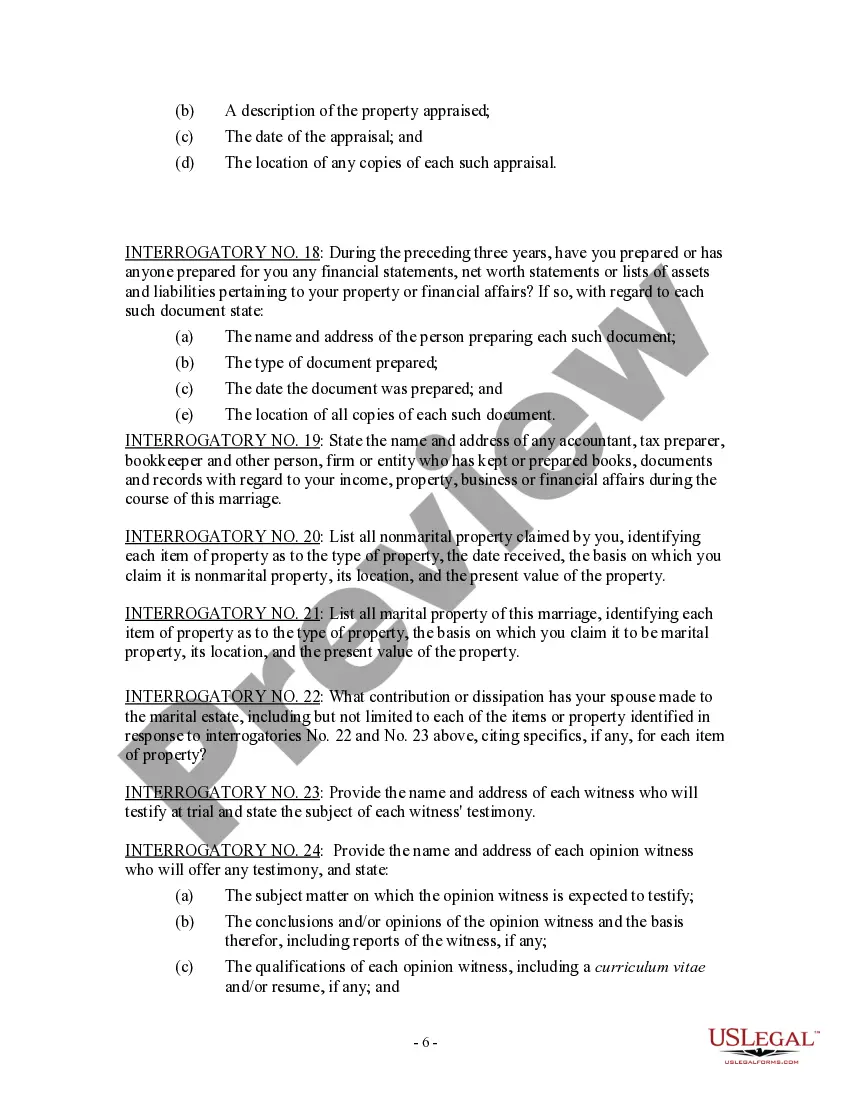
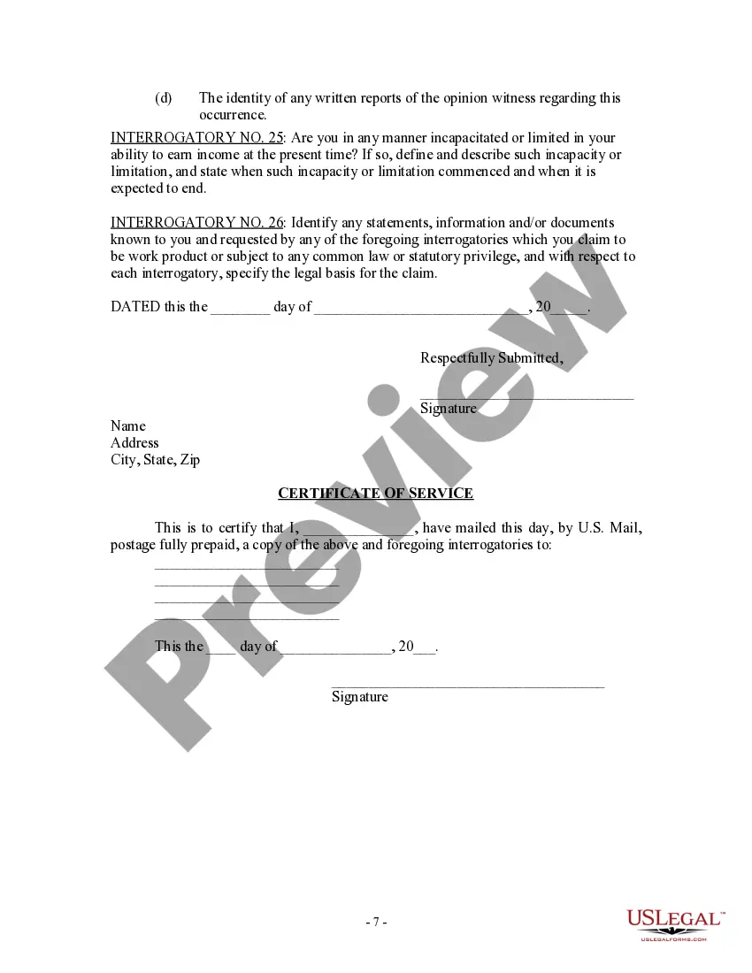
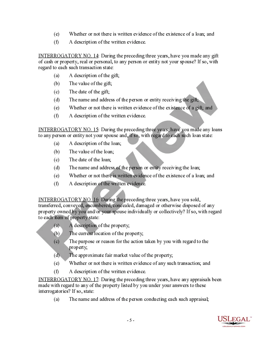
Discovery Interrogatories for Divorce Proceeding for either Plaintiff or Defendant - Another Form
Note: This summary is not intended to be an all-inclusive
summary of discovery law in Alabama, but does include basic and other information.
Definitions
Discovery: A procedure designed to allow disclosure of
information between Plaintiffs and Defendants. Written questions,
oral questioning, document production and admissions requests are generally
allowed. Discovery was designed to to prevent trial by ambush.
Interrogatories: Written questions from Plaintiff to
Defendant, or from Defendant to Plaintiff. The questions are mailed
to the Plaintiff, Defendant or the attorney for response in writing.
The answers or responses are usually due between 20-30 days.
Deposition: A procedure where verbal questions are
asked a Plaintiff or Defendant for immediate response. Depositions
are usually recorded by a court reporter, who swears the person to tell
the truth before questioning begins.
Production of Documents: The method of obtaining documents
from the other party relevant to the case such as all documents a party
intends to introduce at trial.
Requests for Admissions: Written questions where you
request the other party to admit or deny some relevant fact.
Objections: Objections may be made to all discovery
questions if the questions are not relevant, or likely to lead to the discovery
of relevant evidence.
Civil Procedure Rules: Virtually all states have adopted
a version of civil procedure rules which include rules dealing with discovery.
Alabama Rules of Civil Procedure
Alabama has adopted the Alabama Rules of Civil Procedure which
contain rules governing discovery. The discovery rules also apply
in divorce actions.
Discovery Methods:Parties may obtain discovery by one or
more of the following methods: depositions upon oral examination or written
questions; written interrogatories; production of documents or things or
permission to enter upon land or other property, for inspection and other
purposes; physical and mental examinations; and requests for admission.
Rule 26(a)
Scope: Unless otherwise limited by order of the court in
accordance with these rules, the scope of discovery is as follows:
