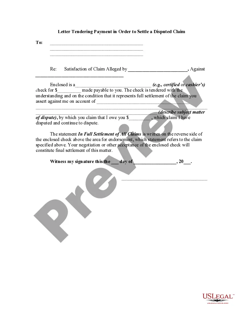
Irvine California Letter Tendering Payment in Order to Settle a Disputed Claim

State:
Multi-State
City:
Irvine
Control #:
US-01257BG
Format:
Word; 
Rich Text
Instant download

Description

Where a claim is disputed, and where the creditor fails to reject a check for a lesser amount remitted to the creditor by the debtor on the clear condition that it be accepted in full satisfaction, the acceptance on the part of the creditor amounts to an accord and satisfaction of the creditor's larger claim. No particular language is required to be used by a debtor in making a tender of a check in full settlement of a claim against the debtor, so long as the tender clearly indicates that acceptance by the creditor of the amount offered must be in full satisfaction of the claim.

Form popularity

FAQ

Obtained Win from Ellone in the Lunar Base. Win from the CC Group in the Ragnarok airship in endgame.

Kiros is the first card obtained from the Queen of Cards quest. It becomes available in the Deling City shopping arcade from a man in black who is part of the background rather than a character model after losing MiniMog to the Queen of Cards and sending her to Dollet.

Selphie Tilmitt is 17 years old and was born on July 16. Her height varies between 5'1 ½ and 5'2? (156-157 cm) depending on the official source. Her main weapons are oversized nunchaku, and her Limit Break is Slot. Selphie is also a SeeD operative, but she transferred to Balamb Garden to complete her field exam.

Kiros is the first card obtained from the Queen of Cards quest. It becomes available in the Deling City shopping arcade from a man in black who is part of the background rather than a character model after losing MiniMog to the Queen of Cards and sending her to Dollet.

Now the moonstone. Obviously is one of the items would cry for the exeter which is Irvine's ultimateMoreNow the moonstone. Obviously is one of the items would cry for the exeter which is Irvine's ultimate weapon and the best place to get this is on this three once you've returned from the moon. And this

You need to kill two levels of T-Rexaurs, 20-29 and levels 30-100. The T-Rexaurs level 20-29 drop Dragon Fang's, which are needed for Squall's Ultimate Weapon. The monsters tend to drop a lot of Dragon Fangs at once when they do drop them, so if you're lucky, you only need one lucky drop.

Her ultimate weapon is Shooting Star. As with other player characters, a Triple Triad card based on Rinoa can be obtained.

- Go to Deling City and play cards with General Caraway. Deliberately lose Ifrit to him. - Caraway's hand can now include Rinoa. Win it from him at your convenience.

Follow Selphie over the wall. By the entrace is the Weapons Monthly August, a draw point and Selphie's best friend. Selphie's best friend has the Selphie Card so keep playing with her until you win it (Although you cannot challenge her untill the Trabia Garden story-line is completed).

The Shooting Star is the ultimate weapon for Rinoa, and provides 28 attack and 107 hit rate. It is obtained through the junk shop by paying 1,000 gil and using Windmills x2, a Regen Ring, a Force Armlet, and Energy Crystal x2.

Interesting Questions

Trusted and secure by over 3 million people of the world’s leading companies

Irvine California Letter Tendering Payment in Order to Settle a Disputed Claim