Frisco Texas Discovery Interrogatories for Divorce Proceeding for either Plaintiff or Defendant

State:
Texas
City:
Frisco
Control #:
TX-021B-D
Format:
Word; 
Rich Text
Instant download

Description

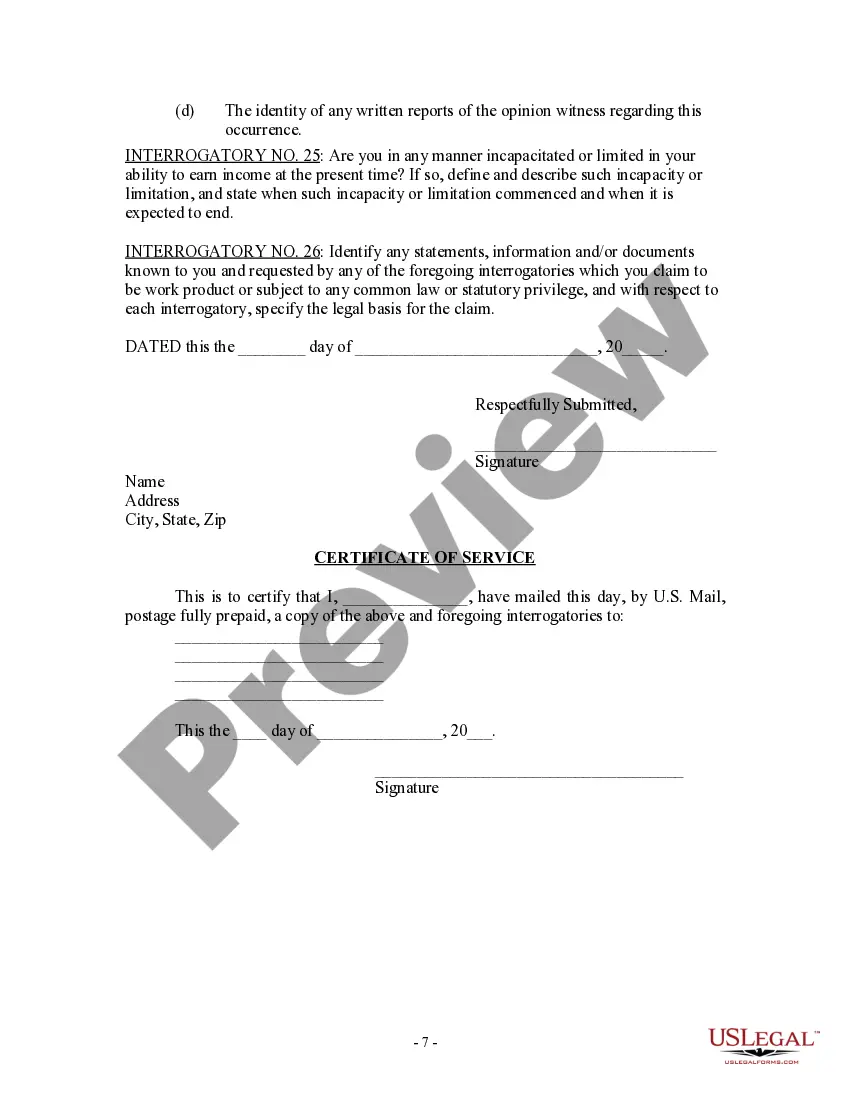
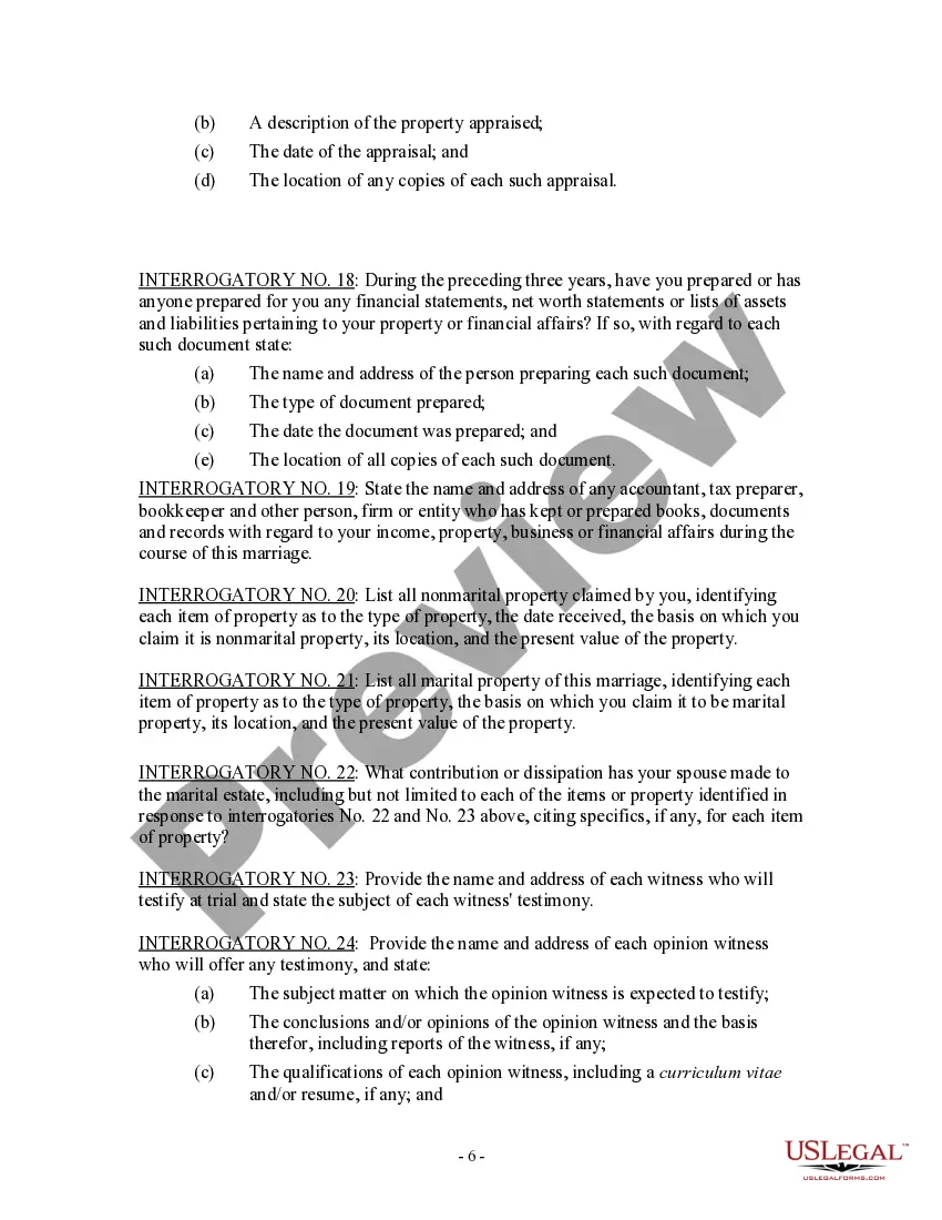
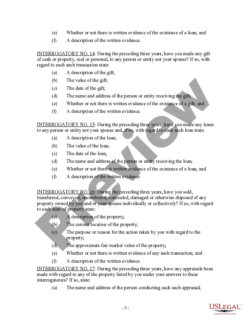
This is a sample form of interrogatories for the Plaintiff in a Divorce action to ask the Defendant. It also includes a request for production of documents. You should only use this form as a guide and delete questions not relevant to your case, as well as add questions you or your client want to ask the Defendant based upon the facts of your case. This form includes the Notice of Service of Interrogatories for filing with the court.