(1) In General. Parties may obtain discovery regarding any matter,
not privileged, which is relevant to the subject matter involved in the
pending action, whether it relates to the claim or defense of the party
seeking discovery or to the claim or defense of any other party, including
the existence, description, nature, custody, condition and location of
any books, documents, or other tangible things and the identity and location
of persons having knowledge of any discoverable matter. It is not ground
for objection that the information sought will be inadmissible at the trial
if the information sought appears reasonably calculated to lead to the
discovery of admissible evidence. The frequency or extent of use of the
discovery methods set forth in subdivision (a) shall be limited by the
court if it determines: (i) that the discovery sought is unreasonably cumulative
or duplicative, or is obtainable from some other source that is more convenient,
less burdensome, or less expensive; (ii) that the party seeking discovery
has had ample opportunity by discovery in the action to obtain the information
sought; or (iii) that the discovery is unduly burdensome or expensive,
taking into account the needs of the case, the amount in controversy, limitations
on the parties' resources, and the importance of the issues at stake in
the litigation. The court may act upon its own initiative after reasonable
notice or pursuant to a motion under subdivision (c). Rule 26(b)
Experts: Discovery of facts known and opinions held
by experts, otherwise discoverable under theprovisions of subdivision (b)(1)
of this rule and acquired or developed in anticipation of litigation or
for trial, may be obtained only as follows:
(A)(i) A party may through interrogatories require any other party
to identify each person whom the other party expects to call as an expert
witness at trial, to state the subject matter on which the expert is expected
to testify, and to state the substance of the facts and opinions to which
the expert is expected to testify and a summary of the grounds for each
opinion. (ii) Upon motion, the court may order further discovery by other
means, subject to such restrictions as to scope and such provisions, pursuant
to subdivision (b)(4)(C) of this rule, concerning fees and expenses as
the court may deem appropriate.
