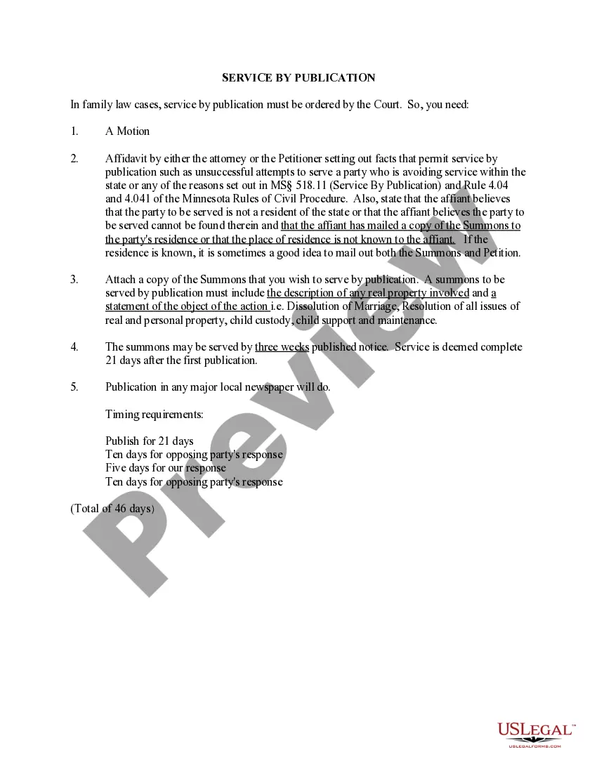
The Request for Service by Publication is a legal document used to notify a party in a dissolution case when that party cannot be located for traditional service of process. This form is specifically designed for situations where one party is avoiding service or where their whereabouts are unknown, allowing the court to proceed with the case through publication in a local newspaper. Unlike standard service forms, this packet includes necessary materials like affidavits and motions that are essential for seeking judicial approval for service by publication.
This form should be used when a petitioner in a dissolution case has made reasonable attempts to serve the other party but has been unsuccessful. It is necessary when the respondent is actively avoiding service or cannot be located, and timely resolution of custody, support, or property issues is required. This situation often arises in contested divorces where communication has broken down.
This form is intended for:
Notarization is generally not required for this form. However, certain states or situations might demand it. You can complete notarization online through US Legal Forms, powered by Notarize, using a verified video call available anytime.
Our built-in tools help you complete, sign, share, and store your documents in one place.
Make edits, fill in missing information, and update formatting in US Legal Forms—just like you would in MS Word.
Download a copy, print it, send it by email, or mail it via USPS—whatever works best for your next step.
Sign and collect signatures with our SignNow integration. Send to multiple recipients, set reminders, and more. Go Premium to unlock E-Sign.
If this form requires notarization, complete it online through a secure video call—no need to meet a notary in person or wait for an appointment.
We protect your documents and personal data by following strict security and privacy standards.

Make edits, fill in missing information, and update formatting in US Legal Forms—just like you would in MS Word.

Download a copy, print it, send it by email, or mail it via USPS—whatever works best for your next step.

Sign and collect signatures with our SignNow integration. Send to multiple recipients, set reminders, and more. Go Premium to unlock E-Sign.

If this form requires notarization, complete it online through a secure video call—no need to meet a notary in person or wait for an appointment.

We protect your documents and personal data by following strict security and privacy standards.
Rule 77.04 in Minnesota pertains to the service of process in civil cases, specifically regarding the issuance of summons and complaints. This rule outlines the requirements for proper service, including how to complete a Minnesota Request for Service by Publication when other methods are not feasible. Understanding Rule 77.04 is crucial for ensuring that all parties receive proper notification. For assistance with the necessary materials and forms, consider using US Legal Forms, which can provide you with the resources you need to navigate this process successfully.
To serve a summons by publication in Minnesota, you must first file a request with the court, demonstrating that traditional methods of service have failed. The court will then provide an order allowing you to publish the summons in an approved newspaper. This process is a key component of the Minnesota Request for Service by Publication, and it is important to follow all legal requirements and deadlines. Utilizing platforms like US Legal Forms can help you access the necessary materials to ensure compliance and streamline your case.
Rule 69 in Minnesota addresses the process of enforcing a judgment. It provides guidelines on how a party can obtain information about a debtor's assets and how to execute a judgment through various means. This rule is essential when pursuing a Minnesota Request for Service by Publication, as it helps ensure that all parties involved are properly notified. By understanding Rule 69, you can effectively navigate the legal landscape and utilize the necessary materials for your case.
Divorcing a missing spouse is referred to as a "Divorce by Publication" because you must submit a legal notice to run in the local newspaper as a method of serving your spouse.This being said, the court will make you "jump through hoops" to prove that you have made every possible effort to locate your spouse.
In California, if you do not know the whereabouts of a defendant or respondent, you can petition the court for permission to serve the papers by publication. To serve a party by publication means that you publish the Summons and all required documentation in a newspaper of general circulation.
Personal service means that someone hands the defendant the relevant papers.These are your options for who can serve the defendant. Sheriff, marshal, or constable. All states allow personal service to be made by law officers, although not all officers will serve civil subpoenas.
"Service by publication" means that you publish the Summons or other document in a newspaper of general circulation in the area where your spouse or partner is likely to be. For service by publication, you will have to pay the newspaper a fee to publish the document.
A waiver of service or summons means that a party voluntarily enters a lawsuit without requiring the opposing party to serve them with a summons and petition.Most people do not want to be served by a sheriff's deputy or special process server and so elect to sign a waiver of service.
Subd.Service by mail shall be made only by the sheriff or by any other person who is at least 18 years of age who is not a party to the proceeding. Pursuant to Minnesota Statutes 2006, section 518A. 46, subdivision 2, paragraph (c), clause (4), an employee of the county agency may serve documents on the parties.
Publish the Notice in the Appropriate Newspaper In some states, the notice must appear once a week for at least three consecutive weeks. This gives the defendant enough chances to see the notice and take necessary action. Only after the completion of the three weeks will the service by publication be complete.