waive signature, a written transcription of the audio shall be prepared to be submitted to the witness for signature as provided in Rule 57.03(f).
(3) The witness being deposed shall be sworn as a witness on camera by an authorized person.
(4) More than one camera may be used, either in sequence or simultaneously.
(5) The attorney for the party requesting the video taping of the
deposition shall take custody of and be responsible for the safeguarding
of the video tape and shall, upon request, permit the viewing thereof by
the opposing party and if requested, shall provide a copy of the video
tape at the cost of the requesting party.
(6) Unless otherwise stipulated to by the parties, the expense of video taping is to be borne by the party utilizing it and shall not be taxed as costs. Rule 57.03(c)
Record of Examination; Oath; Objections. The officer before whom
the deposition is to be taken shall put the witness on oath or affirmation
and shall personally, or by someone acting under the officer's direction
and in the officer's presence, record the testimony of the witness. The
testimony shall be taken stenographically or recorded by any other means
ordered in accordance with Rule 57.03(c). If requested by one of the parties,
the testimony shall be transcribed.
All objections made at the time of the examination to the qualifications of the officer taking the deposition, to the manner of taking it, to the evidence presented, to the conduct of any party, or any other objection to the proceedings shall be noted by the officer upon the deposition. Evidence objected to shall be taken subject to the objections. In lieu of participating in the oral examination, parties may serve written questions in a sealed envelope on the party taking the deposition, and that party shall transmit them to the officer before whom the deposition is to be taken, who shall propound them to the witness, and the questions and answers thereto shall be recorded. Rule 57.03(d)
Motion to Terminate or Limit Examination. At any time during the taking of the deposition, on motion of a party or of the deponent and upon a showing that the examination is being conducted in bad faith or in such manner as unreasonably to annoy, embarrass, or oppress the deponent or party, the court in which the action is pending or a court having general jurisdiction in the place where the deposition is being taken may order the officer conducting the examination to cease forthwith from taking the deposition, or may limit the scope and manner of the taking of the deposition as provided in Rule 56.01(c). If the order made terminates the examination, it shall be resumed thereafter only upon the order of the court in which the action is pending. Upon demand of the objecting party or deponent, the taking of the deposition shall be suspended for the time necessary to make a motion for an order. The provisions of Rule 61.01(g) apply to the award of expenses incurred in relation to the motion. Rule 57.03(e)
Depositions Upon Oral Examination: Serving Questions; Notice. After commencement of the action, any party may take the testimony of any person, including a party, by deposition upon written questions. The attendance of witnesses may be compelled by the use of subpoena as provided in Rule 57.09. The deposition of a person confined in prison may be taken only by leave of court on such terms as the court prescribes.
A party desiring to take a deposition upon written questions shall serve them upon every other party with a notice stating: (1) the name and address of the person who is to answer them, if known, and if the name is not known, a general description sufficient to identify the person or the particular class or group to which the person belongs and (2) the name or descriptive title and address of the officer before whom the deposition is to be taken. A deposition upon written questions may be taken of a public or private corporation or a partnership or association or governmental agency in accordance with the provisions of Rule 57.03(b)(4). Rule 57.04(a)
Interrogatories
Availability; Procedures for Use. Any party may serve upon any other party written interrogatories. The interrogatories shall be answered by:
(1) The party served, or
(2) If the party served is a public or private corporation or a partnership or association or governmental agency, by any officer or agent.
The party answering the interrogatory shall furnish such information as is available to the party. Interrogatories may, without leave of court, be served upon:
(1) The plaintiff after commencement of the action, and
(2) Any other party with or after service of the summons and petition upon that party.
At the time the party who is to answer the interrogatories is served, the interrogating party also shall serve a copy, with a notice stating the name and address of the party who is to answer, upon each additional party, if any.
Each interrogatory shall be answered separately and fully in writing under oath, unless it is objected to. If the interrogatory is objected to, the reasons for objection shall be stated in detail in lieu of an answer.
The answers are to be signed by the person making them. The objections are to be signed by:
(1) The attorney making them, or
(2) If the party is not represented by an attorney, by the party.
The party upon whom the interrogatories have been served shall serve a copy of the answer and objections, if any, upon:
(1) The interrogating party, and
(2) Each additional party, if any.
A defendant may serve answers or objections within forty-five days after service of the summons and petition upon that defendant. For all other parties, the answer and objections shall be served within thirty days after the service of the interrogatories. The court may allow a shorter or longer time.
The party submitting the interrogatory may move for an order under Rule 61.01(b) with respect to any objection to or other failure to answer an interrogatory. Rule 57.01(a)
Interrogatories and answers under this Rule 57.01 shall not be filed with the court except upon court order or contemporaneously with a motion placing the interrogatories in issue. However, both when the interrogatories and answers are served, the party serving them shall file with the court a certificate of service. The certificate shall show the caption of the case, the name of the party served, the date and manner of service, the designation of the document, e.g., first interrogatories or answers to second interrogatories, and the signature of the serving party or attorney. The answers bearing the original signature of the party answering the interrogatories shall be served on the party that submitted the interrogatories who shall be the custodian thereof until the entire case is finally disposed. Copies of interrogatory answers may be used in all court proceedings to the same extent the original answers may be used. Rule 57.01(b)
Interrogatories may relate to any matters which can be inquired into under Rule 56.01, and the answers may be used to the extent permitted by the rules of evidence.
