South Carolina INTERSTATE VIOLATION OF PROTECTION ORDER

State:
South Carolina
Control #:
SC-FEDDC-JURY-18-2262
Format:
Rich Text
Instant download
This website is not affiliated with any governmental entity
Public form

Description

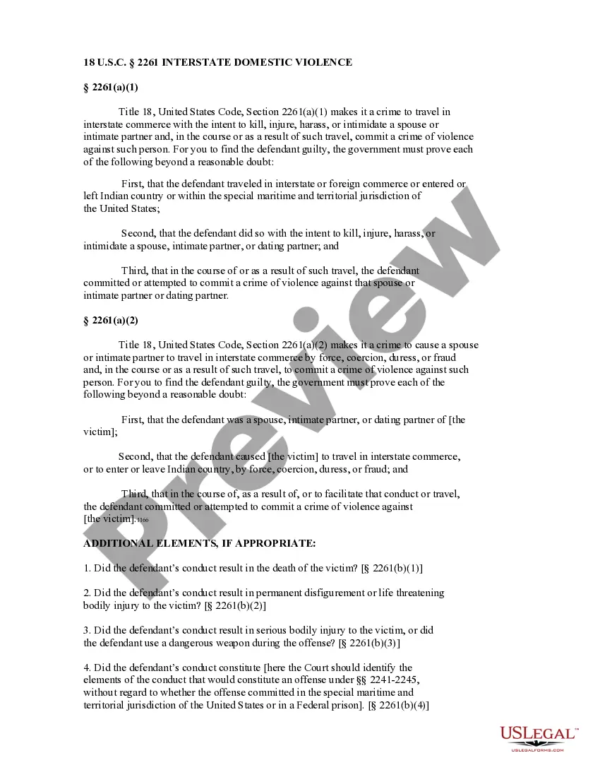
Official Pattern Jury Instructions for Criminal Cases in Federal District Court of South Carolina. All converted to Word format. Please see the official site for addional information. http://www.scd.uscourts.gov/pji/

How to fill out South Carolina INTERSTATE VIOLATION OF PROTECTION ORDER?

How much time and resources do you usually spend on composing official paperwork? There’s a better option to get such forms than hiring legal specialists or spending hours browsing the web for an appropriate template. US Legal Forms is the premier online library that offers professionally drafted and verified state-specific legal documents for any purpose, including the South Carolina INTERSTATE VIOLATION OF PROTECTION ORDER.

To obtain and complete a suitable South Carolina INTERSTATE VIOLATION OF PROTECTION ORDER template, follow these simple instructions:

  1. Look through the form content to ensure it complies with your state laws. To do so, check the form description or use the Preview option.
  2. If your legal template doesn’t satisfy your needs, locate a different one using the search tab at the top of the page.
  3. If you are already registered with our service, log in and download the South Carolina INTERSTATE VIOLATION OF PROTECTION ORDER. Otherwise, proceed to the next steps.
  4. Click Buy now once you find the correct blank. Choose the subscription plan that suits you best to access our library’s full service.
  5. Sign up for an account and pay for your subscription. You can make a payment with your credit card or via PayPal - our service is totally secure for that.
  6. Download your South Carolina INTERSTATE VIOLATION OF PROTECTION ORDER on your device and fill it out on a printed-out hard copy or electronically.

Another advantage of our service is that you can access previously purchased documents that you securely keep in your profile in the My Forms tab. Obtain them anytime and re-complete your paperwork as frequently as you need.

Save time and effort completing legal paperwork with US Legal Forms, one of the most trusted web solutions. Join us now!

Form popularity

FAQ

Consequences for Violating a Protection Order in Ohio Generally, a violation is a first-degree misdemeanor, which in Ohio comes with a maximum of 6 months in prison and a $1,000 fine.

In Indiana, ing to Indiana Code 35-46-1-15.1 violating a protective order involving a domestic or family violence case is a Class A misdemeanor. If the courts find you guilty, you could face up to a year in county jail and/or a fine of up to $5,000, in addition to probation.

Violating a Temporary Restraining Order ? If you violate a temporary restraining order in South Carolina, you can face a $500 fine and up to 30 days in jail. Violating a Permanent Restraining Order ? If you violate a permanent restraining order in South Carolina, you can face up to a $1,500 fine and 12 months in jail.

If the subject of the protective order was a victim of sexual abuse, indecency with a child, sexual assault, indecent assault, or stalking, violating a protective order may be a State Jail Felony. The penalties for a State Jail Felony in Texas include from 180 days to 2 years in jail and a fine of up to $10,000.

S.C. Code Ann. § 16-3- 1750(F). Any person who violates a provision of this Order is subject to a fine of five hundred dollars, thirty days imprisonment, or both.

As a first offense, violating a protective order is treated as a misdemeanor crime. It is punishable by up to a year in the county jail, or a fine of up to $1,000, or both. In domestic abuse situations, a protective order may be violated repeatedly. A subsequent violation of a protective order is a felony offense.

SECTION 20-4-40. Petition for order of protection. There is created an action known as a "Petition for an Order of Protection" in cases of abuse to a household member.

As a first offense, violating a protective order is treated as a misdemeanor crime. It is punishable by up to a year in the county jail, or a fine of up to $1,000, or both. In domestic abuse situations, a protective order may be violated repeatedly. A subsequent violation of a protective order is a felony offense.

Trusted and secure by over 3 million people of the world’s leading companies

South Carolina INTERSTATE VIOLATION OF PROTECTION ORDER