Account Title For Interest

State:
Multi-State
Control #:
US-00730BG
Format:
Word; 
Rich Text
Instant download

Description

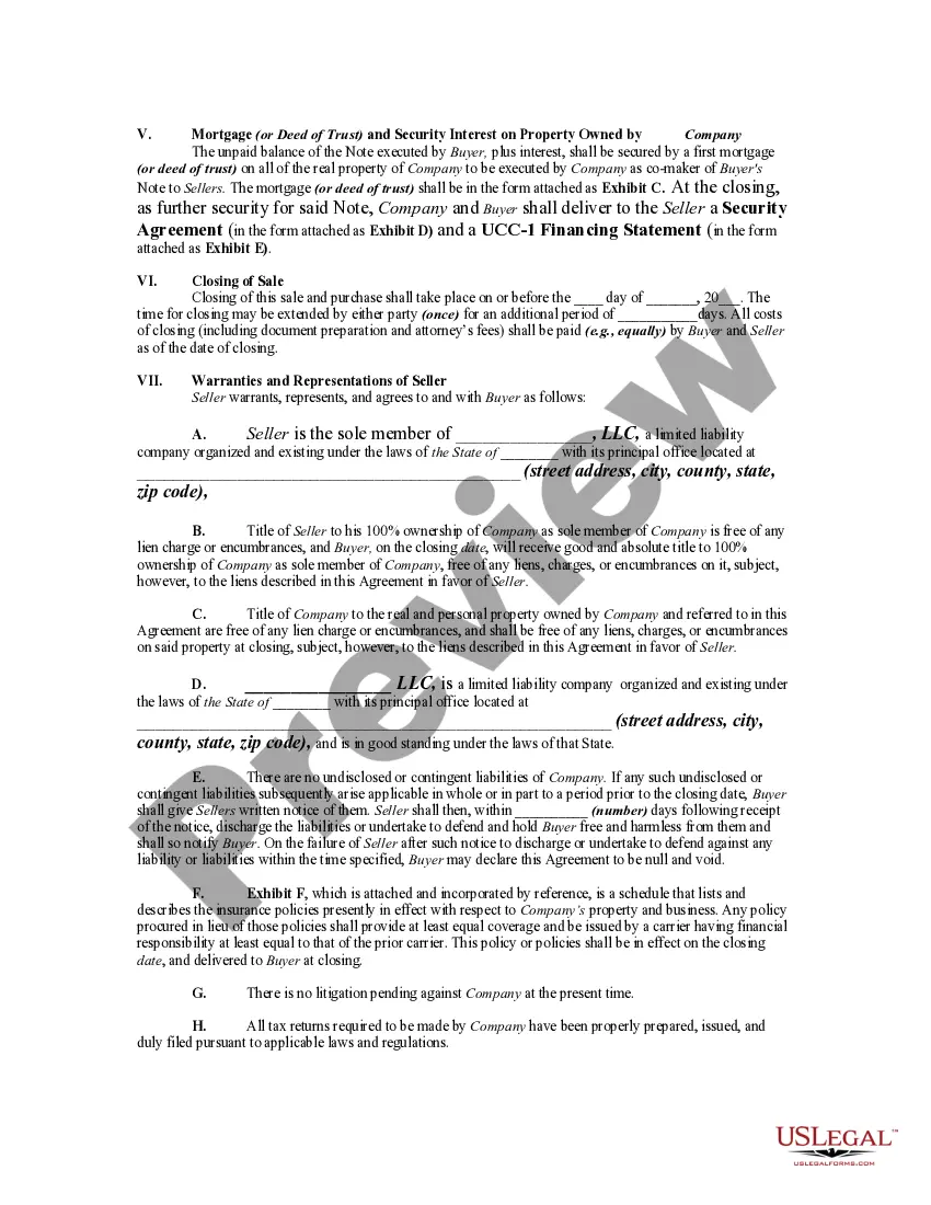
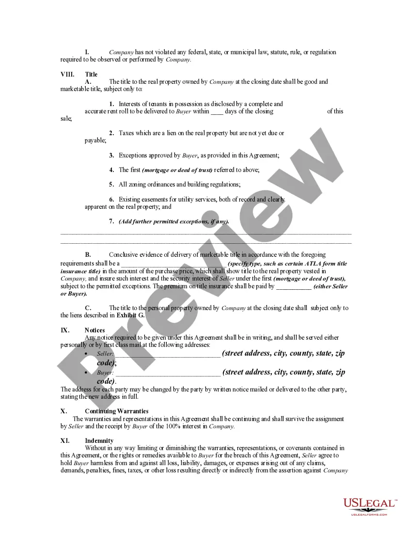
The Agreement for Sale of all Rights, Title and Interest in Limited Liability Company is a legal document designed for the sale of a member's interest in a limited liability company (LLC). The account title for interest highlights the seller's rights, title, and interest as the sole member of the company, fostering clarity in ownership transfer. The form outlines key features such as the purchase price, payment terms including a promissory note, and the closing procedures necessary for the transaction. Filling instructions emphasize providing accurate details for both the seller and buyer, securing the interests of both parties involved. The document specifies additional provisions, including warranties from the seller, indemnification clauses, and details about life insurance policies associated with the buyer’s life, which protects the seller's financial interest. This form is particularly useful for attorneys, partners, owners, associates, paralegals, and legal assistants engaged in business transactions, offering a standardized approach to facilitate such agreements. Moreover, it serves as a clear guide that can be adapted to different LLC sales, ensuring compliance with state laws while protecting all parties' interests.
Free preview
  • Preview Agreement for Sale of all Rights, Title and Interest in Limited Liability Company LLC
  • Preview Agreement for Sale of all Rights, Title and Interest in Limited Liability Company LLC
  • Preview Agreement for Sale of all Rights, Title and Interest in Limited Liability Company LLC
  • Preview Agreement for Sale of all Rights, Title and Interest in Limited Liability Company LLC
  • Preview Agreement for Sale of all Rights, Title and Interest in Limited Liability Company LLC

