West Virginia No-Fault Agreed Uncontested Divorce Package for Dissolution of Marriage for people with Minor Children
Divorce - State Law Summary - West Virginia
Notes: This section contains guidelines based on selected divorce statutes from West Virginia. Some may not be relevant to your case but are presented here as a general overview. The selections set out below are not intended to be an all-inclusive statement of statutes but rather contains commentary based on some selected statutes.
Grounds for Divorce
Grounds 1. and 2. are "no-fault" grounds. This means the fault of one party in destroying the marriage is not at issue.
1. Irreconcilable differences.
2. Spouses have been living separate and apart without cohabitation and without interruption for 1 year.
There are several other recognized grounds for divorce in West Virginia:
3. Adultery
4. Abandonment for 6 months
5. Addiction to alcohol and/or drugs
6. Confinement for incurable insanity for 3 years
7. Physical abuse or reasonable apprehension of physical abuse of a spouse or of a child
8. Conviction of a felony
9. Cruel and inhuman treatment
10. Willful neglect of a spouse or a child
11. Habitual drunkenness
48-5-201 - 48-5-209
Residency
At least one of the spouses must have been a resident of West Virginia for at least 1 year immediately prior to filing for divorce. However, if the marriage was performed in West Virginia and one spouse is a resident when filing there is no durational time limit. The case should be filed in the county in which the spouses last lived together, or the county where the defendant currently lives, or the county where the plaintiff lives if the defendant is a non-resident.
48-5-105
Legal Separation
An option for parties who do not desire a final divorce is to obtain a legal separation as recognized by West Virginia law. The grounds for legal separation are the same as for divorce. One of the spouses must have been a resident of West Virginia for at least 1 year prior to filing for legal separation.
48-4-102
Property Division
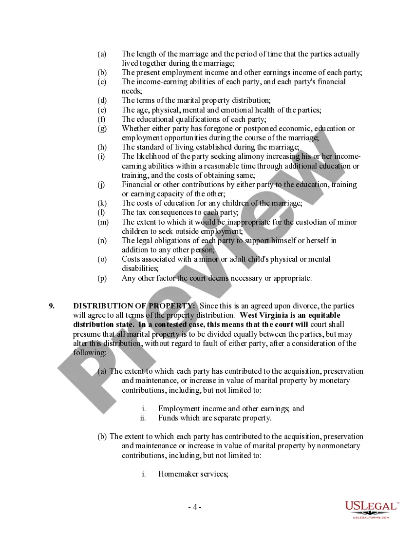
West Virginia is an "equitable distribution" state, generally meaning that all marital property acquired during the marriage is subject to division. Property brought into the marriage or property that a person had before the marriage is not subject to division in a divorce. To prove that you had property that should be considered non-marital property you need to show that you either owned it before marriage, it was a gift to you from someone besides your spouse and was only meant for you, and that you inherited it. The court will determine what is non-marital property before proceeding with the case.
Marital property, on the other hand, will be divided in just proportions, most likely equally. Even if one spouse stayed home and cared for the house and the children, most courts will consider that an equal contribution to the relationship and thus that spouse will be awarded an equal share of the property. It is best for you and your spouse to agree on which spouse takes what piece of property, it simplifies the entire process. If settlement is unlikely, you will need to determine the value of each and every piece of property that you own. If you do not agree with your spouse on the values a court appointed appraiser will have to value the goods, and it is likely that they will appraise it at an amount lower than you would like. All debts acquired during marriage will be considered marital property and should be distributed likewise.
The court may adjust the division of property based on the following factors:
1. The contribution of each spouse to the acquisition of the marital property, including the contribution of each spouse as homemaker and in child-care;
2. The value of each spouse's separate property;
3. The amount and sources of income of the spouses;
4. The conduct of the spouses during the marriage only as it relates to the disposition of their property;
5. The value of the labor performed in a family business or in the actual maintenance or improvement of tangible marital property;
6. The contribution of one spouse toward the education or training of the other which has increased the income-earning ability of the other spouse;
7. The foregoing by either spouse of employment or other income-earning activity through an understanding of the spouses or at the insistence of the other spouse;
8. Any other factor necessary to do equity and justice between the spouses.
48-5-601 - 48-5-613
Spousal Support (or "Alimony")
Alimony payments are designed to help with financial obligations of the receiving spouse and to maintain a similar lifestyle to that enjoyed during the marriage. The lifestyle can not remain exactly the same due to the paying spouse typically having to maintain two households for a period of time. Since a majority of spouses both work rewarding alimony is not extremely common although it does exist. Most of the time alimony is rewarded for a short period of time just to help the receiving spouse get on his or her feet again. This is known as rehabilitative alimony and can be used to finish a degree or get enough training so sufficient income can be earned on one's own accord.
