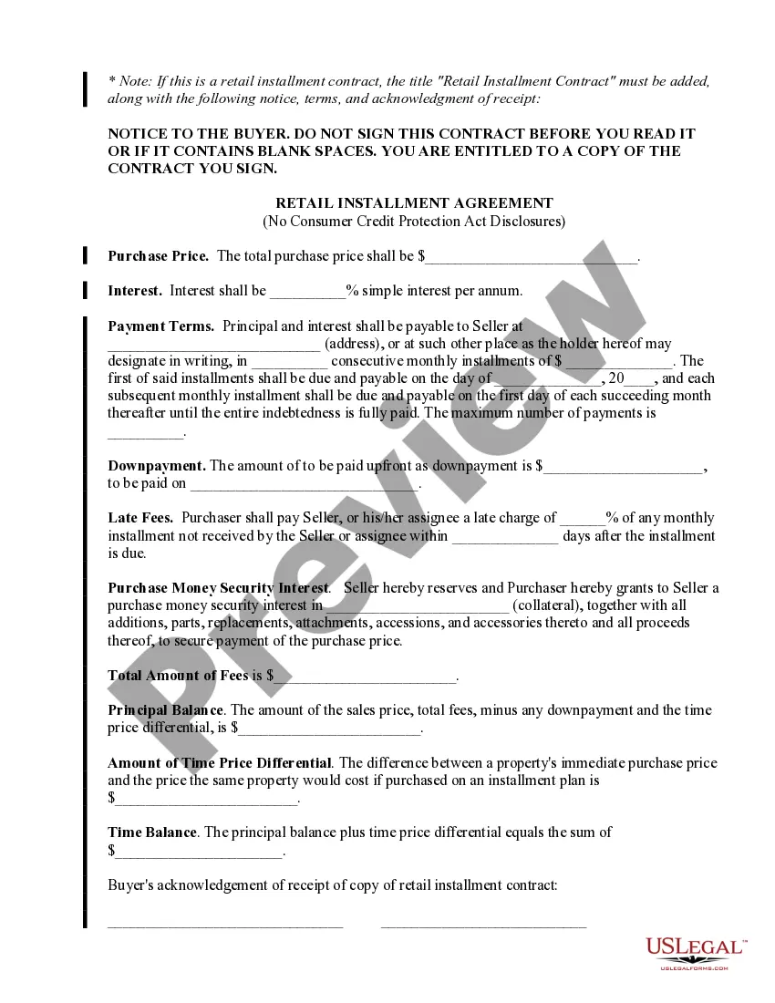
The Concrete Mason Contract for Contractor is a legal document used to establish a formal agreement between concrete mason contractors and property owners. This contract outlines the terms of work, payment arrangements (either cost plus or fixed fee), and key responsibilities of both parties, including change orders, site conditions, warranties, and insurance. It ensures compliance with Kentucky state laws, distinguishing it from other construction contracts by addressing specific requirements for concrete work.
This form is essential in scenarios where a property owner hires a concrete mason contractor for a specific project, such as paving, foundation work, or other concrete-related construction. It is needed when both parties wish to clearly define their rights and obligations to avoid disputes and ensure smooth project execution. This contract is particularly important for projects that may require changes or for those operating within specific regulatory frameworks in Kentucky.
This contract is suitable for:
To complete this form, follow these steps:
This form does not typically require notarization unless specified by local law. However, having the agreement notarized adds an extra layer of authenticity to the contract and may be advisable for reinforcing trust between parties.
Our built-in tools help you complete, sign, share, and store your documents in one place.
Make edits, fill in missing information, and update formatting in US Legal Forms—just like you would in MS Word.
Download a copy, print it, send it by email, or mail it via USPS—whatever works best for your next step.
Sign and collect signatures with our SignNow integration. Send to multiple recipients, set reminders, and more. Go Premium to unlock E-Sign.
If this form requires notarization, complete it online through a secure video call—no need to meet a notary in person or wait for an appointment.
We protect your documents and personal data by following strict security and privacy standards.

Make edits, fill in missing information, and update formatting in US Legal Forms—just like you would in MS Word.

Download a copy, print it, send it by email, or mail it via USPS—whatever works best for your next step.

Sign and collect signatures with our SignNow integration. Send to multiple recipients, set reminders, and more. Go Premium to unlock E-Sign.

If this form requires notarization, complete it online through a secure video call—no need to meet a notary in person or wait for an appointment.

We protect your documents and personal data by following strict security and privacy standards.
Get it in writing. Keep it simple. Deal with the right person. Identify each party correctly. Spell out all of the details. Specify payment obligations. Agree on circumstances that terminate the contract. Agree on a way to resolve disputes.
Identifying/Contact Information. Title and Description of the Project. Projected Timeline and Completion Date. Cost Estimate and Payment Schedule. Stop Work Clause and Stop Payment Clause. Act of God Clause. Change Order Agreement. Warranty.
Your general contractor should provide proof of licensing, bonding and insurance before a project starts, but it's better to have it in hand before you sign any contracts. It's important that contractors carry any licensing and/or certification required for the specific trade or skill they practice.
Name of contractor and contact information. Name of homeowner and contact information. Describe property in legal terms. List attachments to the contract. The cost. Failure of homeowner to obtain financing. Description of the work and the completion date. Right to stop the project.
An agreement between private parties creating mutual obligations enforceable by law. The basic elements required for the agreement to be a legally enforceable contract are: mutual assent, expressed by a valid offer and acceptance; adequate consideration; capacity; and legality.
An estimate should be the contractor's best professional assessment, including the cost of hiring any subcontractors, the price of materials, and any other labor involved.
Name of contractor and contact information. Name of homeowner and contact information. Describe property in legal terms. List attachments to the contract. The cost. Failure of homeowner to obtain financing. Description of the work and the completion date. Right to stop the project.
Timeframe or key milestones of the project; hours of work; deliverables of the project; and. way the business will pay the contractor for their services.
Get it in writing. Keep it simple. Deal with the right person. Identify each party correctly. Spell out all of the details. Specify payment obligations. Agree on circumstances that terminate the contract. Agree on a way to resolve disputes.
Scope of Work, Selection Sheet and Drawings. License Number and Insurance. Description of Change Orders. Warranty information. Subcontractor Agreements. Payment schedule. Completion Schedule / Timeline. Clauses Required by Law.