• US Legal Forms

South Carolina Interrogatories to Plaintiff for Motor Vehicle Occurrence

State:
South Carolina
Control #:
SC-221-MV
Format:
Word; 
Rich Text
Instant download

Description

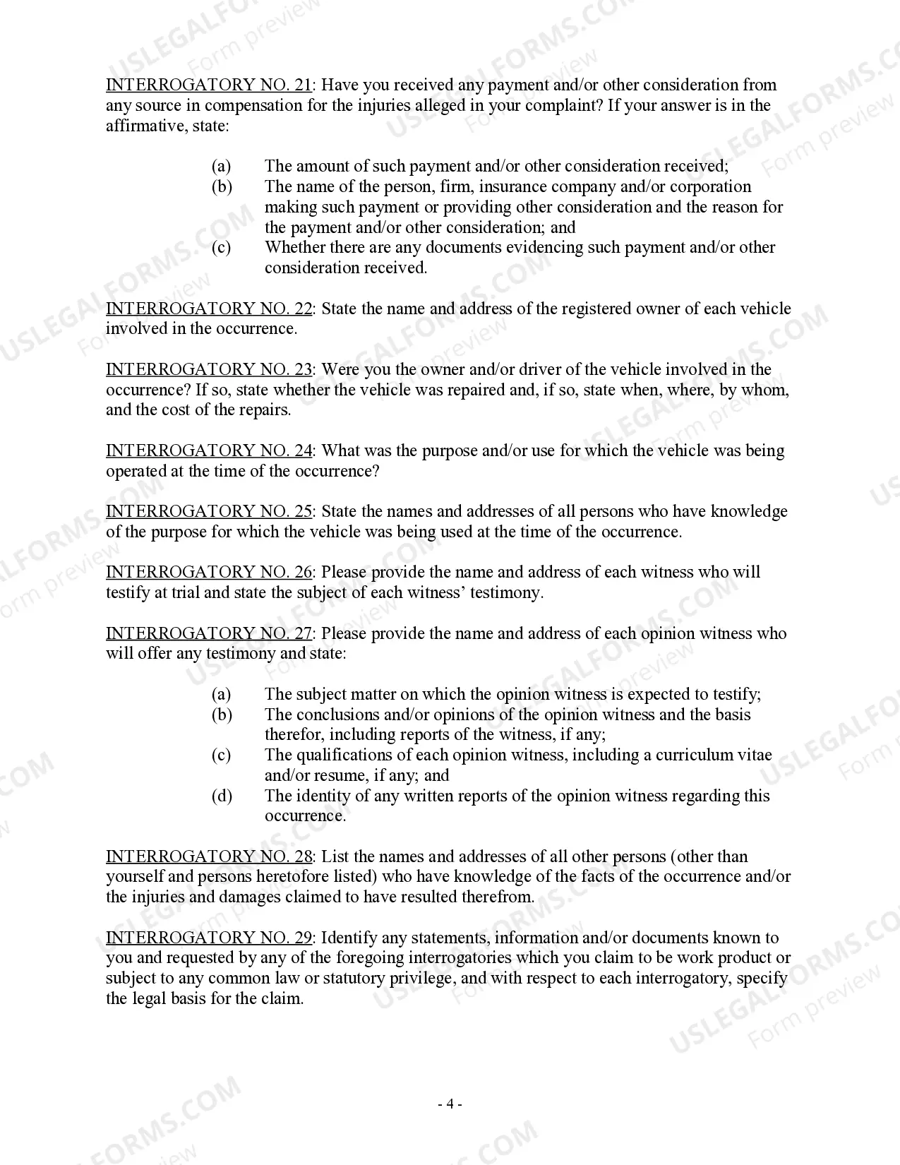
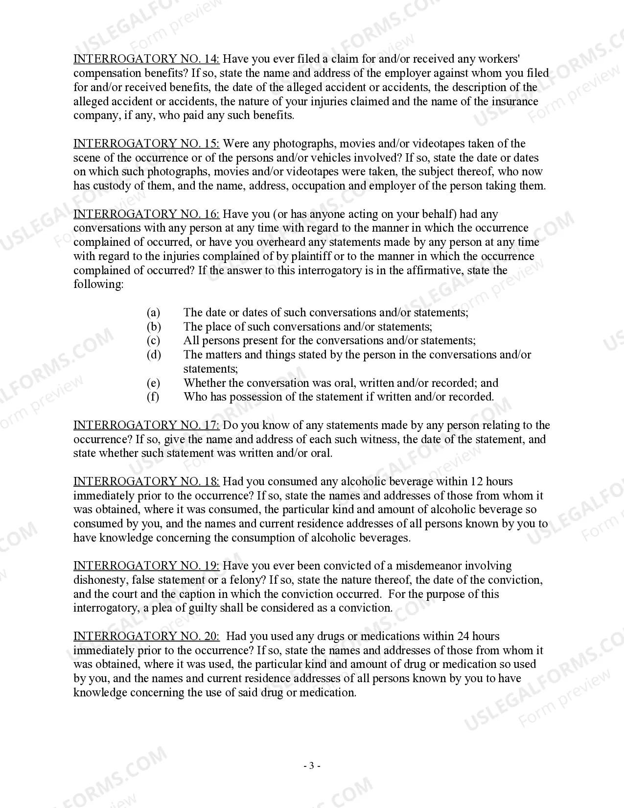
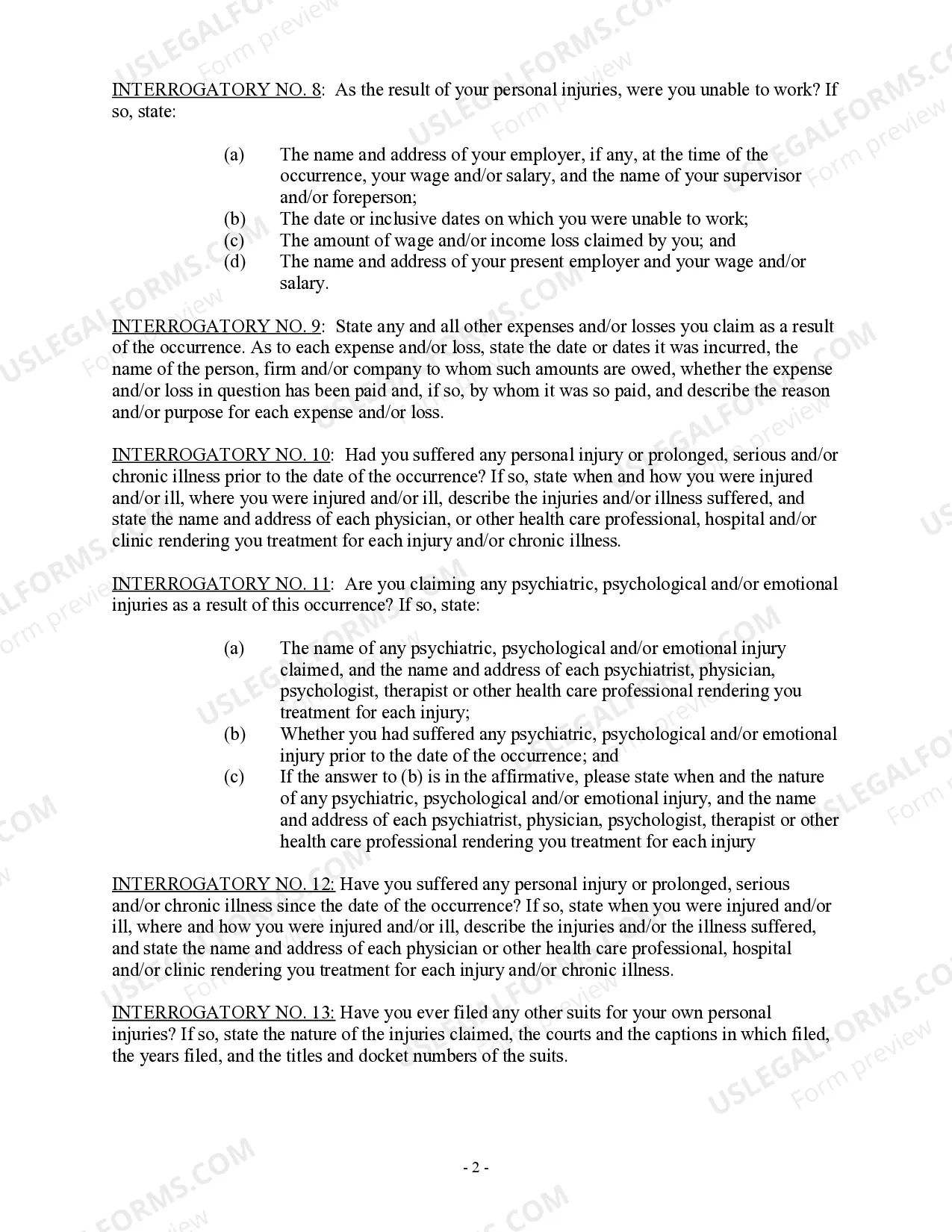
This is a sample set of 28 Interrogatories from Defendant to Plaintiff for use in connection with a vehicle incident, such as an automobile accident. You should only use this form as a guide and delete questions not relevant to your case, as well as add questions you or your client want to ask the Defendant based upon the facts of your case.
Free preview
  • Preview Interrogatories to Plaintiff for Motor Vehicle Occurrence
  • Preview Interrogatories to Plaintiff for Motor Vehicle Occurrence
  • Preview Interrogatories to Plaintiff for Motor Vehicle Occurrence
  • Preview Interrogatories to Plaintiff for Motor Vehicle Occurrence
  • Preview Interrogatories to Plaintiff for Motor Vehicle Occurrence

