• US Legal Forms

Hawaii Interrogatories to Plaintiff for Motor Vehicle Occurrence

State:
Hawaii
Control #:
HI-221-MV
Format:
Word; 
Rich Text
Instant download

Description

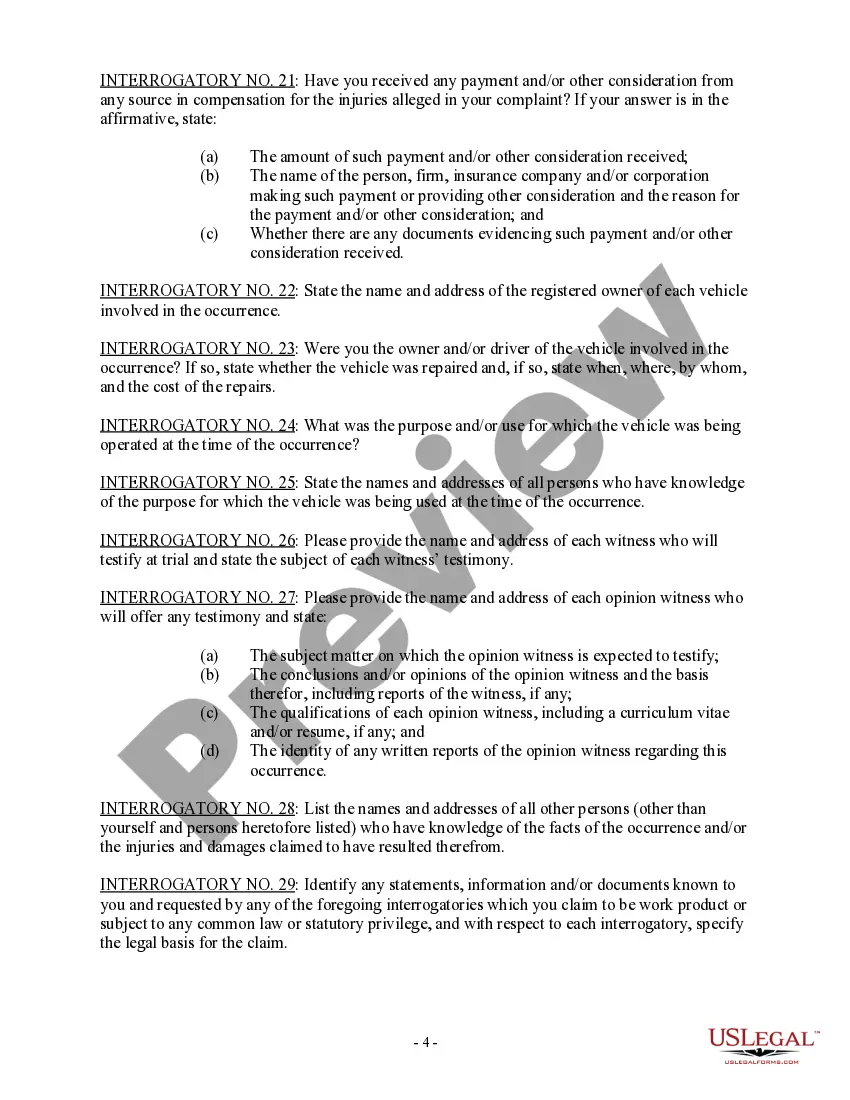
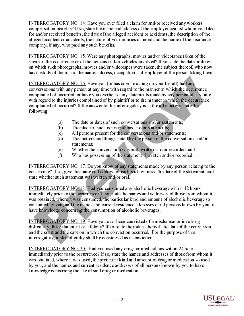
This is a sample set of 28 Interrogatories from Defendant to Plaintiff for use in connection with a vehicle incident, such as an automobile accident. They are to be used only as a model and you should add or subtract questions as needed to be properly tailored to your particular cause of action.

Free preview
  • Preview Interrogatories to Plaintiff for Motor Vehicle Occurrence
  • Preview Interrogatories to Plaintiff for Motor Vehicle Occurrence
  • Preview Interrogatories to Plaintiff for Motor Vehicle Occurrence
  • Preview Interrogatories to Plaintiff for Motor Vehicle Occurrence
  • Preview Interrogatories to Plaintiff for Motor Vehicle Occurrence

How to fill out Hawaii Interrogatories To Plaintiff For Motor Vehicle Occurrence?

