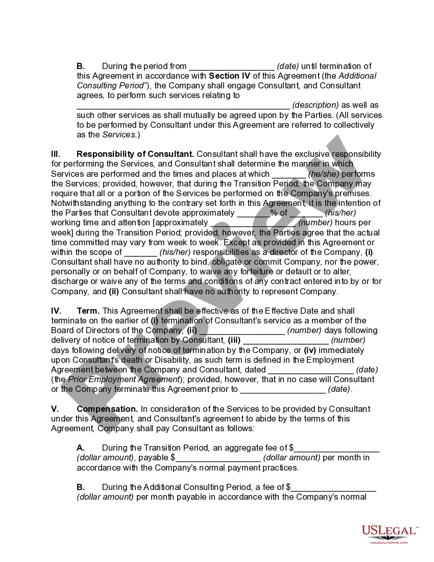
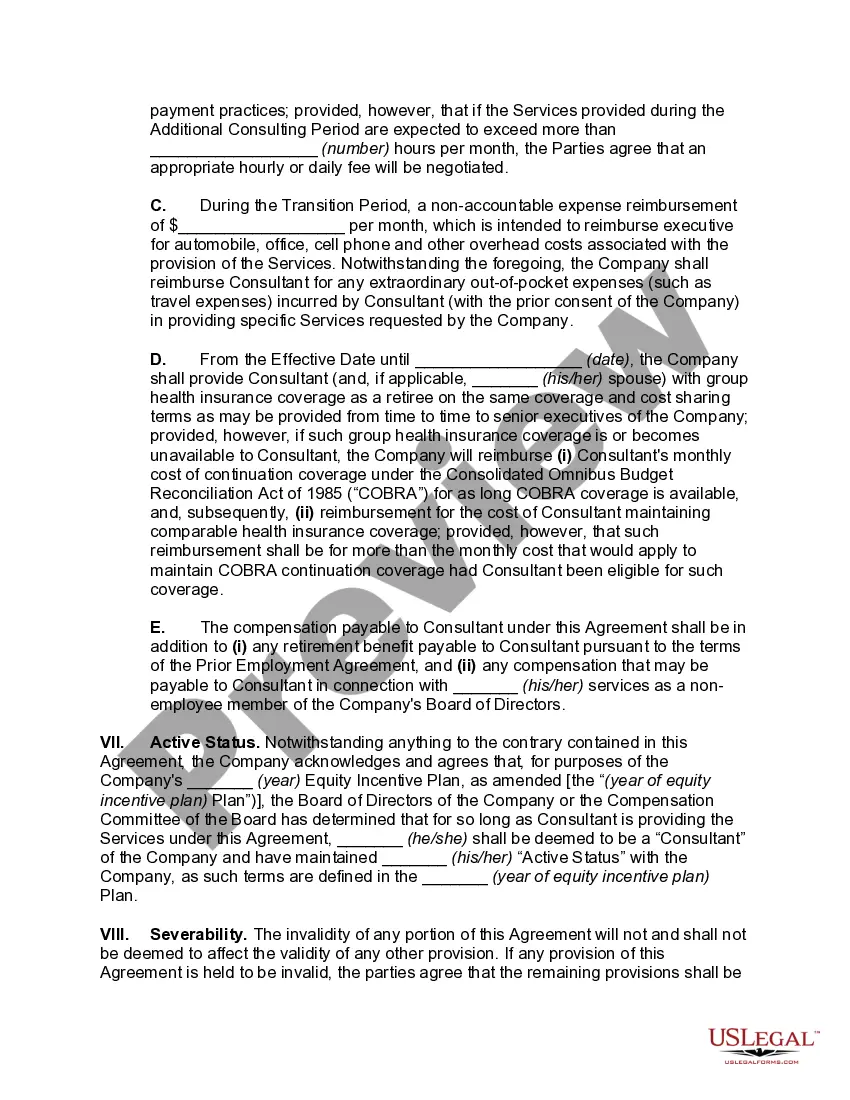
US Legal Forms - one of several greatest libraries of authorized varieties in the USA - offers a wide range of authorized document themes you can acquire or print. While using internet site, you can find a large number of varieties for enterprise and specific uses, sorted by groups, claims, or key phrases.You can find the most recent types of varieties much like the Alaska Agreement with Retired Chief Executive Officer to Provide Transitional Services as a Consultant in seconds.
If you already have a monthly subscription, log in and acquire Alaska Agreement with Retired Chief Executive Officer to Provide Transitional Services as a Consultant through the US Legal Forms collection. The Obtain key will show up on every type you look at. You gain access to all formerly downloaded varieties within the My Forms tab of your accounts.
In order to use US Legal Forms the first time, here are simple directions to help you get began:
Each web template you included with your money does not have an expiration day and is also your own property permanently. So, in order to acquire or print an additional duplicate, just go to the My Forms segment and click on on the type you want.
Gain access to the Alaska Agreement with Retired Chief Executive Officer to Provide Transitional Services as a Consultant with US Legal Forms, one of the most comprehensive collection of authorized document themes. Use a large number of professional and state-particular themes that meet up with your small business or specific requires and requirements.




