Washington Deed of Easement for Slope Purposes

State:
Washington
Control #:
WA-EAS-0062KG
Format:
Word; 
Rich Text
Instant download

Description

This form is an agreement to convey the use or benefit of a tract of land to another party for a specific limited purpose without giving the party the right to possess, take from, improve or sell the tract of land.

A Washington Deed of Easement for Slope Purposes is a legal document that grants permission for a person or organization to use land for the purpose of making improvements to the slope of the land. This document grants the right to enter the land, to move and grade the soil, and to excavate or fill as necessary. The deed may also grant access to any private roads, driveways, or other rights of way. There are three types of Washington Deed of Easement for Slope Purposes: a standard deed, a general deed, and an unimproved deed. A standard deed grants the right to construct on the land, to make necessary improvements, to use the land for slope purposes, and to access any private roads or rights of way. A general deed grants the right to enter the land for slope purposes, to move and grade the soil, and to excavate or fill as necessary. An unimproved deed grants the right to use the land for slope purposes, without making any improvements or excavating or filling. All Washington Deed of Easement for Slope Purposes documents must contain the names of the granter and grantee, a description of the land, the purpose for which the land is being used, and any restrictions or conditions attached to the deed.

Free preview
  • Preview Deed of Easement for Slope Purposes
  • Preview Deed of Easement for Slope Purposes
  • Preview Deed of Easement for Slope Purposes
  • Preview Deed of Easement for Slope Purposes
  • Preview Deed of Easement for Slope Purposes
  • Preview Deed of Easement for Slope Purposes
  • Preview Deed of Easement for Slope Purposes
  • Preview Deed of Easement for Slope Purposes
  • Preview Deed of Easement for Slope Purposes

How to fill out Washington Deed Of Easement For Slope Purposes?

How much time and resources do you normally spend on drafting official paperwork? There’s a better option to get such forms than hiring legal experts or spending hours browsing the web for a suitable blank. US Legal Forms is the leading online library that offers professionally designed and verified state-specific legal documents for any purpose, including the Washington Deed of Easement for Slope Purposes.

To obtain and complete a suitable Washington Deed of Easement for Slope Purposes blank, follow these easy steps:

  1. Examine the form content to make sure it complies with your state regulations. To do so, read the form description or utilize the Preview option.
  2. If your legal template doesn’t satisfy your needs, find a different one using the search bar at the top of the page.
  3. If you are already registered with our service, log in and download the Washington Deed of Easement for Slope Purposes. If not, proceed to the next steps.
  4. Click Buy now once you find the right blank. Select the subscription plan that suits you best to access our library’s full service.
  5. Sign up for an account and pay for your subscription. You can make a transaction with your credit card or through PayPal - our service is absolutely reliable for that.
  6. Download your Washington Deed of Easement for Slope Purposes on your device and fill it out on a printed-out hard copy or electronically.

Another benefit of our service is that you can access previously downloaded documents that you safely store in your profile in the My Forms tab. Obtain them at any moment and re-complete your paperwork as frequently as you need.

Save time and effort preparing legal paperwork with US Legal Forms, one of the most reliable web solutions. Join us now!