An interrogatory otherwise proper is not necessarily objectionable merely because an answer to the interrogatory involves an opinion or contention that relates to fact or the application of law to fact, but the court may order that such an interrogatory need not be answered until after designated discovery has been completed or until a pretrial conference or other later time. Rule 57.01(c)
Production
Any party may serve on any other party a request (1) to produce and permit the party making the request, or someone acting on his behalf, to inspect and copy, any designated documents (including writings, drawings, graphs, charts, photographs, phono records, and other data compilations from which information can be obtained, translated, if necessary, by the respondent through detection devices into reasonably usable form), or to inspect and copy, test, or sample any tangible things which constitute or contain matters within the scope of Rule 56.01(b) and which are in the possession, custody or control of the party upon whom the request is served; or (2) to permit entry upon designated land or other property in the possession or control of the party upon whom the request is served for the purpose of inspection and measuring, surveying, and photographing, testing, or sampling the property or any designated object or operation thereon, within the scope of Rule 56.01(b). Rule 58.01(a)
The request may be served upon the plaintiff without leave of court after commencement of the action and upon any other party with or after service of the summons and petition upon that party. At the time of such service, the requesting party also shall serve a copy, along with a notice stating the name and address of the party who is to respond, upon each additional party, if any. The request shall set forth the items to be inspected either by individual item or by category, and describe each item and category with reasonable particularity. The request shall specify a reasonable time, place and manner of making the inspection and performing the related acts.
The party upon whom the request is served shall serve a written response within thirty days after the service of the request, except that a defendant may serve a response within forty-five days after service of the summons and petition upon that defendant. The court may allow a longer or a shorter time. At the time of such service, the responding party shall serve a copy of such written responses upon each additional party, if any. The response shall state, with respect to each item or category, that inspection and related activities will be permitted as requested, unless the request is objected to, in which event the reasons for objection shall be stated. If objection is made to part of an item or category, the part shall be specified. The party submitting the request may move for an order under Rule 61.01 with respect to any objection to or other failure to respond to the request or any part thereof or any failure to permit inspection as requested. A party who produces documents for inspection shall produce them as they are kept in the usual course of business or shall organize and label them to correspond with the categories in the request. 58.01(b)
The request and responses thereto shall not be filed with the court except upon court order or contemporaneously with a motion placing the request in issue. However, both when the request and responses are served, the party serving them shall file with the court a certificate of service. The certificate shall show the caption of the case, the name of the party served, the date and manner of service, and the signature of the serving party or attorney. Each party filing a certificate shall maintain a copy of the document that is the subject of the certificate until the case is finally disposed. 58.01(c)
This Rule 58.01 does not preclude an independent action against a person not a party for production of documents and things and permission to enter upon land. 58.01(d)
Physical and Mental Examinations of Persons
Order for Examination. (1) In an action in which the mental condition, physical condition, or blood relationship of a party, or of an agent or a person in the custody or under the legal control of a party, is in controversy, the court in which the action is pending may order the party (i) to submit to physical, mental, or blood examinations by physicians or other appropriate licensed health care providers or (ii) to produce for such examinations such party's agent or the person in such party's custody or legal control.
(2) In any action in which the vocational ability of a party, or of an agent or a person in the custody or under the legal control of a party, is in controversy, the court in which the action is pending may order the party (i) to submit to evaluation by vocational rehabilitation professionals or (ii) to produce for such evaluation such party's agent or the person in such party's custody or legal control.
(3) Any order under this Rule 60.01(a) may be made only on motion for good cause shown, upon notice to the person against whom the order is sought and to all other parties. Such order shall specify the time, place, manner, conditions, scope of, and identity of each person conducting the examination or evaluation. The court may, as a condition of its order, require the party requesting the order to reimburse the person who is the subject of the order for that person's reasonable round trip expenses in traveling more than sixty miles from the place of residence to the place of examination or evaluation. Rule 60.01(a)
(1) If requested by the party against whom an order is made under Rule 60.01(a) or the person who is the subject of the order, the party obtaining the order shall deliver to the requesting person or party a copy of a detailed written report of the examiner or evaluator setting out the findings, including results of all tests made, diagnosis, and conclusions, together with like reports of all earlier examinations or evaluations of the same condition. After delivery, the party obtaining the order shall be entitled upon request to receive from the party against whom the order is made a like report of any examination or evaluation, previously or thereafter made, of the same condition, unless, in the case of a report of examination or evaluation of a person not a party, the party shows an inability to obtain it. The court on motion shall make an order against a party requiring delivery of a report on such terms as are just; if an examiner or evaluator fails or refuses to make a report, the court may exclude the examiner's or evaluator's testimony if offered at the trial.
(2) By requesting and obtaining a report of the examination or evaluation so ordered or by taking the deposition of the examiner or evaluator, the person examined or evaluated waives any privilege the person may have in that action, or any other involving the same controversy, regarding the testimony of every other person who has examined or evaluated or may thereafter examine or evaluate the person in respect of the same mental condition, physical condition, vocational ability, or blood relationship.
(3) This Rule 60.01(b) applies to examinations made by agreement of the parties, unless the agreement expressly provides otherwise, and does not preclude discovery of a report of or the taking of a deposition of the examiner or evaluator in accordance with the provisions of any other rule. Rule 60.01(b)
Requests for Admissions
Request for Admissions. After commencement of an action a party may serve upon any other party a written request for the admission, for purposes of the pending action only, of the truth of any matters within the scope of Rule 56.01(b) set forth in the request that relate to statements or opinions of fact or of the application of law to fact including the genuineness of any documents described in the request. A request may not be served upon a defendant until the expiration of thirty days after valid service of process upon the defendant. Copies of the documents shall be served with the request unless copies have already been furnished.
