The Garnishment Disclosure form is a legal document that outlines the details of an individualâs earnings and property that may be subject to garnishment following a court judgment. This form serves a distinct purpose by specifically documenting personal property, indebtedness, and any exemptions related to the judgment debtor's finances. It is essential for accurately reporting the financial obligations and rights of both the garnishee and the judgment debtor, ensuring compliance with Minnesota statutes applicable to garnishment processes.
This form should be used in situations where a garnishee has received a summons regarding the garnishment of a judgment debtor's wages or property. It is necessary when processing court orders to ensure compliance with the law, document the financial state of the judgment debtor, and determine how much can be legally withheld from their earnings or property. Use this form whenever a judgment debtor's earnings or other assets are subject to garnishment proceedings.
This form does not typically require notarization to be legally valid. However, some jurisdictions or document types may still require it. US Legal Forms provides secure online notarization powered by Notarize, available 24/7 for added convenience.
Our built-in tools help you complete, sign, share, and store your documents in one place.
Make edits, fill in missing information, and update formatting in US Legal Forms—just like you would in MS Word.
Download a copy, print it, send it by email, or mail it via USPS—whatever works best for your next step.
Sign and collect signatures with our SignNow integration. Send to multiple recipients, set reminders, and more. Go Premium to unlock E-Sign.
If this form requires notarization, complete it online through a secure video call—no need to meet a notary in person or wait for an appointment.
We protect your documents and personal data by following strict security and privacy standards.

Make edits, fill in missing information, and update formatting in US Legal Forms—just like you would in MS Word.

Download a copy, print it, send it by email, or mail it via USPS—whatever works best for your next step.

Sign and collect signatures with our SignNow integration. Send to multiple recipients, set reminders, and more. Go Premium to unlock E-Sign.

If this form requires notarization, complete it online through a secure video call—no need to meet a notary in person or wait for an appointment.

We protect your documents and personal data by following strict security and privacy standards.
The purpose of disclosure in the context of garnishment is to provide transparency and protect debtors' rights. It ensures that individuals are fully informed about the garnishment process and the amounts involved. The Minnesota Garnishment Disclosure serves as a critical tool for individuals facing garnishment, allowing them to understand their options and make informed decisions. This clarity helps in managing financial obligations effectively.
The 181.79 law in Minnesota pertains to wage garnishment and protects a debtor's income from excessive garnishment. This law establishes maximum limits on how much can be withheld from wages. Understanding the Minnesota Garnishment Disclosure under this law helps you ensure that your rights are upheld during the garnishment process. Being informed allows you to take necessary actions if your rights are violated.
Filling out a challenge to garnishment form involves providing specific details about the garnishment you wish to contest. You must include your personal information, the name of the creditor, and the reasons for your challenge. Utilizing resources like US Legal Forms can simplify this process by providing templates and guidance tailored to the Minnesota Garnishment Disclosure requirements. Completing this form accurately increases your chances of a successful challenge.
Disclosure laws in Minnesota require creditors to inform debtors about the garnishment process and their rights. This includes providing clear information on the debt amount and the procedure for contesting the garnishment. The Minnesota Garnishment Disclosure ensures transparency and fairness in the collections process. Being aware of these laws can empower you to respond appropriately to any garnishment notices.
Garnishment rules in Minnesota stipulate how and when creditors can collect debts through wage garnishment. Generally, a creditor must obtain a court order before garnishing wages. The Minnesota Garnishment Disclosure outlines the limits on the amount that can be garnished, protecting a portion of your earnings. Familiarizing yourself with these rules can help you prepare for potential garnishment.
In Minnesota, the order for disclosure requires creditors to provide specific information regarding a garnishment. This includes details about the amount owed and the type of debt. Understanding the Minnesota Garnishment Disclosure process helps you know your rights and responsibilities. By navigating this process effectively, you can better manage your financial situation.
Generally, state laws don't require employers to notify you in advance before garnishing wages. Nor are they required to give you a period of time to dispute the debt or garnishment. However, your employer should, as a courtesy, provide you with a copy of the notice.
You have some rights in the wage garnishment process, but in most states, it's your responsibility to be aware of and exercise these rights. You have to be legally notified of the garnishment. You can file a dispute if the notice has inaccurate information or you believe you don't owe the debt.
A creditor starts the garnishment process by serving a legal documentcalled a garnishment summonson the third party (called the garnishee) who the creditor believes to have money or property belonging to the debtor.
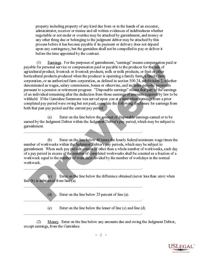
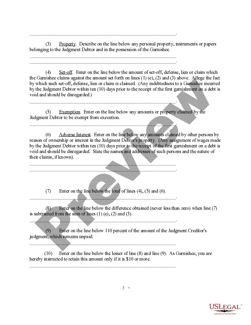
What Happens When a Garnishment Summons Is Served?In the case of a nonearnings garnishment, the garnishee must provide a written disclosure to the creditor within 20 days after service of the garnishment summons that identifies all indebtedness, money, or property that the garnishee owes to the debtor.