(B) A party may discover facts known or opinions held by an expert
who has been retained, specially employed or assigned by another party
in anticipation of litigation or preparation for trial and who is not expected
to be called as a witness at trial, only as provided in Rule 35(b) or upon
a showing of exceptional circumstances under which it is impracticable
for the party seeking discovery to obtain facts or opinions on the same
subject by other means.
(C) Unless manifest injustice would result, (i) the court shall
require that the party seeking discovery pay the expert a reasonable fee
for time spent in responding to discovery under subdivisions b)(4)(A)(ii)
and (b)(4)(B) of this rule; and (ii) with respect to discovery obtained
under subdivision (b)(4)(A)(ii) of this rule the court may require, and
with respect to discovery obtained under subdivision (b)(4)(B) of this
rule the court shall require, the party seeking discovery to pay the other
party a fair portion of the fees and expenses reasonably incurred by the
latter party in obtaining facts and opinions from the expert. Rule 26(b)(4)
Sequence and Timing of Discovery: Unless the court upon motion,
for the convenience of parties and witnesses and in the interests of justice,
orders otherwise, methods of discovery may be used in any sequence and
the fact that a party is conducting discovery, whether by deposition or
otherwise, shall not operate to delay any other party's discovery. Rule
26(d)
Supplementation of Responses: A party who has responded to
a request for discovery with a response that was complete when made is
under no duty to supplement the response to include information thereafter
acquired, except as follows:
(1) A party is under a duty seasonably to supplement the response
with respect to any question directly addressed to (A) the identity and
location of persons having knowledge of discoverable matters, and (B) the
identity of each person expected to be called as an expert witness at trial,
the subject matter on which the expert witness is expected to testify,
and the substance of the witness's testimony.
(2) A party is under a duty seasonably to amend a prior response
if the party obtains information upon the basis of which the party (A)
knows that the response was incorrect when made, or (B) knows that the
response, though correct when made, is no longer true and the circumstances
are such that a failure to amend the response is in substance a knowing
concealment.
(3) A duty to supplement responses may be imposed by order of the
court, agreement of the parties, or at any time prior to trial through
new requests for supplementation of prior responses. Rule 26(e)
Discovery Conference: At any time after commencement of an
action the court may direct the attorneys for the parties to appear before
it for a conference on the subject of discovery. Following the discovery
conference, the court may enter an order tentatively identifying the issues
for discovery purposes, establishing a plan and schedule for discovery,
setting limitations on discovery, if any; and determining such other matters,
including the allocation of expenses, as are necessary for the proper management
of discovery in the action. An order may be altered or amended whenever
justice so requires. Rule 26(f)
Depositions
Before Whom Depositions May Be Taken: Within the United States
or within a territory or insular possession subject to the jurisdiction
of the United States, depositions to be used in this State shall be taken
before an officer authorized to administer oaths by the laws of the United
States, or of the State of Alabama, or of the place where the examination
is held, or before a person appointed by the court in which the action
is pending. A person so appointed has power to administer oaths and take
testimony.
A person desiring to take depositions in this state to be used in
proceedings pending in the courts of any other state or country may produce
to a judge of the circuit where the witness resides a commission authorizing
the taking of such depositions or proof of notice duly served, whereupon
it shall be the duty of the judge to issue, pursuant to Rule 45, the necessary
subpoenas.
Orders of the character provided for in Rules 30(d), 37(a)(1), 37(b)(1),
and 45(c) may be made upon proper application therefor by the person to
whom such a subpoena is directed. Failure by any person without adequate
excuse to obey a subpoena served upon that person pursuant to this rule
may be deemed a contempt of the court from which the subpoena issued.
Rule 28
Stipulations: Unless the court orders otherwise,
the parties may by written stipulation (1) provide that depositions may
be taken before any person, at any time or place, upon any notice, and
in any manner and when so taken may be used like other depositions, and
(2) modify the procedures provided by these rules for other methods of
discovery. Rule 29
After commencement of the action, any party may take the testimony
of any person, including a party, by deposition upon oral examination.