How to fill out Agreement For Sale Of All Rights, Title And Interest In Limited Liability Company LLC?

It’s well known that you cannot instantly become a legal expert, nor can you quickly learn how to prepare Account Title For Interest without having a distinct set of expertise.

Creating legal documents is a lengthy process that demands specific training and abilities. So why not entrust the preparation of the Account Title For Interest to the experts.

With US Legal Forms, one of the most extensive legal template collections, you can locate anything from court documents to templates for internal communication.

You can regain access to your forms from the My documents tab at any time. If you’re a current client, you can simply Log In, and find and download the template from the same tab.

Regardless of the purpose of your documents—whether it’s financial and legal, or personal—our platform has you covered. Try US Legal Forms now!

  1. Locate the document you require using the search bar at the top of the webpage.
  2. Preview it (if this option is available) and review the accompanying description to ascertain whether Account Title For Interest is what you’re looking for.
  3. Initiate your search again if you need a different document.
  4. Create a free account and select a subscription plan to acquire the template.
  5. Click Buy now. Once the payment is finalized, you can access the Account Title For Interest, fill it out, print it, and send or mail it to the intended recipients or organizations.

Form popularity

FAQ

Interest received is considered a credit in your financial records. This indicates an increase in your revenue, which is crucial for maintaining accurate financial statements. Using the correct account title for interest ensures that you track this income effectively.

Interest received is typically classified as a credit (CR) in your accounting records. This reflects the increase in your income due to the interest earned. When you establish your account title for interest, remember to align your entries with this classification.

Interest income can indeed serve as an account title in your accounting system. It helps categorize earnings specifically from interest, making it easier to track this income. By designating an account title for interest, you can enhance the clarity of your financial statements.

The title of your bank account usually reflects the account holder's name or the business name associated with it. You can choose a specific account title for interest if your account generates interest income. It's important to clearly define your accounts for effective financial management.

You typically record interest received in your income accounts under the appropriate account title for interest. This ensures your financial records reflect all forms of income accurately. Additionally, using a reliable accounting platform like US Legal Forms can simplify this process.

Interest can be recorded as either a debit or a credit, depending on the context. Generally, when you earn interest, it is a credit to your income accounts. For accurate accounting, make sure to understand how this affects your account title for interest.

When creating an account title for interest, it is important to be clear and specific. Use terms that accurately describe the nature of the account, such as 'Interest Income' or 'Interest Expense'. This clarity helps in organizing financial statements and ensures that anyone reviewing the documents understands the purpose of the account. A well-defined account title for interest simplifies tracking and reporting.

Trusted and secure by over 3 million people of the world’s leading companies

Account Title For Interest