The factors the court will consider are:
1. Whether the spouse seeking alimony is the custodian of a child whose condition or circumstances make it appropriate for that spouse not to seek outside employment;
2. The time and expense necessary to acquire sufficient education and training to enable the spouse to find appropriate employment, and that spouse's future earning capacity;
3. The duration of the marriage;
4. The comparative financial resources of the spouses, including their comparative earning abilities in the labor market;
5. The amount of time the spouses actually lived together as wife and husband;
6. The tax consequences to each spouse;
7. The age of the spouses;
8. The physical and emotional conditions of the spouses;
9. The vocational skills and employability of the spouse seeking alimony;
10. Any custodial and child support responsibilities;
11. The educational level of each spouse at the time of the marriage and at the time the action for divorce is commenced;
12. The cost of education of minor children and of health care for each spouse and the minor children;
13. The distribution of marital property;
14. Any legal obligations of the spouses to support themselves or others;
15. The present employment or other income of each spouse;
16. Any other factor the court deems just and equitable.
The marital misconduct of the spouses will be considered and compared. Alimony may be reduced or may not be awarded to any spouse who: (1) was adulterous; (2) has been convicted of a felony during the marriage; or (3) deserted or abandoned his or her spouse for 6 months. The court may require health and/or hospitalization insurance coverage as alimony.
48-5-601 - 48-5-613
Child Custody
Most parents agree about the custody, child support, and visitation issues relating to their children. Joint custody arrangements have become common place and in some states the "norm" in determining the care, custody and support of children. If the parents are unable to 'work it out', a judge will ultimately decide these issues for the parents. However, before a judge makes any final decision the parents will likely be sent to mandatory mediation to attempt to work out child custody and visitation between the two of them.
If a judge is forced to make custody decisions he or she will been to base the decision on genuine evidence, like medical opinions. The judge will also take into account history of child abuse and drug and alcohol addictions. Furthermore, the judge will consider and protective orders that have been issued to help determine what is in the best interest of the child. This is the ultimate factor that the court uses to determine the award of custody.
Either parent may be awarded custody. There is a presumption in favor of the parent who has been the primary caretaker of the child. There are no other factors for consideration specified in the statute. Furthermore, there is no specific statutory provision in West Virginia for joint custody.
Child Support
Child support is the amount that the court determines should be paid from the non-custodial parent to the custodial parent to help maintain the children until they reach age 18. Child support determinations can only be altered if there has been a substantial and significant change in the circumstances relating to the children.
Either parent may be required to provide periodic child support payments, including health insurance coverage. The following factors are specified in the statute are:
1. Whether the spouse seeking support is the custodian of a child whose condition or circumstances make it appropriate for that spouse not to seek outside employment;
2. The time and expense necessary to acquire sufficient education and training to enable the spouse to find appropriate employment, and that spouse's future earning capacity;
3. The duration of the marriage and the actual period of cohabitation as husband and wife;
4. The comparative financial resources of the spouses, including their comparative earning abilities in the labor market;
5. The needs and obligations of each spouse;
6. The tax consequences to each spouse;
7. The age of the spouses;
8. The physical and emotional conditions of the spouses;
9. The vocational skills and employability of the spouse seeking support and maintenance;
10. Any custodial responsibilities;
11. The educational level of each spouse at the time of the marriage and at the time the action for divorce is commenced;
12. The cost of education of minor children and of health care for each spouse and the minor children;
13. The distribution of marital property;
14. Any legal obligations of the spouses to support themselves or others;
15. Any other factor the court deems just and equitable.
In West Virginia one of the parents may also be granted exclusive use of the family home, and all of the goods and furniture necessary to help in the rearing of the children. The court may require many things including health and hospitalization insurance coverage as child support. Provisions for wage garnishment shall be included in every divorce decree to guarantee the support payments. Child support guidelines are available from the West Virginia Child Advocate Office. These guidelines are presumed to be correct, unless it is shown that the amount is unjust or inappropriate under the particular circumstances of a case.
48-11-101
Premarital Agreement
West Virginia's laws specifically allow the husband and wife to make contracts with each other and to be held liable for these contracts. The contract must be in writing and signed by the parties to be enforceable. The terms of the agreement are binding on the court unless if finds it unconscionable.
48-2-701