Each matter of which an admission is requested shall be separately set forth. The matter is admitted unless, within thirty days after service of the request, or within such shorter or a longer time as the court may allow, the party to whom the request is directed serves upon the party requesting the admission a written answer or objection addressed to the matter, signed by the party or by the party's attorney, but unless the court shortens the time, a defendant shall not be required to serve answers or objections before the expiration of sixty days after service of the summons and petition upon such defendant. If objection is made, the reasons therefor shall be stated. The answer shall specifically deny the matter or set forth in detail the reasons why the answering party cannot truthfully admit or deny the matter. A denial shall fairly meet the substance of the requested admission, and when good faith requires that a party qualify an answer or deny only a part of the matter of which an admission is requested, such party shall specify so much of it as true and qualify or deny the remainder. An answering party may give lack of information or knowledge as a reason for failure to admit or deny if such party states that the party has made reasonable inquiry and the information known or readily obtainable by the party is insufficient to enable the party to admit or deny. A party who considers that a matter of which an admission has been requested presents a genuine issue for trial may not, on that ground alone, object to the request; such party may deny the matter, subject to the provisions of Rule 61.01(c), or set forth reasons why the party cannot admit or deny it.
The party who has requested the admissions may move to have determined the sufficiency of the answers or objections. Unless the court determines that an objection is proper, it shall order that an answer be served. If the court determines that an answer does not comply with the requirements of this Rule 59.01, it may order either that the matter is admitted or that an amended answer be served. The provisions of Rule 61.01(c) apply to the award of expenses incurred in relation to the motion. Rule 59.01(a)
Filing Request and Responses. The request and response thereto shall not be filed with the court except upon court order or contemporaneously with a motion placing the request in issue. However, both when the request and the response are served the party serving them shall file with the court a certificate of service. Each party filing a certificate shall maintain a copy of the document that is the subject of the certificate until the case is finally disposed. Rule 59.01(b)
Compel Discovery
Failure to Act Evasive or Incomplete Answers. Any failure to act described in this Rule may not be excused on the ground that the discovery sought is objectionable unless the party failing to act has filed timely objections to the discovery request or has applied for a protective order as provided by Rule 56.01(c).
For the purpose of this Rule, an evasive or incomplete answer is to be treated as a failure to answer. 61.01(a)
Failure to Answer Interrogatories. If a party fails to answer interrogatories or file objections thereto within the time provided by law, or if objections are filed thereto which are thereafter overruled and the interrogatories are not timely answered, the court may, upon motion and reasonable notice to other parties, make such orders in regard to the failure as are just and among others the following:
(1) An order striking pleadings or parts thereof, or dismissing the action or proceeding or any part thereof, or render a judgment by default against the disobedient party.
(2) Upon the showing of reasonable excuse, the court may grant the
party failing to answer the interrogatories additional time to file answers
but such order shall provide that if the party fails to answer the interrogatories
within the additional time allowed, the pleadings of such party shall be
stricken or the action be dismissed or that a default judgment shall be
rendered against the disobedient party.
Rule 61.01(b)
Failure to Answer Request for Admissions. If a party, after being served with a request to admit the genuineness of any relevant documents or the truth of any relevant and material matters of fact, fails to file answers or objections thereto, as required by Rule 59.01, the genuineness of any relevant documents or the truth of any relevant and material matters of fact contained in the request for admissions shall be taken as admitted. If a party fails to admit the genuineness of any document or the truth of any matter as requested under Rule 59.01, and if the party requesting the admissions thereafter proves the genuineness of the document or the truth of the matter, the party requesting the admissions may apply to the court for an order requiring the other party to pay the reasonable expenses incurred in making that proof, including reasonable attorney's fees. The court shall make the order unless it finds that: (1) the request was held objectionable pursuant to Rule 59.01, (2) the admission sought was of no substantial importance, (3) the party failing to admit had reasonable grounds to believe that such party might prevail on the matter, or (4) there was other good reason for the failure to admit. Rule 61.01(c)
Failure to Produce Documents, and Things or to Permit Inspection. If a party fails to respond that inspection will be permitted as requested, fails to permit inspection, or fails to produce documents and tangible things as requested under Rule 58.01, or timely files objections thereto that are thereafter overruled and the documents and things are not timely produced or inspection thereafter is not timely permitted, the court may, upon motion and reasonable notice to other parties, make such orders in regard to the failure as are just and among others the following:
(1) An order refusing to allow the disobedient party to support or oppose designated claims or defenses or prohibit the disobedient party from introducing designated matters in evidence.
(2) An order striking pleadings or parts thereof or staying further proceedings until the order is obeyed or dismissing the action or proceeding or any part thereof or, rendering a judgment by default against the disobedient party.
(3) An order treating as a contempt of court the failure to obey.
