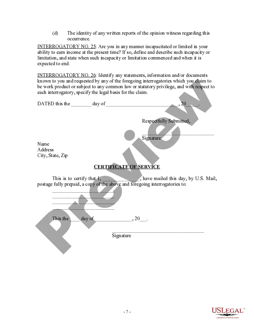
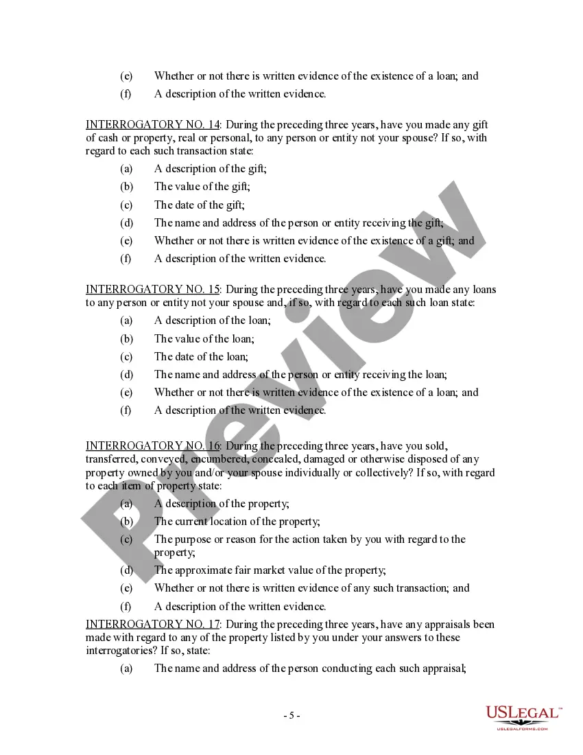
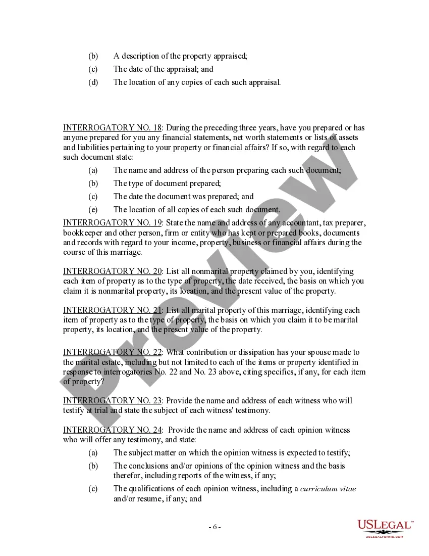
The Discovery Interrogatories for Divorce Proceeding is a legal form designed for divorce cases, enabling either the Plaintiff or Defendant to ask formal questions about financial and property matters. It includes a comprehensive set of questions aimed at uncovering relevant information during discovery. This form differs from other divorce-related forms by specifically focusing on interrogatories, which are a method of gathering facts and details that may inform the court's decisions.
This form should be used during a divorce proceeding when it is necessary to obtain detailed information from the opposing party. It is particularly useful when there are disputes regarding financial assets, debts, or personal property. Using this interrogatory form helps ensure transparency and can aid in equitable division of assets during the divorce process.
In most cases, this form does not require notarization. However, some jurisdictions or signing circumstances might. US Legal Forms offers online notarization powered by Notarize, accessible 24/7 for a quick, remote process.
Our built-in tools help you complete, sign, share, and store your documents in one place.
Make edits, fill in missing information, and update formatting in US Legal Forms—just like you would in MS Word.
Download a copy, print it, send it by email, or mail it via USPS—whatever works best for your next step.
Sign and collect signatures with our SignNow integration. Send to multiple recipients, set reminders, and more. Go Premium to unlock E-Sign.
If this form requires notarization, complete it online through a secure video call—no need to meet a notary in person or wait for an appointment.
We protect your documents and personal data by following strict security and privacy standards.

Make edits, fill in missing information, and update formatting in US Legal Forms—just like you would in MS Word.

