The Plumbing Contract for Contractor is a legally binding agreement designed specifically for Plumbing Contractors and Property Owners. This contract outlines the terms of engagement for plumbing services, including payment arrangements, change orders, and responsibilities regarding permits and insurance. It provides clarity and protection for both parties throughout the project, ensuring compliance with the laws of New Jersey. Unlike generic contracts, this form includes provisions tailored to the unique aspects of plumbing work.
This contract should be used when a property owner hires a plumbing contractor for renovations, installations, or repairs involving plumbing systems. It is particularly useful when projects may involve varying costs, complex changes in scope, and require clear communication of expectations between both parties. This contract ensures all legal requirements are met during the project in New Jersey.
This form is suitable for:
This form usually doesn’t need to be notarized. However, local laws or specific transactions may require it. Our online notarization service, powered by Notarize, lets you complete it remotely through a secure video session, available 24/7.
Our built-in tools help you complete, sign, share, and store your documents in one place.
Make edits, fill in missing information, and update formatting in US Legal Forms—just like you would in MS Word.
Download a copy, print it, send it by email, or mail it via USPS—whatever works best for your next step.
Sign and collect signatures with our SignNow integration. Send to multiple recipients, set reminders, and more. Go Premium to unlock E-Sign.
If this form requires notarization, complete it online through a secure video call—no need to meet a notary in person or wait for an appointment.
We protect your documents and personal data by following strict security and privacy standards.

Make edits, fill in missing information, and update formatting in US Legal Forms—just like you would in MS Word.

Download a copy, print it, send it by email, or mail it via USPS—whatever works best for your next step.

Sign and collect signatures with our SignNow integration. Send to multiple recipients, set reminders, and more. Go Premium to unlock E-Sign.

If this form requires notarization, complete it online through a secure video call—no need to meet a notary in person or wait for an appointment.

We protect your documents and personal data by following strict security and privacy standards.
In New Jersey are authorized to alter, paint, remodel, repair, restore, renovate, move, modernize, or demolish any part of residential properties. This work includes patios, kitchens, cabinets, porches, doors, fences, bathrooms, garages, basements, and floor coverings.
Name of contractor and contact information. Name of homeowner and contact information. Describe property in legal terms. List attachments to the contract. The cost. Failure of homeowner to obtain financing. Description of the work and the completion date. Right to stop the project.
To do home construction and many types of substantial home repairs in New Jersey, an individual must be a licensed contractor. Obtaining an NJ contractor license requires the contractor to register with the New Jersey Division of Consumer Affairs, a process that involves multiple smaller steps.
Do You Need a License in New Jersey to Become a Handyman? New Jersey doesn't offer handyman licenses. However, handyman professionals must apply for a home improvement contractor license to perform any type of handyman work in New Jersey.
For most types of projects you hire an independent contractor (IC) to do, the law does not require you to put anything in writing. You can meet with the IC, agree on the terms of your arrangement, and have an oral contract or agreement that is legally binding. Just because you can doesn't mean you should, however.
Both parties should sign the contract, and both should be bound by the terms and conditions spelled out in the agreement. In general that means the contractor will be obliged to provide specified materials and to perform certain services for you. In turn, you will be required to pay for those goods and that labor.
Yes, absolutely. Starting work without a signed contract means that your position isn't clear, or even worse it's weak.It also means that the contract is legally enforceable and will be able to support you if you decide to take legal action.
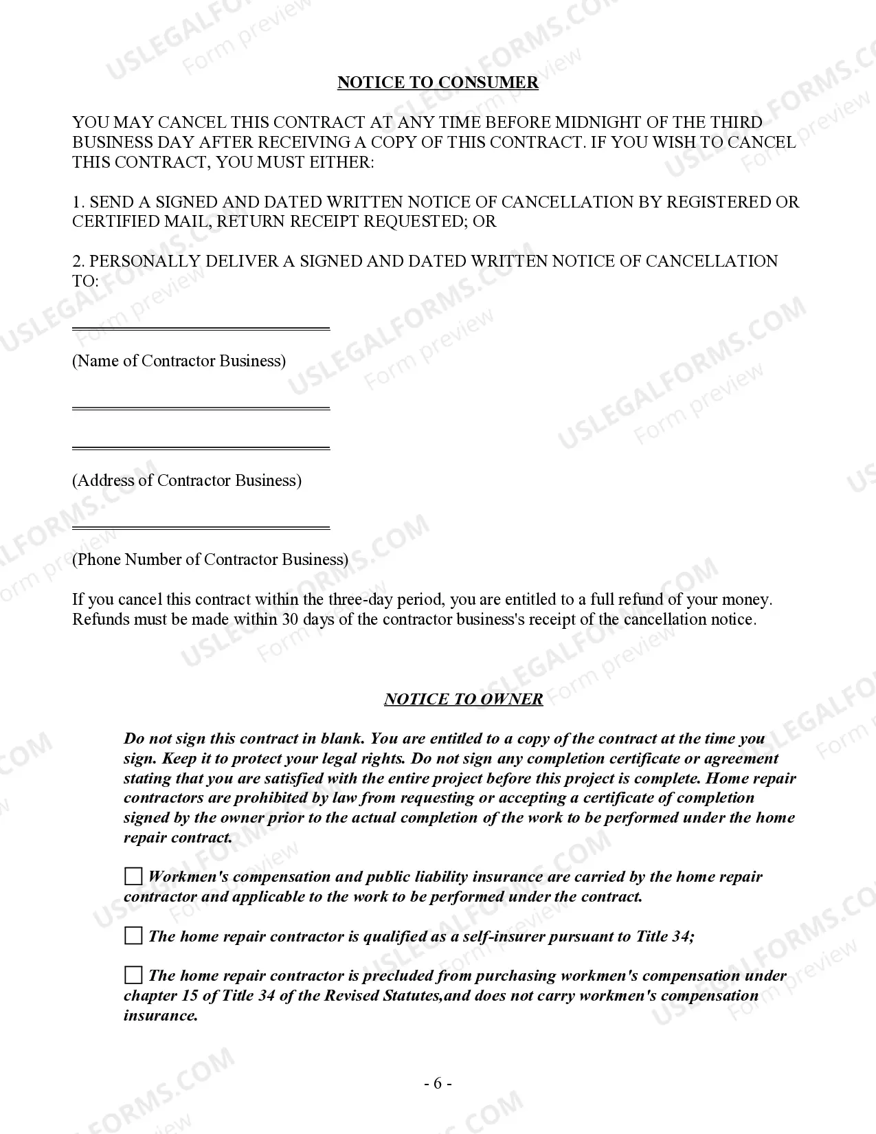
Homeowners who enter into contracts with contractors to improve, remodel or repair their homes almost always have a right to cancel the contract, without any penalty or obligation, within three business days after signing the contract.
If you run a small business that hires 1099 contractors, also known as independent contractors, it is vital that you have them sign an independent contractor contract. This is because there is a significant gray area between who is classified as an independent contractor and who is classified as an employee.