(4) An order requiring the party failing to obey the order or the attorney advising the party or both to pay the reasonable expenses, including attorney's fees, caused by the failure, unless the court finds that the failure was substantially justified or that other circumstances make an award of expenses unjust. Rule 61.01(d)
Failure to Appear for Physical Examination. If a party fails to obey an order directing a physical or mental or blood examination under Rule 60.01, the court may, upon motion and reasonable notice to the other parties and all persons affected thereby, make such orders in regard to the failure as are just, and among others, it may take any action authorized under Rules 61.01(d)(1), (2), and (4). Where a party has failed to comply with an order requiring the production of another for examination, the court may enter such orders as are authorized by this Rule 61.01, unless the party failing to comply shows an inability to produce such person for examination. Rule 61.01(e)
Failure to Attend Own Deposition. If a party or an officer, director or managing agent of a party or a person designated under Rules 57.03(b)(4) and 57.04(a), to testify on behalf of a party, fails to appear before the officer who is to take his deposition, after being served with notice, the court may, upon motion and reasonable notice to the other parties and all persons affected thereby, make such orders in regard to the failure as are just and among others, it may take any action authorized under paragraphs (1), (2), (3) and (4) of subdivision (d) of this Rule. Rule 61.01(f)
Failure to Answer Questions on Deposition. If a witness fails or refuses to testify in response to questions propounded on deposition, the proponent of the question may move for an order compelling an answer. The proponent of the question may complete or adjourn the deposition examination before applying for an order. In ruling upon the motion, the court may make such protective order as it would have been empowered to make on a motion pursuant to Rule 56.01(c). Rule 61.01(g)
Domestic Actions Discovery Notes
If you require extra time to respond to discovery, you should ask the other side for an extension in writing. It may also be necessary to enter an order granting the extension to protect your rights.
Discovery questions are limited in number so select the most important questions to ask the other side. Don't waste your requests writing questions that you already know the answer to.
Definitions
Discovery: A procedure designed to allow disclosure of information between Plaintiffs and Defendants. Written questions, oral questioning, document production and admissions requests are generally allowed. Discovery was designed to to prevent trial by ambush.
Interrogatories: Written questions from Plaintiff to Defendant, or from Defendant to Plaintiff. The questions are mailed to the Plaintiff, Defendant or the attorney for response in writing. The answers or responses are usually due between 20-30 days.
Deposition: A procedure where verbal questions are asked a Plaintiff or Defendant for immediate response. Depositions are usually recorded by a court reporter, who swears the person to tell the truth before questioning begins.
Production of Documents: The method of obtaining documents from the other party relevant to the case such as all documents a party intends to introduce at trial.
Requests for Admissions: Written questions where you request the other party to admit or deny some relevant fact.
Objections: Objections may be made to all discovery questions if the questions are not relevant, or likely to lead to the discovery of relevant evidence.
Civil Procedure Rules: Virtually all states have adopted a version of civil procedure rules which include rules dealing with discovery.
Missouri Rules of Civil Procedure
Missouri has adopted the Missouri Rules of Civil Procedure which contain rules governing discovery. The discovery rules also apply in divorce actions.
Discovery Methods: Parties may obtain discovery by one or more of the following methods: depositions upon oral examination or written questions; written interrogatories; production of documents or things or permission to enter upon land or other property, for inspection and other purposes; physical and mental examinations; and requests for admission.Rule 56.01(a)
Scope: Unless otherwise limited by order of the Court in accordance with these rules, the scope of discovery is as follows:
(1) In General. Parties may obtain discovery regarding any matter, not privileged, which is relevant to the subject matter involved in the pending action, whether it relates to the claim or defense of the party seeking discovery or to the claim or defense of any other party, including the existence, description, nature, custody, condition and location of any books, documents or other tangible things and the identity and location of persons having knowledge of any discoverable matter. It is not ground for objection that the information sought will be inadmissible at the trial if the information sought appears reasonably calculated to lead to the discovery of admissible evidence. Rule 56.01(b)
Experts: Discovery of facts known and opinions held by experts, otherwise discoverable under the provisions of Rule 56.01(b)(1) and acquired or developed in anticipation of litigation or for trial, may be obtained only as follows:
(a) A party may through interrogatories require any other party to identify each person whom the other party expects to call as an expert witness at trial by providing such expert's name, address, occupation, place of employment and qualifications to give an opinion, or if such information is available on the expert's curriculum vitae, such curriculum vitae may be attached to the interrogatory answers as a full response to such interrogatory, and to state the general nature of the subject matter on which the expert is expected to testify, and the expert's hourly deposition fee.
A party may discover by deposition the facts and opinions to which the expert is expected to testify. Unless manifest injustice would result, the court shall require that the party seeking discovery from an expert pay the expert a reasonable hourly fee for the time such expert is deposed. Rule 56.01(b)(4)
Sequence and Timing of Discovery: Unless the court upon motion, for the convenience of parties and witnesses and in the interests of justice, orders otherwise, methods of discovery may be used in any sequence and the fact that a party is conducting discovery, whether by deposition or otherwise, shall not operate to delay any other party's discovery. Rule 56.01(d)
Supplementation of Responses: A party who has responded to written interrogatories with a response that was complete when made is under no duty to supplement the response to include information thereafter acquired, except as follows:
(1) A party is under a duty seasonably to supplement the response with respect to any question directly addressed to (A) the identity and location of persons having knowledge of discoverable matters and (B) the identity of each person expected to be called as an expert witness at trial and the general nature of the subject matter on which the expert is expected to testify.
(2) A party is under a duty to amend a prior response seasonably if the party obtains information upon the basis of which the party knows that the response (A) was incorrect when made or (B) though correct when made is no longer true.