How to fill out South Carolina Interrogatories To Plaintiff For Motor Vehicle Occurrence?

The work with documents isn't the most uncomplicated process, especially for those who rarely deal with legal paperwork. That's why we advise utilizing accurate South Carolina Interrogatories to Plaintiff for Motor Vehicle Occurrence templates created by skilled lawyers. It gives you the ability to eliminate difficulties when in court or handling formal organizations. Find the templates you need on our website for top-quality forms and accurate descriptions.

If you’re a user having a US Legal Forms subscription, simply log in your account. When you are in, the Download button will immediately appear on the file webpage. Right after getting the sample, it’ll be saved in the My Forms menu.

Users with no a subscription can quickly get an account. Follow this brief step-by-step help guide to get your South Carolina Interrogatories to Plaintiff for Motor Vehicle Occurrence:

  1. Make certain that the form you found is eligible for use in the state it’s necessary in.
  2. Verify the document. Make use of the Preview feature or read its description (if readily available).
  3. Buy Now if this sample is what you need or go back to the Search field to get a different one.
  4. Select a suitable subscription and create your account.
  5. Utilize your PayPal or credit card to pay for the service.
  6. Download your document in a preferred format.

After doing these straightforward steps, you are able to fill out the form in a preferred editor. Check the completed information and consider asking a lawyer to examine your South Carolina Interrogatories to Plaintiff for Motor Vehicle Occurrence for correctness. With US Legal Forms, everything becomes much easier. Give it a try now!

Form popularity

FAQ

The plaintiff must respond by the deadline. There are different ways to make sure you get each kind of discovery if the plaintiff does not give it to you by the deadline. If the plaintiff does not respond to the court order, then you can file a Motion to Dismiss and you may win your case.

Motions to Compel If a party doesn't respond to interrogatories or requests for production, then the party seeking those answers must file a motion to compel with the court. If the court grants the motion to compel, then the party who objected or failed to answer must then do so.

So, can you refuse to answer interrogatories? The answer is, no, you may not. You must answer a Rule 33 interrogatory within 30 days of being served with it. That answer must either permit inspection of the requested information or object to the production of the information for a specific reason.

You must answer each interrogatory separately and fully in writing under oath, unless you object to it. You must explain why you object. You must sign your answers and objections.

If the plaintiff does not respond to the court order, then you can file a Motion to Dismiss and you may win your case. Send a final request. If they do not respond to the final request within 30 days you can send the court an application for entry of final judgment or dismissal.

Motions to Compel If a party doesn't respond to interrogatories or requests for production, then the party seeking those answers must file a motion to compel with the court. If the court grants the motion to compel, then the party who objected or failed to answer must then do so.

Your answers to the interrogatories should usually be short, clear, and direct and should answer only the question that is being asked. This is not the time to set out your entire case or defense to the other side. Take the time to make sure your answers are correct and truthful.

Interrogatories (Rule 33, SCRCP) in South Carolina There are eight standard interrogatories that you can ask in every case. If the case has more than $25,000 at stake or if it requests a declaratory judgment or injunctive relief from the court, then you can ask up to fifty more additional interrogatories.

Responding to Form InterrogatoriesAnswer each question, being careful to answer each subpart, if one exists. Read the question carefully, and answer only what it asks. You may attach exhibits, if necessary. The response must be verified, meaning you must swear that the responses given are true.

Trusted and secure by over 3 million people of the world’s leading companies

South Carolina Interrogatories to Plaintiff for Motor Vehicle Occurrence