• US Legal Forms

Mississippi Ex Parte Temporary Domestic Abuse Protective Order

State:
Mississippi
Control #:
MS-DV-0008
Format:
PDF
Instant download

Definition and meaning

The Mississippi Ex Parte Temporary Domestic Abuse Protective Order is a legal document issued by a court to provide immediate protection to individuals who are victims of domestic abuse. This order allows a victim to seek protection without the presence of the alleged abuser initially. It is designed to offer quick relief and shelter for individuals in potentially dangerous situations.

How to complete a form

Completing the Mississippi Ex Parte Temporary Domestic Abuse Protective Order form involves several key steps:

  • Identify yourself as the petitioner by providing your personal details, including your full name, date of birth, and contact information.
  • List the names and details of any other individuals who need protection.
  • Provide detailed information about the respondent, including their full name, relationship to you, and identifiers such as date of birth and address.
  • Specify the nature of the abuse or threats experienced.
  • Sign and date the form, verifying that the information provided is true and accurate.

Who should use this form

This form is intended for individuals who have experienced domestic abuse or threats from a current or former partner, spouse, or other individuals in a close relationship. If you feel that you are in immediate danger or need protection from someone, this form may be suitable for you.

Key components of the form

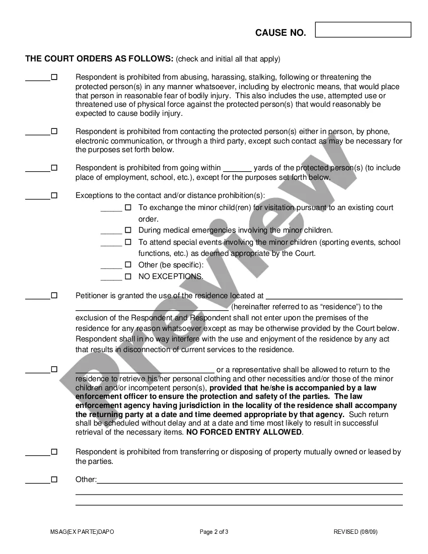
The Mississippi Ex Parte Temporary Domestic Abuse Protective Order includes several critical elements:

  • Petitioner's identification information.
  • Details of other persons to be protected.
  • Identifying information for the respondent.
  • Nature of the abuse allegations.
  • Specific restrictions or prohibitions placed on the respondent.

Each section of the form must be filled out completely and accurately to ensure its validity.

Legal use and context

This form is a legal instrument recognized under Mississippi state law meant to provide immediate and temporary protection to individuals experiencing domestic abuse. The protective order is enforceable by law enforcement and can be used in court to take further legal actions regarding custody, visitation, and other related matters.

Benefits of using this form online

Filing for a Mississippi Ex Parte Temporary Domestic Abuse Protective Order online offers numerous benefits:

  • Convenience of accessing the form from any location.
  • Time-efficient as it can be completed and submitted promptly.
  • Increased privacy and confidentiality when dealing with sensitive issues.
  • Fewer chances of errors with guided fill-in tools.
Free preview
  • Preview Ex Parte Temporary Domestic Abuse Protective Order
  • Preview Ex Parte Temporary Domestic Abuse Protective Order
  • Preview Ex Parte Temporary Domestic Abuse Protective Order

Form popularity

FAQ

In civil procedure, ex parte is used to refer to motions for orders that can be granted without waiting for a response from the other side. Generally, these are orders that are only in place until further hearings can be held, such as a temporary restraining order.

Temporary restraining orders usually last between 20 and 25 days, until the court hearing date. When you go to court for the hearing that was scheduled for your TRO, the judge may issue a permanent restraining order. They are not really permanent because they usually last up to 5 years.

A temporary restraining order (TRO) is an emergency (ex parte) court order prohibiting the defendant from taking some action. An ex parte order is only granted when: 1. Irreparable harm or immediate danger will occur before a.

The court is looking for a description of your relationship to the respondent, when, where, what happened, and who did what to whom. Using the facts of the incident only, keep your statement brief and to the point. Briefly describe the most recent incident of abuse and/or threats of abuse or other behaviors.

An ex parte order of protection is a temporary measure that can be filed quickly. A full protection order, or restraining order, is granted after a court hearing and lasts for a longer period of time than the ex parte order.

An order that is issued ex parte means that it is issued without prior notice to the other parent, based only on your affidavit/testimony. If the judge issues an emergency ex parte order, the judge will schedule a hearing within 14 days2 and the respondent but be served at least 5 days before that hearing.

A civil harassment restraining order is a court order that helps protect people from violence, stalking, serious harassment, or threats of violence. You can ask for a civil harassment restraining order if: A person has abused (or threatened to abuse), sexually assaulted, stalked, or seriously harassed you, and.

Under section 93-21-7(2) of the Mississippi Code, there is no cost to file for a protection order. . temporary restraining order. the clerk will fill out the information for you.

Trusted and secure by over 3 million people of the world’s leading companies

Mississippi Ex Parte Temporary Domestic Abuse Protective Order