Obtain access to one of the most comprehensive libraries of legal documents.

US Legal Forms serves as a solution to locate any state-specific paperwork in just a few clicks, even Hawaii Interrogatories to Plaintiff for Motor Vehicle Occurrence templates.

There's no need to squander several hours of your time searching for a court-admissible sample.

After choosing a pricing plan, create your account. Make payment via credit card or PayPal. Save the sample to your device by clicking Download. That's it! You need to complete the Hawaii Interrogatories to Plaintiff for Motor Vehicle Occurrence template and evaluate it. To ensure accuracy, consult your local legal advisor for assistance. Register and effortlessly browse through more than 85,000 useful templates.

  1. To leverage the forms library, select a subscription and create your account.
  2. Once completed, simply Log In and click Download.
  3. The Hawaii Interrogatories to Plaintiff for Motor Vehicle Occurrence file will be immediately saved in the My documents tab (a section for every form you download on US Legal Forms).
  4. To create a new account, follow the brief steps outlined below.
  5. If you're planning to use state-specific documents, ensure you specify the correct state.
  6. If possible, examine the description to comprehend all the details of the document.
  7. Use the Preview option if available to review the document's content.
  8. Once you confirm everything is accurate, click Buy Now.

Form popularity

FAQ

Grounds for objections to interrogatories often include irrelevance, vagueness, and the potential for invasion of privacy. Identifying these grounds helps in formulating a strong response. Consider using US Legal resources to ensure your objections are well-founded and compliant with the expectations related to Hawaii Interrogatories to Plaintiff for Motor Vehicle Occurrence.

Valid objections to interrogatories include those based on relevance, privilege, or the request being overly burdensome. Recognizing these grounds is crucial for protecting your rights and interests. Leverage the information and tools available on the US Legal platform to navigate Hawaii Interrogatories to Plaintiff for Motor Vehicle Occurrence effectively.

An improper interrogatory is one that is irrelevant, overly broad, or seeks privileged information. Such interrogatories do not align with the rules governing discovery in legal proceedings. When dealing with Hawaii Interrogatories to Plaintiff for Motor Vehicle Occurrence, it’s vital to identify and challenge these improper requests properly.

Yes, interrogatories must generally be answered unless there are substantial reasons to object. Failing to provide answers can lead to legal ramifications in your case. Addressing inquiries related to Hawaii Interrogatories to Plaintiff for Motor Vehicle Occurrence is vital for both compliance and a successful outcome.

If someone does not answer interrogatories, the court may impose penalties or allow the opposing party to use that failure as evidence. This consequence emphasizes the importance of responding to such legal requests. Don't hesitate to utilize the resources available through US Legal to navigate Hawaii Interrogatories to Plaintiff for Motor Vehicle Occurrence effectively.

If someone fails to answer interrogatories, the other party may file a motion to compel. This motion requests the court to order compliance with the original request. Understanding the implications of Hawaii Interrogatories to Plaintiff for Motor Vehicle Occurrence will help guide your actions in these situations.

Ignoring a discovery request can lead to court sanctions or a favorable judgment for the opposing party. Courts view such disregard as a serious issue. To remain compliant with the requirements of Hawaii Interrogatories to Plaintiff for Motor Vehicle Occurrence, it’s crucial to respond properly and promptly.

To not answer interrogatories, you can raise valid objections based on relevance or privilege. However, it's essential to note that improper refusal may lead to consequences in court. Consider using the US Legal platform to ensure your objections align with Hawaii Interrogatories to Plaintiff for Motor Vehicle Occurrence legal standards.

The correct procedure to deal with interrogatories begins with thorough preparation and understanding of the questions posed. In Hawaii Interrogatories to Plaintiff for Motor Vehicle Occurrence, it is crucial to gather all relevant documentation that supports your answers. After drafting your responses, review them for completeness and accuracy before submission. Furthermore, if you encounter difficulties, platforms like uslegalforms provide helpful resources to guide you through the process.

To properly respond to interrogatories, ensure that your answers are complete, truthful, and relevant to the questions asked. In the context of Hawaii Interrogatories to Plaintiff for Motor Vehicle Occurrence, focus on providing clear and precise information. Consider collaborating with legal professionals if you are unsure about specific responses. A well-crafted response can significantly influence the outcome of your case.

Trusted and secure by over 3 million people of the world’s leading companies

Hawaii Interrogatories to Plaintiff for Motor Vehicle Occurrence