Download a copy, print it, send it by email, or mail it via USPS—whatever works best for your next step.

Sign and collect signatures with our SignNow integration. Send to multiple recipients, set reminders, and more. Go Premium to unlock E-Sign.

If this form requires notarization, complete it online through a secure video call—no need to meet a notary in person or wait for an appointment.

We protect your documents and personal data by following strict security and privacy standards.
To properly answer interrogatories, respond truthfully and completely while staying on topic. Begin by carefully reading each interrogatory, then formulate clear, succinct answers based on your knowledge or available records. Remember, your responses could significantly impact your divorce proceeding, so ensure they align with the guidelines of Iowa Discovery Interrogatories for Divorce Proceeding for either Plaintiff or Defendant - Another Form.
Filling out form interrogatories involves understanding the specific questions required by Iowa law. Make sure to read each question carefully, providing clear and concise answers that directly respond to what is being asked. You can enhance your responses by utilizing Iowa Discovery Interrogatories for Divorce Proceeding for either Plaintiff or Defendant - Another Form to ensure compliance with legal standards.
An example of an interrogatory sentence could be, 'Please describe all financial accounts held in your name for the past five years.' This type of direct question is effective in eliciting detailed responses that contribute to uncovering facts relevant to your divorce proceeding. By utilizing Iowa Discovery Interrogatories for Divorce Proceeding for either Plaintiff or Defendant - Another Form, you can obtain necessary information to strengthen your case.
Interrogatories are a specific type of discovery tool used in divorce proceedings. While they are part of the broader discovery process, interrogatories are written questions that one party sends to the other to obtain information. Understanding this distinction helps you effectively use Iowa Discovery Interrogatories for Divorce Proceeding for either Plaintiff or Defendant - Another Form in your legal strategy.
Filling out an interrogatories form requires careful attention to detail. Begin by providing necessary case information, including the parties involved and the context of the divorce proceeding. Follow the prescribed format for each question, ensuring it aligns with the appropriate Iowa Discovery Interrogatories for Divorce Proceeding for either Plaintiff or Defendant - Another Form. Seek guidance from legal resources or professionals if you encounter uncertainties.
To write a good interrogatory for Iowa Discovery Interrogatories for Divorce Proceeding for either Plaintiff or Defendant - Another Form, focus on clarity and relevance. Make your questions specific, straightforward, and directly related to the case. Avoid overly complex language and define any terms that might be unclear. This ensures that the responses will provide useful information for your case.
Formatting answers to interrogatories involves clear organization and completeness. Responses should correspond directly to each interrogatory, referencing the question for clarity in Iowa Discovery Interrogatories for Divorce Proceeding for either Plaintiff or Defendant - Another Form. Participants must provide truthful and comprehensive answers, citing any supporting documents as necessary. Proper formatting ensures that the court and all parties involved easily understand the information presented.
When crafting interrogatories, aim to ask open-ended questions that elicit detailed answers. You may inquire about financial disclosures, child custody preferences, or asset distribution related to Iowa Discovery Interrogatories for Divorce Proceeding for either Plaintiff or Defendant - Another Form. Tailor each question to gather specific information that strengthens your position in the case. Always keep your questions relevant and purposeful.
Writing effective interrogatories requires clarity and precision. Focus on asking direct questions that pertain to relevant facts in your case involving Iowa Discovery Interrogatories for Divorce Proceeding for either Plaintiff or Defendant - Another Form. Use straightforward language and avoid ambiguous phrasing to ensure concise responses. This practice enhances the chances of receiving informative answers that can support your legal arguments.
The rule of 35 interrogatories limits the number of written questions that one party can send to another during the discovery phase of a divorce proceeding. In the context of Iowa Discovery Interrogatories for Divorce Proceeding for either Plaintiff or Defendant - Another Form, this rule ensures that processes remain efficient and fair. Each party may present up to 35 questions to gain necessary information. If you need additional interrogatories, you may need the court's permission.