Free preview
  • Preview Discovery Interrogatories for Divorce Proceeding for either Plaintiff or Defendant
  • Preview Discovery Interrogatories for Divorce Proceeding for either Plaintiff or Defendant
  • Preview Discovery Interrogatories for Divorce Proceeding for either Plaintiff or Defendant
  • Preview Discovery Interrogatories for Divorce Proceeding for either Plaintiff or Defendant
  • Preview Discovery Interrogatories for Divorce Proceeding for either Plaintiff or Defendant
  • Preview Discovery Interrogatories for Divorce Proceeding for either Plaintiff or Defendant
  • Preview Discovery Interrogatories for Divorce Proceeding for either Plaintiff or Defendant

How to fill out Texas Discovery Interrogatories For Divorce Proceeding For Either Plaintiff Or Defendant?

Take advantage of the US Legal Forms and gain instant access to any form template you need.

Our user-friendly website featuring thousands of templates streamlines the process of locating and acquiring nearly any document sample you may require.

You can save, complete, and authorize the Frisco Texas Discovery Interrogatories for Divorce Proceedings for either Plaintiff or Defendant within mere minutes rather than spending hours scouring the internet for an appropriate template.

Utilizing our library is a superb method to enhance the security of your document filing.

Additionally, you can access all previously saved files in the My documents menu.

If you haven't set up an account yet, follow the steps outlined below.

  1. Our qualified legal experts frequently assess all documents to guarantee that the templates are pertinent to a specific area and compliant with current laws and regulations.
  2. How can you obtain the Frisco Texas Discovery Interrogatories for Divorce Proceedings for either Plaintiff or Defendant.
  3. If you possess a subscription, simply Log In to your account. The Download button will be visible on all documents you view.

Form popularity

FAQ

After the discovery process concludes, both parties will review the gathered information to prepare for trial or settlement negotiations. If disputes arise over the information exchanged, you may need to address these issues through mediation or court intervention. Understanding how to utilize Frisco Texas Discovery Interrogatories for Divorce Proceeding for either Plaintiff or Defendant can impact your strategy going forward.

To request discovery in Texas, you must formally serve the other party with written interrogatories and requests for production of documents. It’s essential to follow the proper legal procedures to ensure compliance and avoid complications. By leveraging Frisco Texas Discovery Interrogatories for Divorce Proceeding for either Plaintiff or Defendant, you can simplify this process and ensure you gather the information needed to support your case.

In Texas, the discovery period typically lasts until 30 days before the trial date, allowing both parties adequate time to exchange information. However, specific circumstances can extend this period, particularly in complex cases. Utilizing Frisco Texas Discovery Interrogatories for Divorce Proceeding for either Plaintiff or Defendant can help ensure you complete the necessary steps within this timeframe.

Discovery in a divorce in Texas is a formal process where both parties gather information and evidence related to the case. This process involves submitting interrogatories, which are written questions that each party must answer regarding their financial situation, assets, and other relevant matters. Using Frisco Texas Discovery Interrogatories for Divorce Proceeding for either Plaintiff or Defendant allows you to obtain necessary information to support your case effectively.

In Texas, the three levels of discovery are: (1) Level 1, for straightforward cases that require limited discovery; (2) Level 2, for more complex cases that allow broader discovery parameters; and (3) Level 3, which is typically for cases with significant complexity. Each level governs the scope and timeline of discovery responses, including Frisco Texas Discovery Interrogatories for Divorce Proceeding for either Plaintiff or Defendant. Understanding these levels helps you and your attorney strategize effectively during your divorce process.

The Texas Best Evidence Rule states that the original version of a document is usually required in court, rather than copies. This rule is important during divorce proceedings where documents can include financial records and agreements, including those accessed through Frisco Texas Discovery Interrogatories for Divorce Proceeding for either Plaintiff or Defendant. Knowing this rule helps you prepare the necessary original documents to support your case effectively. Therefore, always store your original documents safely.

In Texas, you generally have 30 days to respond to interrogatories after they have been served on you. This timeline is crucial for maintaining the progression of your case, especially in matters involving Frisco Texas Discovery Interrogatories for Divorce Proceeding for either Plaintiff or Defendant. Timely responses help avoid delays and potential penalties. If you need assistance with crafting comprehensive answers, consider uslegalforms as a valuable resource.

In Texas, criminal discovery rules dictate how evidence is shared between the defense and the prosecution. The law requires the prosecution to provide access to evidence that may exonerate the defendant or impact their case. While these rules differ from civil cases like divorce, understanding the overarching discovery process can help you navigate your situation better. For divorce proceedings, such as Frisco Texas Discovery Interrogatories for Divorce Proceeding for either Plaintiff or Defendant, it’s vital to follow the appropriate civil guidelines.

The discovery rule in Texas allows individuals to file a lawsuit based on when they discover the injury or harm caused. This rule affects the timing of filing your case, especially in divorce matters where Frisco Texas Discovery Interrogatories for Divorce Proceeding for either Plaintiff or Defendant may come into play. Essentially, it extends the statute of limitations if you were unaware of the facts that could lead to filing a claim. Understanding this rule can significantly impact your legal strategy.

The discovery process in a Texas divorce involves both parties exchanging necessary information and documents to prepare for trial. This process often includes the use of Frisco Texas Discovery Interrogatories for Divorce Proceeding for either Plaintiff or Defendant. During discovery, individuals can obtain documents, financial disclosures, and other relevant material. This step is crucial as it ensures transparency and fairness during the divorce proceedings.

Interesting Questions

Trusted and secure by over 3 million people of the world’s leading companies

Frisco Texas Discovery Interrogatories for Divorce Proceeding for either Plaintiff or Defendant