(3) A duty to supplement responses other than those specified in Rule 56.01(e)(1) or Rule 56.01(e)(2) may be imposed by order of the court, agreement of the parties, or at any time prior to trial through new requests for supplementation of prior responses. Rule 56.01(e)
Before Whom Depositions May Be Taken: Unless the court orders otherwise, the parties may by written stipulation (1) provide that depositions may be taken before any person at any time or place, upon any notice, and in any manner and when so taken may be used like other depositions, and (2) modify the procedures provided by these Rules for other methods of discovery. Any stipulation under subdivision (2) shall be filed. Rule 56.01(f)
Depositions
Depositions Upon Oral Examination: When Depositions May Be Taken. After commencement of the action, any party may take the testimony of any person, including a party, by deposition upon oral examination. Leave of court, granted with or without notice, must be obtained only if the plaintiff seeks to take a deposition prior to the expiration of 30 days after service of the summons and petition upon any defendant, except that leave is not required if a defendant has served a notice of taking deposition or otherwise sought discovery. The attendance of witnesses may be compelled by subpoena as provided in Rule 57.09. The attendance of a party is compelled by notice as provided in subdivision (b) of this Rule. The deposition of a person confined in prison may be taken only by leave of court on such terms as the court describes. Rule 57.03(a)
Notice of Examination: General Requirements; Special
Notice; Production of Documents and Things; Deposition of Organization.
(1) A party desiring to take the deposition of any person upon oral examination
shall give not less than seven days notice in writing to every other party
to the action. The notice shall state the time and place for taking the
deposition and the name and address of each person to be examined, if known,
and, if the name is not known, a general description sufficient to identify
the person or the particular class or group to which the person belongs.
If a subpoena duces tecum is to be served on the person to be examined,
the designation of the materials to be produced as set forth in the subpoena
shall be attached to or included in the notice. A party may attend a deposition
by telephone.
(2) The court may for cause shown enlarge or shorten the time for
taking the deposition.
(3) The notice to a party deponent may be accompanied by a request
made in compliance with Rule 58.01 for the production of documents and
tangible things at the taking of the deposition. The procedure of Rule
58.01 shall apply to the request.
(4) A party may in the notice and in a subpoena name as the deponent a public or private corporation or a partnership or association or governmental agency and describe with reasonable particularity the matters on which examination is requested. In that event, the organization so named shall designate one or more officers, directors, or managing agents, or other persons who consent to testify on its behalf and may set forth, for each person designated, the matters on which the person will testify. A subpoena shall advise a nonparty organization of its duty to make such a designation. The persons so designated shall testify as to matters known or reasonably available to the organization. This Rule 57.03(b)(4) does not preclude taking a deposition by any other procedure authorized in these rules.
(5) When the party causing a deposition or depositions to be taken under a notice shall have completed the taking thereof, any other party may, before the same or any other officer authorized to take depositions, and at the same place, proceed immediately, or on the next day, to take any depositions the party may desire to be taken in the civil action, and may continue the taking thereof from day to day, at said place, until the party shall have taken all the party desires; but to do so, the party shall, before or during the time of the taking of the depositions on behalf of the other party, give all other parties, or the attorneys representing them, notice in writing of the intention to do so, the name and address of each person to be examined, if known, and, if the name is not known, a general description sufficient to identify the person or the particular class or group to which the person belongs. If a subpoena duces tecum is to be served on the person to be examined, the designation of the materials to be produced as set forth in the subpoena shall be attached to or included in the notice. Rule 57.03(b)
Non-stenographic Recording Video Tape. Depositions may be recorded by the use of video tape or similar methods. The recording of the deposition by video tape shall be in addition to a usual recording and transcription method unless the parties otherwise agree.
(1) If the deposition is to be recorded by video tape, every notice
or subpoena for the taking of the deposition shall state that it is to
be video taped and shall state the name, address and employer of the recording
technician. If a party upon whom notice for the taking of a deposition
has been served desires to have the testimony additionally recorded by
other than stenographic means, that party shall serve notice on the opposing
party and the witness that the proceedings are to be video taped. Such
notice must be served not less than three days prior to the date designated
in the original notice for the taking of the depositions and shall state
the name, address and employer of the recording technician.
(2) Where the deposition has been recorded only by video tape and if the witness and parties do not waive signature, a written transcription of the audio shall be prepared to be submitted to the witness for signature as provided in Rule 57.03(f).
(3) The witness being deposed shall be sworn as a witness on camera by an authorized person.
(4) More than one camera may be used, either in sequence or simultaneously.
(5) The attorney for the party requesting the video taping of the
deposition shall take custody of and be responsible for the safeguarding
of the video tape and shall, upon request, permit the viewing thereof by
the opposing party and if requested, shall provide a copy of the video
tape at the cost of the requesting party.
(6) Unless otherwise stipulated to by the parties, the expense of video taping is to be borne by the party utilizing it and shall not be taxed as costs. Rule 57.03(c)
Record of Examination; Oath; Objections. The officer before whom
the deposition is to be taken shall put the witness on oath or affirmation
and shall personally, or by someone acting under the officer's direction
and in the officer's presence, record the testimony of the witness. The
testimony shall be taken stenographically or recorded by any other means
ordered in accordance with Rule 57.03(c). If requested by one of the parties,
the testimony shall be transcribed.
