Anaheim California Declaration of Restrictive Covenant

State:
Multi-State
City:
Anaheim
Control #:
US-RE-COV-101-1
Format:
Word; 
Rich Text
Instant download

Description

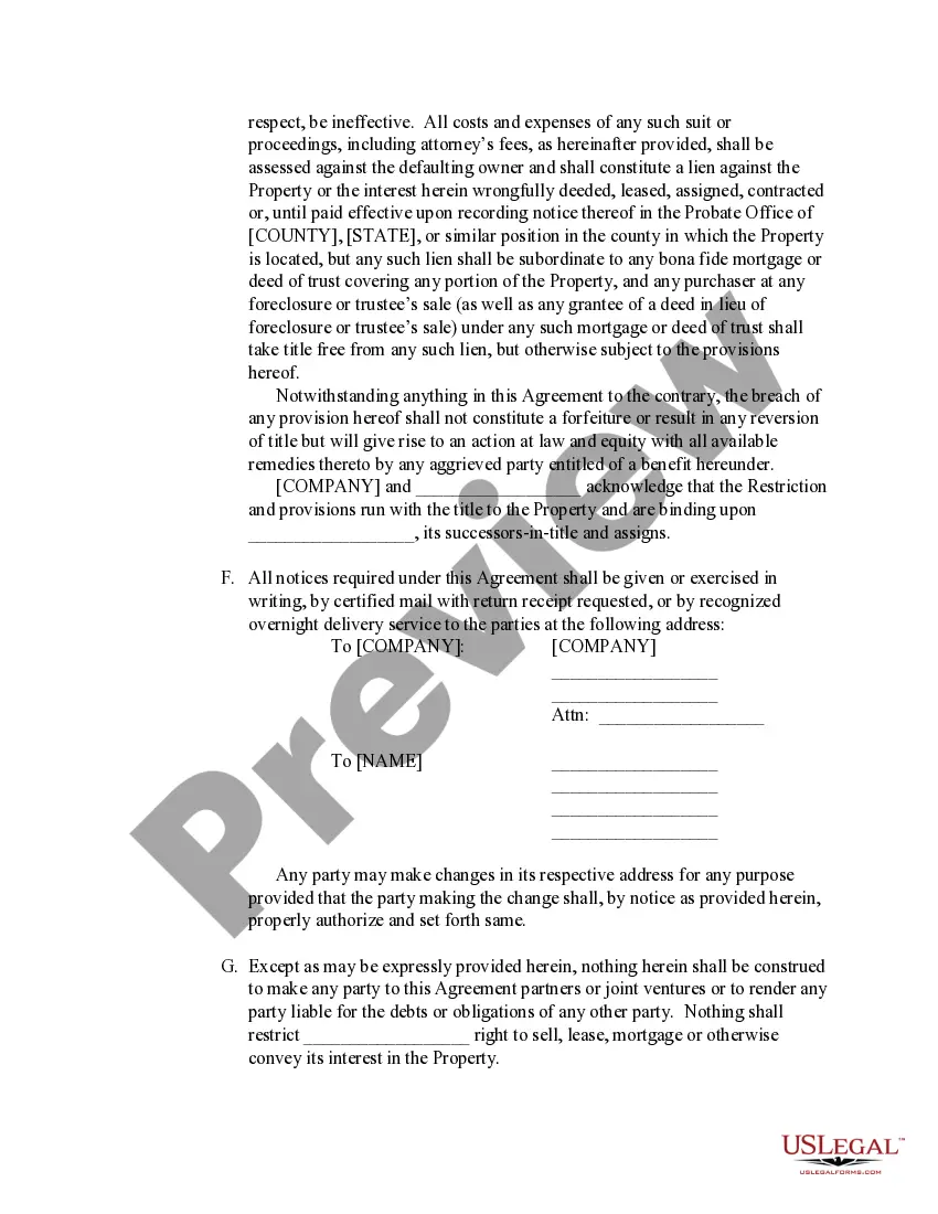
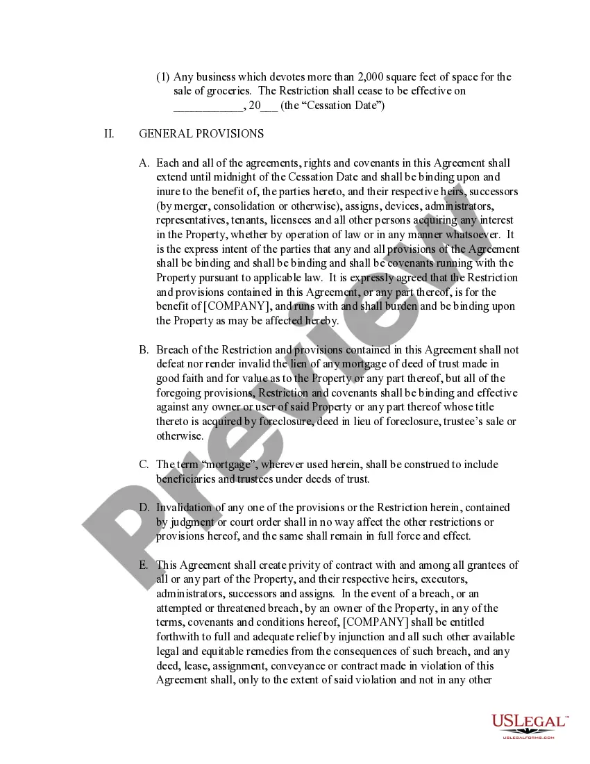
"Restrictive covenants" are an aspect of residential and commercial real estate, where an entity, or community, seeks to place limits; i.e., a development's growth or insure the uniformity of appearance by regulating the development's aesthetic attributes. These provisions in a deed to a particular parcel of property may limit use of property, or the type and placement of structures upon it.
Free preview
  • Preview Declaration of Restrictive Covenant
  • Preview Declaration of Restrictive Covenant
  • Preview Declaration of Restrictive Covenant
  • Preview Declaration of Restrictive Covenant
  • Preview Declaration of Restrictive Covenant
  • Preview Declaration of Restrictive Covenant

Form popularity

FAQ

Anaheim's Most Famous Dishes Chicken Dishes. Pork Dishes. Macaroni Salad. Shaved Ice.

Whether you are a die-hard sports fan, a live music aficionado, an adrenaline junkie, a self-proclaimed foodie, or a brew connoisseur, there's plenty of things to do in Anaheim. With a prime and convenient location, let Anaheim serve as your home to all of sunny Southern California's attractions.

City of Kindness is Anaheim's adopted motto and a way of creating a better quality of life in our city as well as resiliency in the face of natural disasters and other challenges.

Data and graphs for weather & climate. in Anaheim The mean temperature prevailing in the city of Anaheim is recorded as 17.2 °C | 63.0 °F, ing to statistical data. Precipitation here is about 331 mm | 13.0 inch per year. Weather Anaheim & temperature by month - Climate Data climate-data.org ? california ? anaheim-715005 climate-data.org ? california ? anaheim-715005

The second largest city in Orange County in terms of land area, Anaheim is known for being the home of the Disneyland Resort, the Anaheim Convention Center, and two major league sports teams: the Los Angeles Angels of Major League Baseball (MLB) and the Anaheim Ducks of the National Hockey League (NHL).

Interesting Questions

Trusted and secure by over 3 million people of the world’s leading companies

Anaheim California Declaration of Restrictive Covenant