You can dedicate numerous hours online attempting to locate the authentic document template that meets the federal and state requirements you seek.
US Legal Forms offers thousands of authentic forms that have been reviewed by experts.
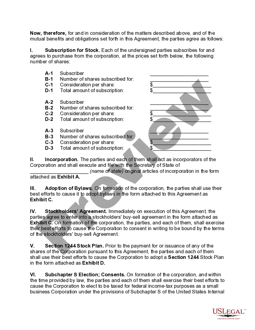
You can easily download or print the Kansas Agreement to Incorporate as an S Corp and as a Small Business Corporation with Qualification for Section 1244 Stock from my service.
First, make sure you've selected the correct document template for the county/city of your choice. Review the form outline to confirm you've chosen the right one. If available, utilize the Review option to examine the document template as well.
An S Corporation can issue non-voting stock, but it must comply with the rules set forth by the IRS regarding S Corp regulations. Non-voting stock allows for the separation of ownership and control, which can be advantageous in maintaining your business strategy. It is wise to define these terms clearly in your Kansas Agreement to Incorporate as an S Corp to avoid future complications.
In order to qualify as §1244 stock, the stock must be issued, and the consideration paid by the shareholder must consist of money or other property, not services. Stock and other securities are not "other property" for this purpose.
Section 1244 of the Internal Revenue Code allows eligible shareholders of domestic small business corporations to deduct a loss on the disposal of such stock as an ordinary loss rather than a capital loss. Eligible investors include individuals, partnerships and LLCs taxed as partnerships.
1244 loss is the property's adjusted basis reduced by liabilities to which the property is subject or that the corporation assumed. However, if the property's fair market value (FMV) is less than its adjusted basis when it is transferred to the corporation, any Sec.
1244 stock is issued to S corporations, such corporations and their shareholders may not treat losses on such stock as ordinary losses. This is so notwithstanding IRC Sec. 1363, which provides that the taxable income of an S corporation must be computed in the same manner as that of an individual.
To qualify under Section 1244, these five requirements must be adhered to:The stock must be acquired in exchange for cash or property contributed to the corporation.The corporation must issue the stock directly to the investors.The corporation must be an actual, operating company.More items...?
The maximum aggregate loss that may be treated by a taxpayer as ordinary loss for a taxable year with respect to an issuing corporation's Section 1244 stock is $50,000, or $100,000 for a husband and wife filing a joint return. Any loss in excess of the maximum allowable loss must be treated as a capital loss.
Qualifying for Section 1244 StockThe stock must be issued by U.S. corporations and can be either a common or preferred stock.The corporation's aggregate capital must not have exceeded $1 million when the stock was issued and the corporation cannot derive more than 50% of its income from passive investments.More items...
Section 1244 stock is a stock transaction pursuant to the Internal Revenue Code provision that allows shareholders of an eligible small business corporation to treat up to $50,000 of losses (or, in the case of a husband and wife filing a joint return, $100,000) from the sale of stock as ordinary losses instead of


