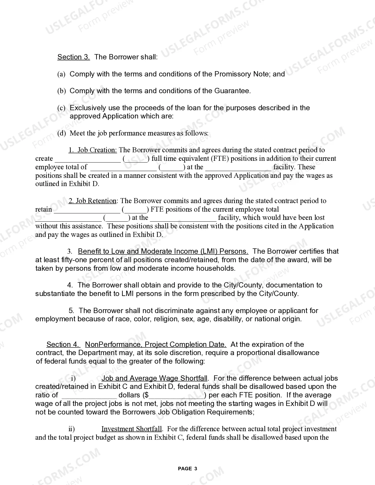
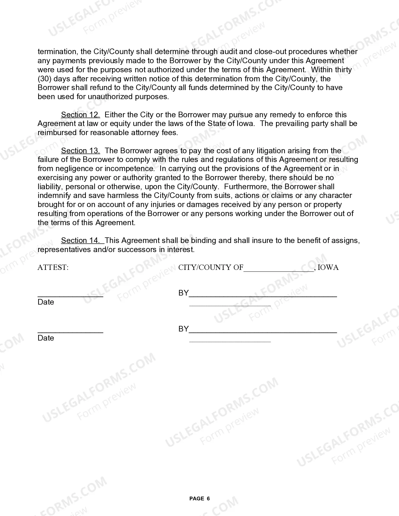
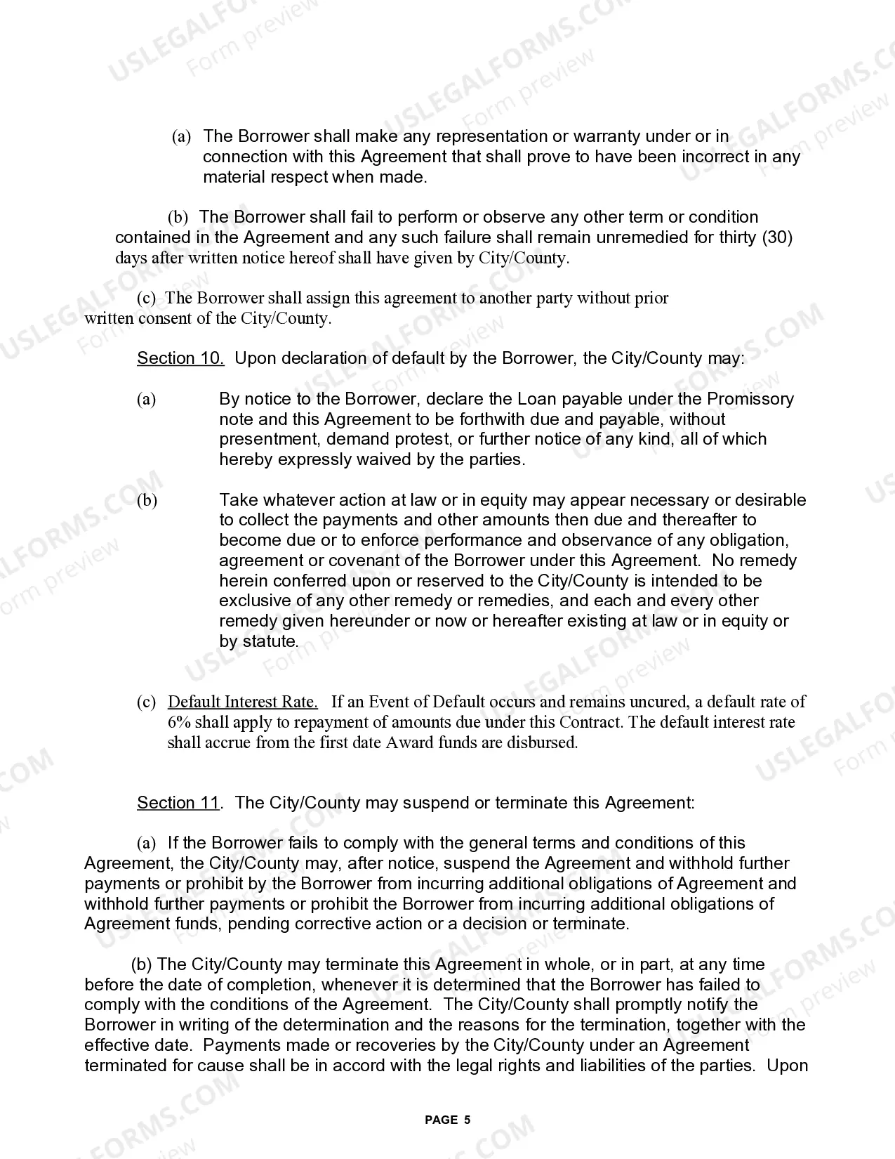
The Iowa Subrecipient Borrower Loan Agreement is an agreement between an organization, or subrecipient, and a lender where the lender provides the subrecipient with a loan. The agreement outlines the terms and conditions of the loan, including the loan amount, repayment schedule, interest rate, and any other applicable fees. The agreement also ensures that the loan funds are used for the intended purpose, such as financing a project or purchasing equipment. There are two types of Iowa Subrecipient Borrower Loan Agreements: short-term and long-term. A short-term agreement is generally used for loans that are repaid within one year, while a long-term agreement is used for loans that are repaid over a longer period of time. The agreement must be signed by both parties before the funds are released.




