Wisconsin No-Fault Agreed Uncontested Divorce Package for Dissolution of Marriage for Persons with No Children with or without Property and Debts
            Divorce - State Law Summary - Wisconsin
Due to your request, some of the information provided applies to a contested, as well as an uncontested divorce in Wisconsin.
The only ground upon which divorce is granted in the State of Wisconsin is an irretrievable breakdown of the marriage of which there is no reasonable prospect of reconciliation. 767.35
Grounds
The only ground upon which divorce is granted in the State of Wisconsin is an irretrievable breakdown of the marriage of which there is no reasonable prospect of reconciliation.
Residency requirements
At least one of the parties to the divorce action must have resided in Wisconsin for at least six months and the county of filing for at least thirty days prior to the commencement of the action.
Where to File
The petition for divorce may be filed in the county where either spouse resides.
Name of Court and Title of Action/Parties
An action for divorce is filed in the Circuit Court. The title of the action initiating the divorce proceeding is a Petition, while the title of the order granting the divorce is the Decree. The party initiating the action is referred to as the Petitioner and the other party is the Respondent. If the action is filed jointly, both parties are referred to as Co-Petitioners.
Waiting Period
Wisconsin law provides that no divorce shall issue until 120 days have elapsed from either the time the defendant is served with the summons, or from the date of filing of a joint petition.
Legal Separation
Wisconsin permits a judgment of legal separation on the same grounds as for an action for divorce. 767.315
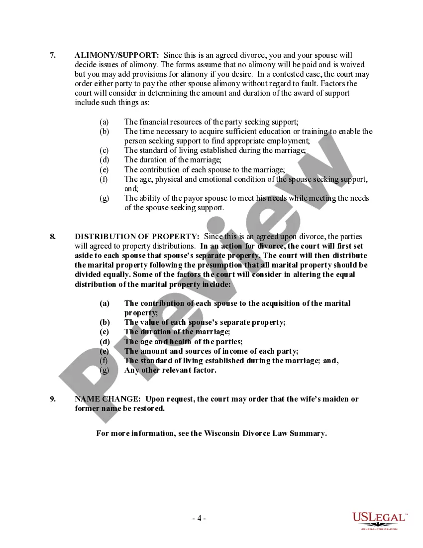
Alimony/Support
The court may order either party to pay the other spouse alimony without regard to fault. Factors the court will consider in determining the amount and duration of the award of support include such things as:
The length of the marriage.
The age and physical and emotional health of the parties.
The educational level of each party at the time of marriage and at the time the action is commenced.
The earning capacity of the party seeking maintenance, including educational background, training, employment skills, work experience, length of absence from the job market, custodial responsibilities for children and the time and expense necessary to acquire sufficient education or training to enable the party to find appropriate employment.
The feasibility that the party seeking maintenance can become self-supporting at a standard of living reasonably comparable to that enjoyed during the marriage, and, if so, the length of time necessary to achieve this goal.
The tax consequences to each party.
Any mutual agreement made by the parties before or during the marriage, according to the terms of which one party has made financial or service contributions to the other with the expectation of reciprocation or other compensation in the future, where such repayment has not been made, or any mutual agreement made by the parties before or during the marriage concerning any arrangement for the financial support of the parties.
The contribution by one party to the education, training or increased earning power of the other.
Such other factors as the court may in each individual case determine to be relevant. 767.501 - 767.59
Distribution of Property
In an action for divorce, the court will first set aside to each spouse that spouse's separate property. The court will then distribute the marital property following the presumption that all marital property should be divided equally. Some of the factors the court will consider in altering the equal distribution of the marital property include:
The length of the marriage.
The property brought to the marriage by each party.
Whether one of the parties has substantial assets not subject to division by the court.
The contribution of each party to the marriage, giving appropriate economic value to each party's contribution in homemaking and child care services.
The age and physical and emotional health of the parties.
The contribution by one party to the education, training or increased earning power of the other.
The earning capacity of each party, including educational background, training, employment skills, work experience, length of absence from the job market, custodial responsibilities for children and the time and expense necessary to acquire sufficient education or training to enable the party to become self-supporting at a standard of living reasonably comparable to that enjoyed during the marriage.
The desirability of awarding the family home or the right to live therein for a reasonable period to the party having physical placement for the greater period of time.
The amount and duration of an order granting maintenance payments to either party, any order for periodic family support payments and whether the property division is in lieu of such payments.
Other economic circumstances of each party, including pension benefits, vested or unvested, and future interests.
The tax consequences to each party.
Any written agreement made by the parties before or during the marriage concerning any arrangement for property distribution; such agreements shall be binding upon the court except that no such agreement shall be binding where the terms of the agreement are inequitable as to either party. The court shall presume any such agreement to be equitable as to both parties.
Such other factors as the court may in each individual case determine to be relevant. 767.61 - 767.63
Child Custody
The court will determine custody based upon the best interests of the child. It is presumed that joint custody is in the child's best interests. Some of the factors the court will consider in making the custody determination include:
The wishes of the child;
The wishes of the parents
The interaction of the child with his parents and siblings;
The child's adjustment to his home, school and community,
Whether one parent is likely to unreasonably interfere with the child's relationship with the other parent,and;
Any other relevant factor.
If custody is contested, the court will require each parent to submit a parenting plan providing the court details regarding such things as:
The type of custodial arrangement the parent is seeking
Where the parent currently lives and where that parent intends to live for the next two years
Where the parent works and hours of employment
Child care
The school the child will attend
Medical expenses
Visitation
Dispute resolution. 767.401 - 767.481
Grandparent/ Step-Parent Visitation
Upon petition by a grandparent, greatgrandparent, stepparent or person who has maintained a relationship similar to a parent-child relationship with the child, the court may grant reasonable visitation rights to that person if the parents have notice of the hearing and if the court determines that visitation is in the best interest of the child. 767.43
Child Support
Either or both parents may be required to pay an amount reasonable to support a child of the marriage. Wisconsin has established child support guidelines which serve as the presumed correct amount of support to be paid. Some of the factors the court will consider in deviating from the guidelines include:
The financial resources of the child;
The financial resources of the parents;
The financial needs of each party;
The standard of living the child would have enjoyed had the marriage continued;
The age, education, and physical and mental health of the child, and;
The child's educational needs.
The tax consequences to each party.
The best interests of the child.
The earning capacity of each parent, based on each parent's education, training and work experience and the availability of work in or near the parent's community.
Any other relevant factor. 767.501 - 767.59
Name change
Upon request, the court may order that the wife's maiden or former name be restored. 767.395