All objections made at the time of the examination to the qualifications of the officer taking the deposition, to the manner of taking it, to the evidence presented, to the conduct of any party, or any other objection to the proceedings shall be noted by the officer upon the deposition. Evidence objected to shall be taken subject to the objections. In lieu of participating in the oral examination, parties may serve written questions in a sealed envelope on the party taking the deposition, and that party shall transmit them to the officer before whom the deposition is to be taken, who shall propound them to the witness, and the questions and answers thereto shall be recorded. Rule 57.03(d)
Motion to Terminate or Limit Examination. At any time during the taking of the deposition, on motion of a party or of the deponent and upon a showing that the examination is being conducted in bad faith or in such manner as unreasonably to annoy, embarrass, or oppress the deponent or party, the court in which the action is pending or a court having general jurisdiction in the place where the deposition is being taken may order the officer conducting the examination to cease forthwith from taking the deposition, or may limit the scope and manner of the taking of the deposition as provided in Rule 56.01(c). If the order made terminates the examination, it shall be resumed thereafter only upon the order of the court in which the action is pending. Upon demand of the objecting party or deponent, the taking of the deposition shall be suspended for the time necessary to make a motion for an order. The provisions of Rule 61.01(g) apply to the award of expenses incurred in relation to the motion. Rule 57.03(e)
Depositions Upon Oral Examination: Serving Questions; Notice. After commencement of the action, any party may take the testimony of any person, including a party, by deposition upon written questions. The attendance of witnesses may be compelled by the use of subpoena as provided in Rule 57.09. The deposition of a person confined in prison may be taken only by leave of court on such terms as the court prescribes.
A party desiring to take a deposition upon written questions shall serve them upon every other party with a notice stating: (1) the name and address of the person who is to answer them, if known, and if the name is not known, a general description sufficient to identify the person or the particular class or group to which the person belongs and (2) the name or descriptive title and address of the officer before whom the deposition is to be taken. A deposition upon written questions may be taken of a public or private corporation or a partnership or association or governmental agency in accordance with the provisions of Rule 57.03(b)(4). Rule 57.04(a)
Interrogatories
Availability; Procedures for Use. Any party may serve upon any other party written interrogatories. The interrogatories shall be answered by:
(1) The party served, or
(2) If the party served is a public or private corporation or a partnership or association or governmental agency, by any officer or agent.
The party answering the interrogatory shall furnish such information as is available to the party. Interrogatories may, without leave of court, be served upon:
(1) The plaintiff after commencement of the action, and
(2) Any other party with or after service of the summons and petition upon that party.
At the time the party who is to answer the interrogatories is served, the interrogating party also shall serve a copy, with a notice stating the name and address of the party who is to answer, upon each additional party, if any.
Each interrogatory shall be answered separately and fully in writing under oath, unless it is objected to. If the interrogatory is objected to, the reasons for objection shall be stated in detail in lieu of an answer.
The answers are to be signed by the person making them. The objections are to be signed by:
(1) The attorney making them, or
(2) If the party is not represented by an attorney, by the party.
The party upon whom the interrogatories have been served shall serve a copy of the answer and objections, if any, upon:
(1) The interrogating party, and
(2) Each additional party, if any.
A defendant may serve answers or objections within forty-five days after service of the summons and petition upon that defendant. For all other parties, the answer and objections shall be served within thirty days after the service of the interrogatories. The court may allow a shorter or longer time.
The party submitting the interrogatory may move for an order under Rule 61.01(b) with respect to any objection to or other failure to answer an interrogatory. Rule 57.01(a)
Interrogatories and answers under this Rule 57.01 shall not be filed with the court except upon court order or contemporaneously with a motion placing the interrogatories in issue. However, both when the interrogatories and answers are served, the party serving them shall file with the court a certificate of service. The certificate shall show the caption of the case, the name of the party served, the date and manner of service, the designation of the document, e.g., first interrogatories or answers to second interrogatories, and the signature of the serving party or attorney. The answers bearing the original signature of the party answering the interrogatories shall be served on the party that submitted the interrogatories who shall be the custodian thereof until the entire case is finally disposed. Copies of interrogatory answers may be used in all court proceedings to the same extent the original answers may be used. Rule 57.01(b)
Interrogatories may relate to any matters which can be inquired into under Rule 56.01, and the answers may be used to the extent permitted by the rules of evidence.
An interrogatory otherwise proper is not necessarily objectionable merely because an answer to the interrogatory involves an opinion or contention that relates to fact or the application of law to fact, but the court may order that such an interrogatory need not be answered until after designated discovery has been completed or until a pretrial conference or other later time. Rule 57.01(c)
Production
Any party may serve on any other party a request (1) to produce and permit the party making the request, or someone acting on his behalf, to inspect and copy, any designated documents (including writings, drawings, graphs, charts, photographs, phono records, and other data compilations from which information can be obtained, translated, if necessary, by the respondent through detection devices into reasonably usable form), or to inspect and copy, test, or sample any tangible things which constitute or contain matters within the scope of Rule 56.01(b) and which are in the possession, custody or control of the party upon whom the request is served; or (2) to permit entry upon designated land or other property in the possession or control of the party upon whom the request is served for the purpose of inspection and measuring, surveying, and photographing, testing, or sampling the property or any designated object or operation thereon, within the scope of Rule 56.01(b). Rule 58.01(a)
The request may be served upon the plaintiff without leave of court after commencement of the action and upon any other party with or after service of the summons and petition upon that party. At the time of such service, the requesting party also shall serve a copy, along with a notice stating the name and address of the party who is to respond, upon each additional party, if any. The request shall set forth the items to be inspected either by individual item or by category, and describe each item and category with reasonable particularity. The request shall specify a reasonable time, place and manner of making the inspection and performing the related acts.