Form popularity

FAQ

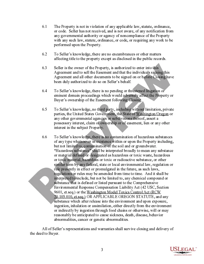
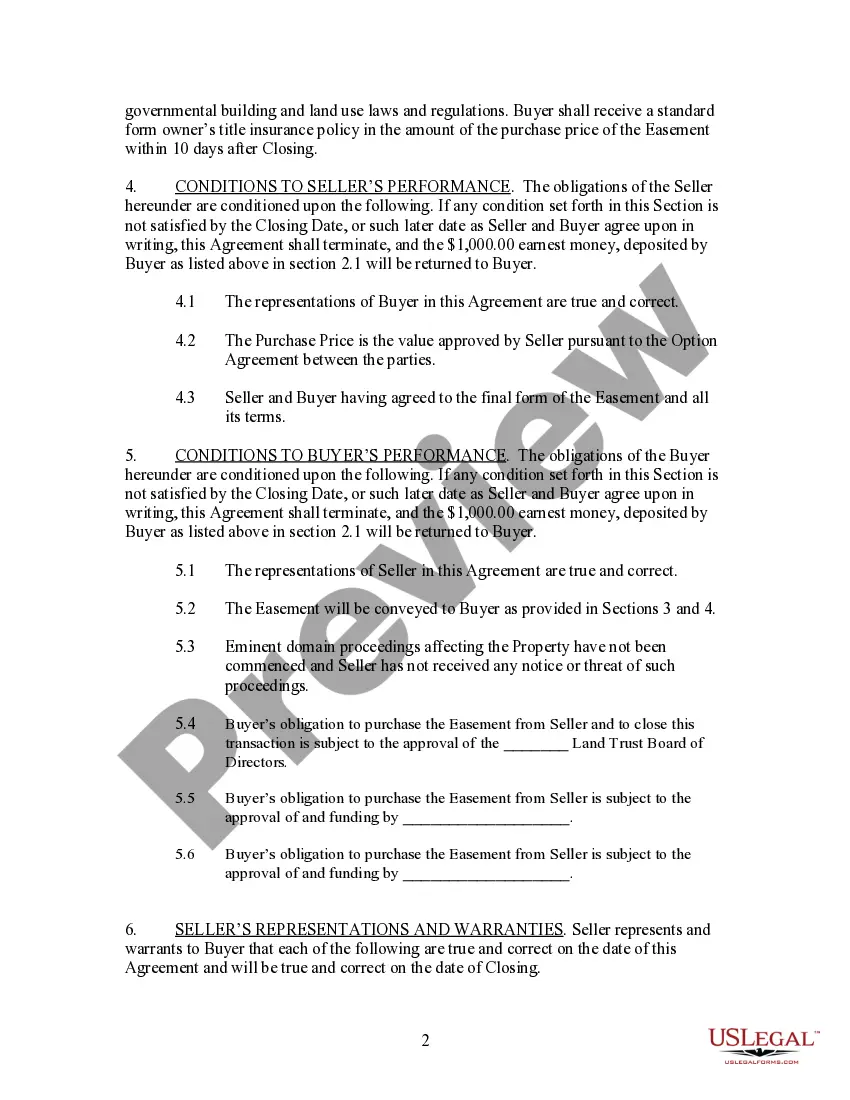
Types of Easements: (SL) Slope Easement) right to construct and to maintain a slope on property owned by another until such time as the owner desires to remove or build on the slope provided the removal or use of the slope will not adversely affect the highway.

Non-Exclusive Easement: The easement recipient has no rights to limit use of the easement area by others.

Generally, the owner of any easement has a duty to maintain the easement. If the easement is owned by more than one person, or is attached parcels of land under different ownership, each owner must share in the cost of maintaining the easement pursuant to their agreement.

Offer to Dedicate (OTD) -- Public Access Easement Program. An OTD is an offer by a landowner to grant a public access easement across their property for future public recreational use. The OTD simply offers the area; several steps must then be taken to turn the easement into a useable public accessway.

Prescriptive easements ? To obtain a prescriptive easement in Washington, one property owner must openly, hostilely, and continuously use part of another's land for 10 years without permission. The laws for establishing a prescriptive easement are almost the same as the requirements for establishing adverse possession.

Easements are usually permanent unless terminated by one of the ways recognized under Washington law. For example, an easement can be terminated if the property owner benefiting from the easement signs a written document stating that the easement is terminated.

Washington case law addresses property owners' right to trim encroaching branches from a tree located on a neighbor's property. The law recognizes your right to exercise "self help" by trimming encroaching branches up to the property line.

Trusted and secure by over 3 million people of the world’s leading companies

Washington Deed of Easement for Slope Purposes