Leave of court, granted with or without notice, must be obtained only if
the plaintiff seeks to take a deposition prior to the expiration of thirty
(30) days after service of the summons and complaint upon any defendant
or other mode of service under Rule 4, except that leave is not required
(1) if a defendant has served a notice of taking deposition or otherwise
sought discovery, or (2) if special notice is given as provided in subdivision
(b)(2) of this rule. The attendance of witnesses may be compelled by subpoena
as provided in Rule 45. The deposition of a person confined in prison may
be taken only by leave of court on such terms as the court prescribes.
Rule 30(a)
(1) A party desiring to take the deposition of any person upon oral
examination shall give reasonable notice in writing to every other party
to the action. The notice shall state the time and place for taking the
deposition and the name and address of each person to be examined, if known,
and, if the name is not known, a general description sufficient to identify
the person or the particular class or group to which the person belongs.
If a subpoena duces tecum is to be served on the person to be examined,
the designation of the materials to be produced as set forth in the subpoena
shall be attached to or included in the notice.
(2) Leave of court is not required for the taking of a deposition
by plaintiff if the notice (A) states that the person to be examined is
about to go out of the circuit where the action is pending and more than
one hundred (100) miles from the place of trial, or is about to go out
of the United States, or is bound on a voyage to sea, and will be unavailable
for examination unless the person's deposition is taken before expiration
of the (thirty) 30-day period, and (B) sets forth facts to support the
statement.
The plaintiff's attorney shall sign the notice, and the attorney's
signature constitutes a certification by the attorney that to the best
of the attorney's knowledge, information, and belief the statement and
supporting facts are true. The sanctions provided by Rule 11 are applicable
to the certification.
If a party shows that when the party was served with notice under
this subdivision (b)(2) the party was unable through the exercise of diligence
to obtain counsel to represent the party at the taking of the deposition,
the deposition may not be used against the party.
(3) The court may for cause shown enlarge or shorten the time for
taking the deposition.
(4) The parties may stipulate in writing or the court may upon motion
order that the testimony at a deposition be recorded by other than stenographic
means. The stipulation or order shall designate the person before whom
the deposition shall be taken, the manner of recording, preserving, and
filing the deposition, and may include other provisions to assure that
the recorded testimony will be accurate and trustworthy. A party may arrange
to have a stenographic transcription made at the party's own expense. Any
objections under subdivision (c), any changes made by the witness, the
witness's signature identifying the deposition as the witness's own or
the statement of the officer that is required if the witness does not sign,
as provided in subdivision (e), and the certification of the officer required
by subdivision (f) shall be set forth in a writing to accompany a deposition
recorded by nonstenographic means.
(5) The notice to a party deponent may be accompanied by a request
that the party, at the taking of a deposition, produce and permit inspection
and copying of designated books, papers, documents, or tangible things
which constitute or contain matters within the scope of Rule 26(b). The
party deponent may, within five (5) days after service of the notice, serve
upon the party taking the deposition, written objection to inspection or
copying of any or all of the designated materials. If objection is made,
the party taking the deposition shall not be entitled to inspect the materials
except pursuant to an order of the court. The party taking the deposition
may move at any time for an order under Rule 37(a) with respect to any
objection to the request or any part thereof, or any failure to produce
or permit inspection as requested.
(6) A party may in the party's notice and in a subpoena name as
the deponent a public or private corporation or a partnership or association
or governmental agency and describe with reasonable particularity the matters
on which examination is requested. In that event, the organization so named
shall designate one or more officers, directors or managing agents, or
other persons who consent to testify on its behalf, and may set forth,
for each person designated, the matters on which the person will testify.
A subpoena shall advise a nonparty organization of its duty to make
such a designation. The persons so designated shall testify as to matters
known or reasonably available to the organization. This subdivision (b)(6)
does not preclude taking a deposition by any other procedure authorized
in these rules.
(7) The parties may stipulate in writing or the court may upon motion
order that a deposition be taken by telephone. For the purposes of this
rule and Rules 28(a), 37(a)(1), 37(b)(1) and 45(a), a deposition taken
by telephone is taken in the circuit and at the place where the deponent
is to answer questions propounded to the deponent. Rule 30(b)
Interrogatories
Any party may serve upon any other party written interrogatories
to be answered by the party served or, if the party served is a public
or private corporation or a partnership or association or governmental
agency, by any officer or agent, who shall furnish such information as
is available to the party. Interrogatories may, without leave of court,
be served upon the plaintiff after commencement of the action and upon
any other party with or after service of the summons and complaint upon
that party.