The party upon whom the request is served shall serve a written response within thirty days after the service of the request, except that a defendant may serve a response within forty-five days after service of the summons and petition upon that defendant. The court may allow a longer or a shorter time. At the time of such service, the responding party shall serve a copy of such written responses upon each additional party, if any. The response shall state, with respect to each item or category, that inspection and related activities will be permitted as requested, unless the request is objected to, in which event the reasons for objection shall be stated. If objection is made to part of an item or category, the part shall be specified. The party submitting the request may move for an order under Rule 61.01 with respect to any objection to or other failure to respond to the request or any part thereof or any failure to permit inspection as requested. A party who produces documents for inspection shall produce them as they are kept in the usual course of business or shall organize and label them to correspond with the categories in the request. 58.01(b)
The request and responses thereto shall not be filed with the court except upon court order or contemporaneously with a motion placing the request in issue. However, both when the request and responses are served, the party serving them shall file with the court a certificate of service. The certificate shall show the caption of the case, the name of the party served, the date and manner of service, and the signature of the serving party or attorney. Each party filing a certificate shall maintain a copy of the document that is the subject of the certificate until the case is finally disposed. 58.01(c)
This Rule 58.01 does not preclude an independent action against a person not a party for production of documents and things and permission to enter upon land. 58.01(d)
Physical and Mental Examinations of Persons
Order for Examination. (1) In an action in which the mental condition, physical condition, or blood relationship of a party, or of an agent or a person in the custody or under the legal control of a party, is in controversy, the court in which the action is pending may order the party (i) to submit to physical, mental, or blood examinations by physicians or other appropriate licensed health care providers or (ii) to produce for such examinations such party's agent or the person in such party's custody or legal control.
(2) In any action in which the vocational ability of a party, or of an agent or a person in the custody or under the legal control of a party, is in controversy, the court in which the action is pending may order the party (i) to submit to evaluation by vocational rehabilitation professionals or (ii) to produce for such evaluation such party's agent or the person in such party's custody or legal control.
(3) Any order under this Rule 60.01(a) may be made only on motion for good cause shown, upon notice to the person against whom the order is sought and to all other parties. Such order shall specify the time, place, manner, conditions, scope of, and identity of each person conducting the examination or evaluation. The court may, as a condition of its order, require the party requesting the order to reimburse the person who is the subject of the order for that person's reasonable round trip expenses in traveling more than sixty miles from the place of residence to the place of examination or evaluation. Rule 60.01(a)
(1) If requested by the party against whom an order is made under Rule 60.01(a) or the person who is the subject of the order, the party obtaining the order shall deliver to the requesting person or party a copy of a detailed written report of the examiner or evaluator setting out the findings, including results of all tests made, diagnosis, and conclusions, together with like reports of all earlier examinations or evaluations of the same condition. After delivery, the party obtaining the order shall be entitled upon request to receive from the party against whom the order is made a like report of any examination or evaluation, previously or thereafter made, of the same condition, unless, in the case of a report of examination or evaluation of a person not a party, the party shows an inability to obtain it. The court on motion shall make an order against a party requiring delivery of a report on such terms as are just; if an examiner or evaluator fails or refuses to make a report, the court may exclude the examiner's or evaluator's testimony if offered at the trial.
(2) By requesting and obtaining a report of the examination or evaluation so ordered or by taking the deposition of the examiner or evaluator, the person examined or evaluated waives any privilege the person may have in that action, or any other involving the same controversy, regarding the testimony of every other person who has examined or evaluated or may thereafter examine or evaluate the person in respect of the same mental condition, physical condition, vocational ability, or blood relationship.
(3) This Rule 60.01(b) applies to examinations made by agreement of the parties, unless the agreement expressly provides otherwise, and does not preclude discovery of a report of or the taking of a deposition of the examiner or evaluator in accordance with the provisions of any other rule. Rule 60.01(b)
Requests for Admissions
Request for Admissions. After commencement of an action a party may serve upon any other party a written request for the admission, for purposes of the pending action only, of the truth of any matters within the scope of Rule 56.01(b) set forth in the request that relate to statements or opinions of fact or of the application of law to fact including the genuineness of any documents described in the request. A request may not be served upon a defendant until the expiration of thirty days after valid service of process upon the defendant. Copies of the documents shall be served with the request unless copies have already been furnished.
Each matter of which an admission is requested shall be separately set forth. The matter is admitted unless, within thirty days after service of the request, or within such shorter or a longer time as the court may allow, the party to whom the request is directed serves upon the party requesting the admission a written answer or objection addressed to the matter, signed by the party or by the party's attorney, but unless the court shortens the time, a defendant shall not be required to serve answers or objections before the expiration of sixty days after service of the summons and petition upon such defendant. If objection is made, the reasons therefor shall be stated. The answer shall specifically deny the matter or set forth in detail the reasons why the answering party cannot truthfully admit or deny the matter. A denial shall fairly meet the substance of the requested admission, and when good faith requires that a party qualify an answer or deny only a part of the matter of which an admission is requested, such party shall specify so much of it as true and qualify or deny the remainder. An answering party may give lack of information or knowledge as a reason for failure to admit or deny if such party states that the party has made reasonable inquiry and the information known or readily obtainable by the party is insufficient to enable the party to admit or deny. A party who considers that a matter of which an admission has been requested presents a genuine issue for trial may not, on that ground alone, object to the request; such party may deny the matter, subject to the provisions of Rule 61.01(c), or set forth reasons why the party cannot admit or deny it.
