• US Legal Forms

Indiana Interrogatories to Plaintiff for Motor Vehicle Occurrence

State:
Indiana
Control #:
IN-221-MV
Format:
Word; 
Rich Text
Instant download

Description

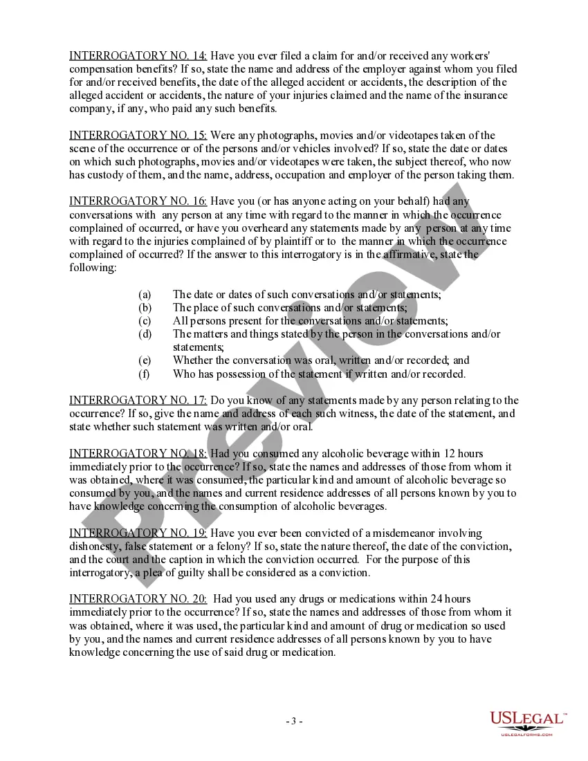
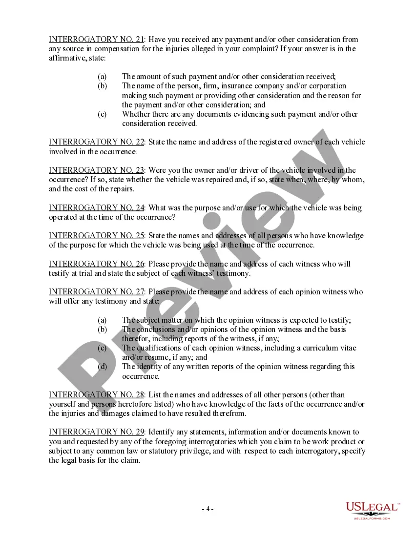
This is a sample set of 28 Interrogatories from Defendant to Plaintiff for use in connection with a vehicle incident, such as an automobile accident. They are to be used only as a model and you should add or subtract questions as needed to be properly tailored to your particular cause of action.

Free preview
  • Preview Interrogatories to Plaintiff for Motor Vehicle Occurrence
  • Preview Interrogatories to Plaintiff for Motor Vehicle Occurrence
  • Preview Interrogatories to Plaintiff for Motor Vehicle Occurrence
  • Preview Interrogatories to Plaintiff for Motor Vehicle Occurrence
  • Preview Interrogatories to Plaintiff for Motor Vehicle Occurrence

How to fill out Indiana Interrogatories To Plaintiff For Motor Vehicle Occurrence?

Searching for Indiana Interrogatories to Plaintiff for Motor Vehicle Incident example and completing them could pose a difficulty.

To conserve considerable time, expenses, and effort, utilize US Legal Forms and discover the suitable template specifically for your state in just a few clicks.

Our lawyers prepare every document, so you simply need to complete them.

Choose your plan on the pricing page and register an account. Opt for payment via credit card or PayPal. Save the form in your preferred file format. You can print the Indiana Interrogatories to Plaintiff for Motor Vehicle Incident template or fill it out using any online editor. There’s no need to worry about mistakes because your template can be used and sent, and printed as many times as you need. Try US Legal Forms and gain access to approximately 85,000 state-specific legal and tax documents.

  1. Log into your account and return to the form's page to download the document.
  2. Your downloaded templates are saved in My documents and are accessible at any time for future use.
  3. If you haven't subscribed yet, it's advisable to register.
  4. Review our detailed instructions on how to obtain the Indiana Interrogatories to Plaintiff for Motor Vehicle Incident template in a few minutes.
  5. To acquire a valid form, verify its relevance for your state.
  6. Examine the template using the Preview feature (if it's available).
  7. If there's a description, read it to understand the specifics.
  8. Click Buy Now if you've found what you're looking for.

Form popularity

FAQ

Personal/Corporate information of opposing party. Identifying information of witnesses. Contact information & background of expert witnesses. Insurance information.

You must answer each interrogatory separately and fully in writing under oath, unless you object to it. You must explain why you object. You must sign your answers and objections.

If the plaintiff does not respond to the court order, then you can file a Motion to Dismiss and you may win your case. Send a final request. If they do not respond to the final request within 30 days you can send the court an application for entry of final judgment or dismissal.

You may object to Form Interrogatories, but be careful to use the proper objection. Using the wrong one or using every single one may lead the court to view you as misusing the discovery process and make you pay sanctions.

Your name and address. The Court's name. The title of the case. Case number. Fill your name in as the Requesting Party. On the following pages, choose which questions you wish to ask by checking boxes next to the questions you wish to ask.

Your answers to the interrogatories should usually be short, clear, and direct and should answer only the question that is being asked. This is not the time to set out your entire case or defense to the other side. Take the time to make sure your answers are correct and truthful.

You must answer each interrogatory separately and fully in writing under oath, unless you object to it. You must explain why you object. You must sign your answers and objections.

Your answers to the interrogatories should usually be short, clear, and direct and should answer only the question that is being asked. This is not the time to set out your entire case or defense to the other side. Take the time to make sure your answers are correct and truthful.

Interrogatory subparts are counted as one interrogatory if they are logically or factually subsumed within and necessarily related to the primary question. Safeco of America v. Rawstron, 181 F.R.D. 441, 445 (C.D. Cal.

Trusted and secure by over 3 million people of the world’s leading companies

Indiana Interrogatories to Plaintiff for Motor Vehicle Occurrence