New York Liens Search

State:
New York
Control #:
NY-CLOSE8
Format:
Word; 
Rich Text
Instant download

Description

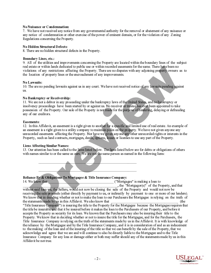
The New York Liens Search form is crucial for individuals involved in real estate transactions, particularly regarding the affidavits related to property sales. This document serves as a sworn statement by the owners, affirming their ownership and the absence of liens on the property, which ensures potential buyers and lenders that the property is free from encumbrances. Key features of the form include disclosures about marital status, payments for improvements, and the statement of no pending lawsuits or bankruptcies. Users must fill in specific details about the property, their ownership, and any outstanding obligations. For legal professionals such as attorneys, paralegals, and legal assistants, this form is essential in conducting thorough due diligence during property transactions. It helps mitigate risks associated with undisclosed liens that may affect the title. Additionally, understanding and correctly completing this affidavit assists in facilitating smooth closings and instilling confidence in buyers and mortgage lenders. The form provides clarity and protects all parties by clearly outlining responsibilities and the legal standing of the property in question.
Free preview
  • Preview Owner's or Seller's Affidavit of No Liens
  • Preview Owner's or Seller's Affidavit of No Liens
  • Preview Owner's or Seller's Affidavit of No Liens

Form popularity

FAQ

Yes, a lien can be placed on your car without your immediate knowledge. This often happens when a creditor files a lien for unpaid debts. To protect yourself, perform a New York liens search regularly to ensure no unexpected liens exist against your vehicle. UsLegalForms provides helpful tools to track these records easily.

In New York, anyone with a legal claim against someone's property may file a lien. This includes contractors, suppliers, and lenders who have not received payment. By conducting a New York liens search, you can identify who has filed liens against a property. UsLegalForms offers resources to help you navigate the filing process.

A New York state tax lien lasts for seven years from the date it is filed, unless it is satisfied or extended. This lien will affect your credit and property until fully resolved. To understand your situation better, conducting a New York liens search can shed light on any existing tax liens and their statuses. This knowledge empowers you to take the right steps towards resolution.

Obtaining a lien release in New York typically takes a few weeks, depending on the type of lien and the circumstances surrounding it. You need to submit the required documents to the appropriate authorities, and they will process your request. Staying organized and proactive can help speed up this process. For insights, a New York liens search can reveal the current status of your lien.

Yes, liens can expire in New York. Generally, a lien on real property lasts for ten years, but certain conditions may extend its duration. After the time period lapses, the lien becomes unenforceable. For the most accurate information, consider using a New York liens search to check specific cases.

New York lien law encompasses a set of regulations that establish how liens function, including their creation, enforcement, and expiration. This legal framework is essential for lenders, contractors, and property owners alike, as it impacts their rights and responsibilities. To stay updated on your rights under this law, conducting a New York liens search can be invaluable.

A lien typically lasts for one year in New York unless it is extended by appropriate action. If not renewed, the lien will expire, and you may lose your rights against the property. Staying informed through a New York liens search is important to track the lifespan of any liens that may affect your assets.

Lien Law Section 11 deals specifically with the requirements for filing a mechanic's lien in New York. This section outlines the necessary documentation, processes, and deadlines for contractors to secure their rights. For a seamless filing experience, utilize a New York liens search to ensure compliance and protect your investments.

New York's lien law governs how liens are created, maintained, and enforced. It sets out rules for various types of liens, including mechanic's liens and commercial property liens. To navigate these regulations effectively, a New York liens search is essential, as it helps you understand the lien landscape related to your interests.

The priority of liens in New York is determined by the order in which they are recorded. Generally, the first lien filed has the first priority, but there are exceptions, such as tax liens. Understanding this hierarchy is crucial for protecting your rights, and a New York liens search can provide clarity on existing liens and their priorities.

Trusted and secure by over 3 million people of the world’s leading companies

New York Liens Search