Plano Texas Terms of Use for Informational Website and Privacy Policy

State:
Multi-State
City:
Plano
Control #:
US-01599BG
Format:
Word; 
Rich Text
Instant download

Description

This form is a generic example that may be referred to when preparing such a form for your particular state. It is for illustrative purposes only. Local laws should be consulted to determine any specific requirements for such a form in a particular jurisdiction.

Free preview
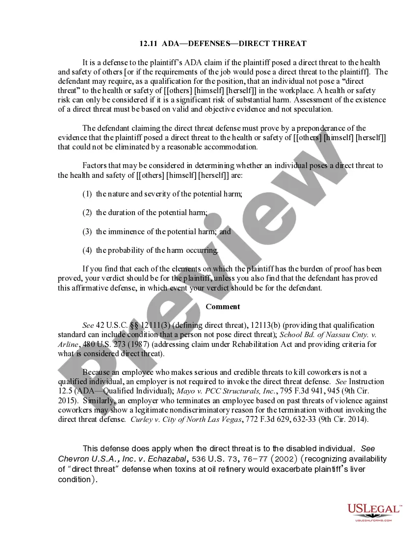
  • Preview Terms of Use for Informational Website and Privacy Policy
  • Preview Terms of Use for Informational Website and Privacy Policy
  • Preview Terms of Use for Informational Website and Privacy Policy
  • Preview Terms of Use for Informational Website and Privacy Policy
  • Preview Terms of Use for Informational Website and Privacy Policy
  • Preview Terms of Use for Informational Website and Privacy Policy
  • Preview Terms of Use for Informational Website and Privacy Policy
  • Preview Terms of Use for Informational Website and Privacy Policy
  • Preview Terms of Use for Informational Website and Privacy Policy
  • Preview Terms of Use for Informational Website and Privacy Policy
  • Preview Terms of Use for Informational Website and Privacy Policy

Form popularity

FAQ

To write a privacy policy for your website, begin by identifying what personal data you collect from users, such as names, emails, and payment details. Next, clearly explain how you use this data, including any third-party sharing and data protection measures. Ensure that your privacy policy complies with the Plano Texas Terms of Use for Informational Website and Privacy Policy, as local regulations may have specific requirements. Additionally, consider using a reliable service like uslegalforms to generate a comprehensive and legally sound privacy policy tailored to your needs.

A website privacy policy and terms and conditions are legal documents that define the relationship between you and your users. The privacy policy informs users about the information you gather, its purpose, and how you safeguard that data. Conversely, terms and conditions detail the rules for using your site, including user responsibilities and your rights. Crafting precise and user-friendly documents ensures alignment with the Plano Texas Terms of Use for Informational Website and Privacy Policy, providing clarity and protection for both parties.

Writing a privacy policy for your website involves several key steps. First, identify the types of personal information you collect and how you use it. Clearly state user rights regarding their data and your commitment to protecting their privacy. It is important to incorporate the guidelines outlined in the Plano Texas Terms of Use for Informational Website and Privacy Policy. Consider using resources like uslegalforms, which offer templates to help ensure you include all necessary components and comply with legal requirements.

To add a termly privacy policy to your website, begin by drafting a comprehensive document that covers data collection and usage practices. Once you have your policy ready, you can upload it to your website's designated section—often in the footer or within a dedicated 'Legal' page. Make sure to regularly update the Plano Texas Terms of Use for Informational Website and Privacy Policy to reflect any changes in your practices. Using platforms like uslegalforms can streamline this process by providing templates that you can customize easily.

Terms and conditions and a privacy policy serve essential roles for your website. The terms outline the rules users must agree to when using your site, while the privacy policy explains how you collect, use, and protect personal information. Together, they ensure transparency and build trust with your audience, aligning with the Plano Texas Terms of Use for Informational Website and Privacy Policy. Keeping your policies clear and accessible helps maintain compliance and enhances user experience.

You can write your own privacy policy, but ensuring it meets legal standards can be challenging. Using a template or professional guidance can help you cover necessary details clearly and comprehensively. The Plano Texas Terms of Use for Informational Website and Privacy Policy provide a solid framework that you can customize to suit your business needs.

Website terms and conditions govern how users can interact with your site, while a privacy policy focuses on how you handle user data. Terms and conditions outline user responsibilities, limitations, and liabilities, whereas the privacy policy details data collection, use, and protection practices. It’s essential to have both documents to ensure clear communication with your users.

Yes, privacy policies are often required by law, especially if your website interacts with users in certain regions. Laws vary by state and country, but generally, if you collect any personal information, you need to inform users about how their data is used. Embracing the Plano Texas Terms of Use for Informational Website and Privacy Policy is a proactive step toward compliance.

Legally, many jurisdictions require websites that collect personal data to have a privacy policy. Not having one may lead to non-compliance with laws such as the California Consumer Privacy Act or GDPR. Adopting the Plano Texas Terms of Use for Informational Website and Privacy Policy can help you meet these obligations and protect your business.

Yes, you need a privacy policy for your website, especially if you collect personal information from users. A privacy policy outlines how you manage user data, aligning your business practices with legal requirements. By including the Plano Texas Terms of Use for Informational Website and Privacy Policy, you show commitment to transparency and user rights.

Interesting Questions

Trusted and secure by over 3 million people of the world’s leading companies

Plano Texas Terms of Use for Informational Website and Privacy Policy