(1) Each interrogatory shall be answered separately and fully in
writing under oath, unless it is objected to, in which event the objecting
party shall state the reasons for objection and shall answer to the extent
the interrogatory is not objectionable. (2) The party answering interrogatories
shall repeat each interrogatory immediately before the answer or objection.
The answers are to be signed by the person making them and the objections
signed by the attorney making them. (3) The party upon whom the interrogatories
have been served shall serve a copy of the answers, or objections within
30 days after the service of the interrogatories, except that a defendant
must serve answers or objections within 30 days after the service of the
interrogatories upon him or within 45 days after the summons and complaint
have been served upon him, whichever is longer. A shorter or longer time
may be directed by the court or, in the absence of such an order, agreed
to in writing by the parties subject to Rule 29. (4) All grounds for an
objection to an interrogatory shall be stated with specificity. Any ground
not stated in a timely objection is waived unless the party's failure to
object is excused by the court for good cause shown. (5) The party submitting
the interrogatories may move for an order under Rule 37(a) with respect
to any objection to or other failure to answer an interrogatory. Rule 33
Production
Any party may serve on any other party a request (1) to produce
and permit the party making the request, or someone acting on the requestor's
behalf, to inspect and copy, any designated documents (including writings,
drawings, graphs, charts, photographs, phono-records, and other data compilations
from which information can be obtained, translated, if necessary, by the
respondent through detection devices into reasonably usable form), or to
inspect and copy, test, or sample any tangible things which constitute
or contain matters within the scope of Rule 26(b) and which are in the
possession, custody or control of the party upon whom the request is served;
or (2) to permit entry upon designated land or other property in the possession
or control of the party upon whom the request is served for the purpose
of inspection and measuring, surveying, photographing, testing, or sampling
the property or any designated object or operation thereon, within the
scope of Rule 26(b). Rule 34(a)
The request may, without leave of court, be served upon the plaintiff
after commencement of the action and upon any other party with or after
service of the summons and complaint upon that party. The request shall
set forth the items to be inspected either by individual item or by category,
and describe each item and category with reasonable particularity. The
request shall specify a reasonable time, place, and manner of making the
inspection and performing the related acts.
The party upon whom the request is served shall serve a written
response within thirty (30) days after the service of the request, except
that a defendant may serve a response within forty-five (45) days after
service of the summons and complaint upon that defendant. The court may
allow a shorter or longer time. The response shall state, with respect
to each item or category, that inspection and related activities will be
permitted as requested unless the request is objected to, in which event
the reasons for objection shall be stated. If objection is made to part
of an item or category, the part shall be specified. The party submitting
the request may move for an order under Rule 37(a) with respect to any
objection to or other failure to respond to the request or any part thereof,
or any failure to permit inspection as requested.
A party who produces documents for inspection shall produce them
as they are kept in the usual course of business or shall organize and
label them to correspond with the categories in the request. Rule 34(b)
Physical and Mental Examinations of Persons
When the mental or physical condition (including the blood group)
of a party, or of a person in the custody or under the legal control of
a party, is in controversy, the court in which the action is pending may
order the party to submit to a physical or mental examination by a suitably
licensed or certified examiner or to produce for examination the person
in the party's custody or legal control. The order may be made only on
motion for good cause shown and upon notice to the person to be examined
and to all parties and shall specify the time, place, manner, conditions,
and scope of the examination and the person or persons by whom it is to
be made. Rule 35(a)
(1) If requested by the party against whom an order is made under
Rule 35(a) or the person examined, the party causing the examination to
be made shall deliver to the requesting party a copy of a detailed written
report of the examiner setting out the examiner's findings, including results
of all tests made, diagnoses and conclusions, together with like reports
of all earlier examinations of the same condition. After delivery the party
causing the examination shall be entitled upon request to receive from
the party against whom the order is made a like report of any examination,
previously or thereafter made, of the same condition, unless, in the case
of a report of examination of a person not a party, the party shows that
the party is unable to obtain it. The court on motion may make an order
against a party requiring delivery of a report on such terms as are just,
and, if an examiner fails or refuses to make a report, the court may exclude
the examiner's testimony if offered at trial.
(2) By requesting and obtaining a report of the examination so ordered
or by taking the deposition of the examiner, the party examined waives
any privilege the party may have in that action or any other involving
the same controversy, regarding the testimony of every other person who
has examined or may thereafter examine the party in respect of the same
mental or physical condition.
