Illinois No-Fault Agreed Uncontested Divorce Package for Dissolution of Marriage for people with Minor Children
"
Divorce - State Law Summary - Illinois
Related Illinois Legal Forms
Notes: This summary is not intended to be an all-inclusive summary of the laws of divorce in the State of Illinois, but does contain basic and other procedures.
§ 750 ILCS 5/401. Dissolution of marriage
(a) The court shall enter a judgment of dissolution of marriage when at the time the action was commenced one of the spouses was a resident of this State or was stationed in this State while a member of the armed services, and the residence or military presence had been maintained for 90 days next preceding the commencement of the action or the making of the finding: Irreconcilable differences have caused the irretrievable breakdown of the marriage and the court determines that efforts at reconciliation have failed or that future attempts at reconciliation would be impracticable and not in the best interests of the family.
(a-5) If the parties live separate and apart for a continuous period of not less than 6 months immediately preceding the entry of the judgment dissolving the marriage, there is an irrebuttable presumption that the requirement of irreconcilable differences has been met.
(b) Judgment shall not be entered unless, to the extent it has jurisdiction to do so, the court has considered, approved, reserved or made provision for the allocation of parental responsibilities , the support of any child of the marriage entitled to support, the maintenance of either spouse and the disposition of property. The court shall enter a judgment for dissolution that reserves any of these issues either upon (i) agreement of the parties, or (ii) motion of either party and a finding by the court that appropriate circumstances exist. The death of a party subsequent to entry of a judgment for dissolution but before judgment on reserved issues shall not abate the proceedings.
If any provision of this Section or its application shall be adjudged unconstitutional or invalid for any reason by any court of competent jurisdiction, that judgment shall not impair, affect or invalidate any other provision or application of this Section, which shall remain in full force and effect.
Residency requirements/where to file
At least one of the parties to the dissolution action must have been a resident of the State of Illinois for a minimum of ninety days immediately prior to the filing of the action. The action for dissolution may be filed in the county where either party resides. 750 ILCS 5/401
Name of court and title of action/parties
An action for dissolution of marriage is filed in
Circuit Court. The title of the action initiating the dissolution proceeding is a
Petition for Dissolution, while the title of the action granting the dissolution is referred to as a
Judgement for Dissolution of Marriage. The filing party in a dissolution action is the
Petitioner, while the other party is known as the
Respondent. 750 ILCS 5/105
Legal separation
Any person living separate and apart from their spouse may obtain a judgement of legal separation providing for that spouse's reasonable support and maintenance.
Simplified divorce procedure
If the following conditions are met, the parties may file a joint petition for dissolution of marriage:
1. Neither party is dependent upon the other for support or each party is willing to waive the right to support, and each party understands that consultation with an attorney may help them determine eligibility for support;
2. The residency requirements have been met;
3. Irreconcilable differences have caused the irretrievable breakdown of the marriage and the parties have been separated for at least six months;
4. Reconciliation efforts have failed or would be futile;
5. No children of the marriage and wife is not pregnant;
6. The marriage is no older than eight years;
7. Neither party has any interest in real property;
8. The parties waive all rights to alimony;
9. The total fair market value of all marital property does not exceed $10,000;
10. The combined gross annual income of both parties does not exceed $35,000, and neither party has a gross annual income in excess of $20,000;
11. The parties have disclosed to each other all assets and their tax returns for all years of marriage;
12. The parties have executed a written agreement dividing all assets in excess of $100 in value and allocated responsibility for all debts and liabilities between the parties. 750 ILCS 5/452
Alimony
Either party may be ordered to pay alimony to the other in amounts and for periods of time as the court deems just and equitable, after consideration of the following factors:
1. The income and property of each party;
2. The needs of each party;
3. The present and future earning capacity of each party;
4. Any impairment of earning capacity due to domestic duties or delayed education, training, employment, or career opportunities due to the marriage;
5. The time necessary for the party seeking alimony to acquire appropriate education, training and employment
6. Whether the party seeking alimony is the caretaker of a child whose condition is such that it would be inappropriate for that party to seek employment;
7. The standard of living established during the marriage;
8. The duration of the marriage;
9. The age and physical and emotional condition of each party;
10. The tax circumstances of each party:
11. Any other factor the court deems relevant. 750 ILCS 5/504
Distribution of property
The court will divide the marital property of the parties as it deems equitable and just without regard to marital fault after setting aside to each spouse that spouse's separate property. Factors the court will consider in dividing the marital property include:
1. The contribution of each spouse to the acquisition and preservation of the marital and non-marital property;
2. The dissipation by each party of the marital and non-marital property;
3. The value of the property set aside to each spouse;
4. The duration of the marriage;
5. The economic circumstances of the parties at the time the division of property takes effect;
6. Any pre-existing rights and obligations from previous marriages;
7. Any antenuptial agreement between the parties;
8. The age, health, station, occupation, amount and sources of income, vocational skills, employability, estate, liabilities and needs of each party;
9. The custodial provisions for any children;
10. Whether the apportionment is in lieu of or in addition to alimony;
11. The reasonable opportunities of each spouse for future acquisition of capital assets and income;
12. The tax circumstances of the property division. 750 ILCS 5/503
Child custody
Custody of the child is determined according to the child's best interests, after consideration of the following factors:
1. The wishes of the child's parents;
2. The wishes of the child;
3. The interaction and interrelationship of the child with his parents and siblings, etc.
4. The child's adjustment to home, school and community;
5. The mental and physical health of all individuals concerned;
6. Any instances of domestic violence or abuse;
7. The willingness and ability of each party to encourage a close and continuing relationship between the child and other parent.
The court may interview the child in chambers to ascertain his wishes as to custody and visitation. 750 ILCS 5/602, 750 ILCS 5/604
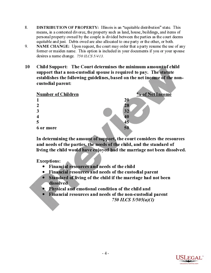
Child support
The court may order either or both parties to a dissolution of marriage proceeding to pay child support in an amount reasonable to provide for the child's necessary needs. The State of Illinois has enacted child support guidelines which establish the amount of support which is presumed to be correct. The court may deviate from the guidelines, however, when it finds that the application of the guidelines would be inappropriate, after consideration of the following factors:
1. The financial resources and needs of the child;
2. The financial resources and needs of the custodial parent;
3. The standard of living the child would have enjoyed had the marriage not been dissolved;
4. The physical and emotional condition of the child and his educational needs;
5. The financial resources and needs of the non-custodial parent.
If the court deviates from the guidelines, it must state its reasons for deviating from the guidelines and state the amount which would have been required under the guidelines.
The court shall also include in any order for child support a provision providing for the health care coverage of the child. 750 ILCS 5/505, 750 ILCS 5/505.2
Conciliation/Mediation
If the court determines that there is a prospect of reconciliation, the court may, at the request of either party or on its own motion, order counseling for the parties. 750 ILCS 5/404
Educational program
In a action for dissolution of marriage involving minor children, the court may order the parents to participate in an educational program concerning the effects of divorce upon children. 750 ILCS 5/401.1
Name change
Upon request, the court may order that a party resume the use of any former or maiden name.
Related Illinois Legal Forms
"