Our provider Amazon Web Services is experiencing issues influencing US Legal Forms. We apologize for inconvenience. Try again later.
Our provider Amazon Web Services is experiencing issues influencing US Legal Forms. We apologize for inconvenience. Try again later.

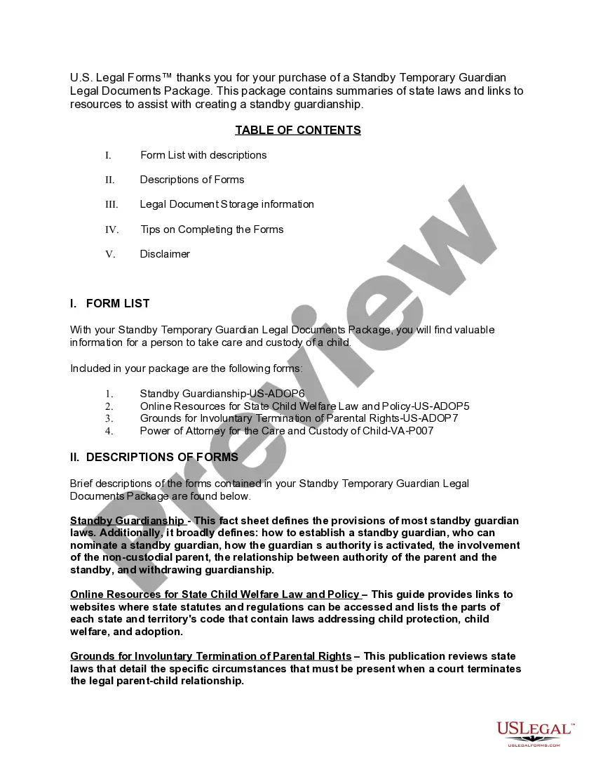
Temporary Guardianship Without Court In Virginia With Terminate

State:
Virginia
Control #:
VA-ADOP3-PKG
Format:
Word; 
Rich Text; 
PDF
Instant download

Description

The Temporary Guardianship Without Court in Virginia with Terminate form facilitates the establishment of temporary guardianship for a child without the need for court intervention. This form is particularly useful in situations where immediate care is necessary, such as during emergencies or when parents are unavailable. Key features include the ability to outline the responsibilities of the temporary guardian and the stipulations for terminating the guardianship when the need no longer exists. Users will find clear filling instructions, which may include using word processing tools to complete form fields or manually typing in information. The form package also provides helpful tips and online resources related to child welfare law in Virginia, ensuring users are well-informed. This document is beneficial for attorneys, paralegals, and legal assistants who assist clients in child custody matters, providing them with a reliable tool to establish guardianship without court proceedings. Additionally, the package includes other relevant documents like Power of Attorney, ensuring comprehensive legal support for custodial arrangements.
Free preview
  • Preview Virginia Standby Temporary Guardian Legal Documents Package
  • Preview Virginia Standby Temporary Guardian Legal Documents Package
  • Preview Virginia Standby Temporary Guardian Legal Documents Package
  • Preview Virginia Standby Temporary Guardian Legal Documents Package

How to fill out Virginia Standby Temporary Guardian Legal Documents Package?

Drafting legal paperwork from scratch can sometimes be intimidating. Certain scenarios might involve hours of research and hundreds of dollars invested. If you’re looking for a an easier and more affordable way of preparing Temporary Guardianship Without Court In Virginia With Terminate or any other paperwork without jumping through hoops, US Legal Forms is always at your disposal.

Our online library of more than 85,000 up-to-date legal documents covers almost every aspect of your financial, legal, and personal affairs. With just a few clicks, you can quickly access state- and county-specific templates carefully put together for you by our legal professionals.

Use our website whenever you need a trusted and reliable services through which you can quickly find and download the Temporary Guardianship Without Court In Virginia With Terminate. If you’re not new to our services and have previously created an account with us, simply log in to your account, locate the form and download it away or re-download it anytime later in the My Forms tab.

Don’t have an account? No worries. It takes little to no time to register it and navigate the library. But before jumping directly to downloading Temporary Guardianship Without Court In Virginia With Terminate, follow these recommendations:

  • Review the document preview and descriptions to make sure you have found the document you are looking for.
  • Check if template you select conforms with the requirements of your state and county.
  • Choose the right subscription option to get the Temporary Guardianship Without Court In Virginia With Terminate.
  • Download the form. Then complete, sign, and print it out.

US Legal Forms boasts a good reputation and over 25 years of experience. Join us now and transform document execution into something simple and streamlined!

Form popularity

FAQ

Petition: Any person may file a petition with a Virginia circuit court stating that a Virginia resident needs a guardian or conservator to manage some or all of his/her affairs. This person is called the petitioner. The person claimed in the petition to need a Guardian or a Conservator is called the respondent.

While it is possible to represent yourself in court when seeking appointment as a child's legal guardian, working with a family law attorney can ensure that you don't miss any important steps in the legal process.

Unless the guardian of a minor's estate dies, is removed, or resigns the guardianship, the guardian shall continue in office until the minor attains the age of majority or, in the case of testamentary guardianship, until the termination of the period set forth in the testator's will.

(i) The court, the guardian or the minor may revoke or terminate the guardianship appointment when: (1) The minor reaches the age of eighteen and executes a release stating that the guardian's estate was properly administered and that the minor has received the assets of the estate from the guardian; (2) The guardian ...

Trusted and secure by over 3 million people of the world’s leading companies

Temporary Guardianship Without Court In Virginia With Terminate