(3) This subdivision applies to examinations made by agreement of
the parties, unless the agreement expressly provides otherwise. This subdivision
does not preclude discovery of a report of an examiner or the taking of
a deposition of the examiner in accordance with the provisions of any other
rule. Rule 35(b)
Requests for Admissions
A party may serve upon any other party a written request for the
admission, for purposes of the pending action, of the truth of any matters
within the scope of Rule 26(b) set forth in the request that relate to
statements or opinions of fact or the application of law to fact, including
the genuineness of any documents described in the request. Copies of documents
shall be served with the request unless they have been or are otherwise
furnished or made available for inspection and copying. The request may,
without leave of court, be served upon the plaintiff after commencement
of the action and upon any other party with or after service of the summons
and complaint upon that party.
Each matter of which an admission is requested shall be separately
set forth. The matter is admitted unless, within 30 days after service
of the request, the party to whom the request is directed serves upon the
party requesting the admission a written answer or objection addressed
to the matter, signed by the party or by his attorney. However, a defendant
shall have 30 days after service of the request or 45 days after he has
been served with the summons and complaint to answer, whichever time is
longer. These time periods may be shortened or lengthened by the court.
If objection is made, the reasons therefor shall be stated. The party answering
requests for admissions shall repeat each request immediately before the
answer or objection. The answer shall specifically admit or deny the matter
or set forth in detail the reasons why the answering party cannot truthfully
admit or deny the matter. A denial shall fairly meet the substance of the
requested admission, and when good faith requires that a party qualify
his answer or deny only a part of the matter of which an admission is requested,
he shall specify so much of it as is true and qualify or deny the remainder.
An answering party may not give lack of information or knowledge as a reason
for failure to admit or deny unless he states that he has made reasonable
inquiry and that the information known or readily obtainable by him is
insufficient to enable him to admit or deny. A party who considers that
a matter of which an admission has been requested presents a genuine issue
for trial may not, on that ground alone, object to the request; he may,
subject to the provisions of Rule 37(c), deny the matter or set forth reasons
why he cannot admit or deny it.
The party who has requested the admissions may move to determine
the sufficiency of the answers or objections. Unless the court determines
that an objection is justified, it shall order that an answer be served.
If the court determines that an answer does not comply with the requirements
of this rule, it may order either that the matter is admitted or that an
amended answer be served. The court may, in lieu of these orders, determine
that final disposition of the request be made at a pre-trial conference
or at a designated time prior to trial. The provisions of Rule 37(a)(4)
apply to the award of expenses incurred in relation to the motion.
If an attorney for a party to whom requests for admission are addressed
signs an answer, his signature shall be deemed his oath as to the correctness
of the answer and his specific authority to bind the party on whose behalf
he signs. Rule 36(a)
Compel Discovery
(a) Motion for Order Compelling Discovery. A party, upon
reasonable notice to all parties and all persons affected thereby, may
apply for an order compelling discovery as follows:
(1) Appropriate Court. An application for an order to a party may
be made to the court in which the action is pending, or, on matters relating
to a deposition, to the court in the place where the deposition is being
taken. An application for an order to a deponent who is not a party shall
be made to the court in the place where the deposition is being taken.
(2) Motion. If a deponent fails to answer a question propounded
or submitted under Rules 30 or 31, or a corporation or other entity fails
to make a designation under Rule 30(b)(6) or 31(a), or a party fails to
answer an interrogatory submitted under Rule 33, or if a party, in response
to a request for inspection submitted under Rule 34, fails to respond that
inspection will be permitted as requested, or fails to permit inspection
as requested, or if a party, in response to a request under Rule 35(c),
fails to provide an appropriate medical authorization, the discovering
party may move for an order compelling an answer, or a designation, or
an order compelling inspection in accordance with the request. The motion
shall include a statement that the movant has in good faith conferred or
attempted to confer with the person or party failing to make the discovery
in an effort to secure the information or material without court action.
When taking a deposition on oral examination, the proponent of the question
may complete or adjourn the examination before he applies for an order.
(3) Evasive or Incomplete Answer or Response. For purposes
of this subdivision, an evasive or incomplete answer or response is to
be treated as a failure to answer or respond. Rule 37
Domestic Actions Discovery Notes
If you require extra time to respond to discovery, you should ask
the other side for an extension in writing. It may also be necessary
to enter an order granting the extension to protect your rights.
Discovery questions are limited in number so select the most important
questions to ask the other side. Don't waste your requests writing
questions that you already know the answer to.