The party who has requested the admissions may move to have determined the sufficiency of the answers or objections. Unless the court determines that an objection is proper, it shall order that an answer be served. If the court determines that an answer does not comply with the requirements of this Rule 59.01, it may order either that the matter is admitted or that an amended answer be served. The provisions of Rule 61.01(c) apply to the award of expenses incurred in relation to the motion. Rule 59.01(a)
Filing Request and Responses. The request and response thereto shall not be filed with the court except upon court order or contemporaneously with a motion placing the request in issue. However, both when the request and the response are served the party serving them shall file with the court a certificate of service. Each party filing a certificate shall maintain a copy of the document that is the subject of the certificate until the case is finally disposed. Rule 59.01(b)
Compel Discovery
Failure to Act Evasive or Incomplete Answers. Any failure to act described in this Rule may not be excused on the ground that the discovery sought is objectionable unless the party failing to act has filed timely objections to the discovery request or has applied for a protective order as provided by Rule 56.01(c).
For the purpose of this Rule, an evasive or incomplete answer is to be treated as a failure to answer. 61.01(a)
Failure to Answer Interrogatories. If a party fails to answer interrogatories or file objections thereto within the time provided by law, or if objections are filed thereto which are thereafter overruled and the interrogatories are not timely answered, the court may, upon motion and reasonable notice to other parties, make such orders in regard to the failure as are just and among others the following:
(1) An order striking pleadings or parts thereof, or dismissing the action or proceeding or any part thereof, or render a judgment by default against the disobedient party.
(2) Upon the showing of reasonable excuse, the court may grant the
party failing to answer the interrogatories additional time to file answers
but such order shall provide that if the party fails to answer the interrogatories
within the additional time allowed, the pleadings of such party shall be
stricken or the action be dismissed or that a default judgment shall be
rendered against the disobedient party.
Rule 61.01(b)
Failure to Answer Request for Admissions. If a party, after being served with a request to admit the genuineness of any relevant documents or the truth of any relevant and material matters of fact, fails to file answers or objections thereto, as required by Rule 59.01, the genuineness of any relevant documents or the truth of any relevant and material matters of fact contained in the request for admissions shall be taken as admitted. If a party fails to admit the genuineness of any document or the truth of any matter as requested under Rule 59.01, and if the party requesting the admissions thereafter proves the genuineness of the document or the truth of the matter, the party requesting the admissions may apply to the court for an order requiring the other party to pay the reasonable expenses incurred in making that proof, including reasonable attorney's fees. The court shall make the order unless it finds that: (1) the request was held objectionable pursuant to Rule 59.01, (2) the admission sought was of no substantial importance, (3) the party failing to admit had reasonable grounds to believe that such party might prevail on the matter, or (4) there was other good reason for the failure to admit. Rule 61.01(c)
Failure to Produce Documents, and Things or to Permit Inspection. If a party fails to respond that inspection will be permitted as requested, fails to permit inspection, or fails to produce documents and tangible things as requested under Rule 58.01, or timely files objections thereto that are thereafter overruled and the documents and things are not timely produced or inspection thereafter is not timely permitted, the court may, upon motion and reasonable notice to other parties, make such orders in regard to the failure as are just and among others the following:
(1) An order refusing to allow the disobedient party to support or oppose designated claims or defenses or prohibit the disobedient party from introducing designated matters in evidence.
(2) An order striking pleadings or parts thereof or staying further proceedings until the order is obeyed or dismissing the action or proceeding or any part thereof or, rendering a judgment by default against the disobedient party.
(3) An order treating as a contempt of court the failure to obey.
(4) An order requiring the party failing to obey the order or the attorney advising the party or both to pay the reasonable expenses, including attorney's fees, caused by the failure, unless the court finds that the failure was substantially justified or that other circumstances make an award of expenses unjust. Rule 61.01(d)
Failure to Appear for Physical Examination. If a party fails to obey an order directing a physical or mental or blood examination under Rule 60.01, the court may, upon motion and reasonable notice to the other parties and all persons affected thereby, make such orders in regard to the failure as are just, and among others, it may take any action authorized under Rules 61.01(d)(1), (2), and (4). Where a party has failed to comply with an order requiring the production of another for examination, the court may enter such orders as are authorized by this Rule 61.01, unless the party failing to comply shows an inability to produce such person for examination. Rule 61.01(e)
Failure to Attend Own Deposition. If a party or an officer, director or managing agent of a party or a person designated under Rules 57.03(b)(4) and 57.04(a), to testify on behalf of a party, fails to appear before the officer who is to take his deposition, after being served with notice, the court may, upon motion and reasonable notice to the other parties and all persons affected thereby, make such orders in regard to the failure as are just and among others, it may take any action authorized under paragraphs (1), (2), (3) and (4) of subdivision (d) of this Rule. Rule 61.01(f)
Failure to Answer Questions on Deposition. If a witness fails or refuses to testify in response to questions propounded on deposition, the proponent of the question may move for an order compelling an answer. The proponent of the question may complete or adjourn the deposition examination before applying for an order. In ruling upon the motion, the court may make such protective order as it would have been empowered to make on a motion pursuant to Rule 56.01(c). Rule 61.01(g)
Domestic Actions Discovery Notes
If you require extra time to respond to discovery, you should ask the other side for an extension in writing. It may also be necessary to enter an order granting the extension to protect your rights.
Discovery questions are limited in number so select the most important questions to ask the other side. Don't waste your requests writing questions that you already know the answer to.