Columbus Ohio Foundation Contract for Contractor

State:
Ohio
City:
Columbus
Control #:
OH-00462-3
Format:
Word; 
Rich Text
Instant download

This form is part of a form package!

Get all related documents in one bundle, so you don’t have to search separately.

Description

This form is designed for use between Foundation Contractors and Property Owners and may be executed with either a cost plus or fixed fee payment arrangement. This contract addresses such matters as change orders, work site information, warranty and insurance. This form was specifically drafted to comply with the laws of the State of Ohio.

Free preview
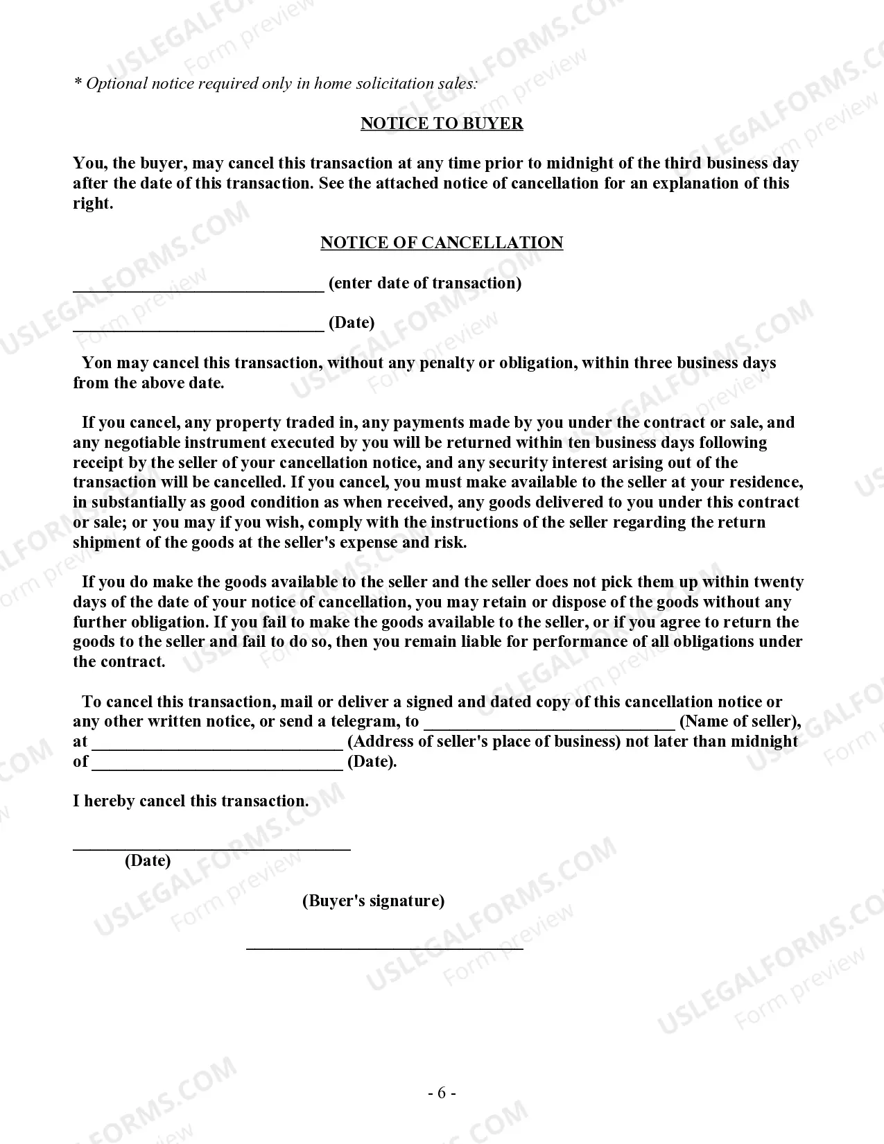
  • Preview Foundation Contract for Contractor
  • Preview Foundation Contract for Contractor
  • Preview Foundation Contract for Contractor
  • Preview Foundation Contract for Contractor
  • Preview Foundation Contract for Contractor
  • Preview Foundation Contract for Contractor
  • Preview Foundation Contract for Contractor

How to fill out Ohio Foundation Contract For Contractor?

Locating confirmed templates tailored to your regional regulations can be difficult unless you access the US Legal Forms library.

It’s an online repository of over 85,000 legal documents for both individual and business purposes, as well as various real-world situations.

All the forms are accurately organized by usage area and jurisdiction, making it as fast and simple as ABC to find the Columbus Ohio Foundation Contract for Contractor.

Providing your credit card information or utilizing your PayPal account to complete the subscription payment. Download the Columbus Ohio Foundation Contract for Contractor and save the template on your device so you can proceed with its completion and access it in the My documents menu of your profile whenever you need it again.

  1. Verify the Preview mode and document description.
  2. Ensure you’ve selected the right one that satisfies your requirements and aligns completely with your local jurisdiction regulations.
  3. Look for an alternative template, if necessary.
  4. If you spot any discrepancies, use the Search tab above to find the correct one. If it works for you, proceed to the next step.
  5. Acquire the document.

Form popularity

FAQ

However, just about every contracting business needs to carry a business license issued by the state. Businesses can register for a license through the Ohio Secretary of State.

Without a specialty contractor or general contractor license, a handyman can only perform basic projects such as painting and basic repairs. In some cities in Ohio, regulations prevent unlicensed handyman professionals from charging more than $1,000 per job and working on commercial properties.

Show a list of registered subcontractors you work with on projects. Provide proof of business entity forms if you apply as a business, or your Social Security or Tax Identification Number if you apply as an individual. Pay a $130 application fee.

Fixed price construction contracts, also commonly referred to as ?lump sum? or ?stipulated sum? contracts, are the most common types of construction contracts. As its name suggests, under a fixed price contract a contractor agrees to construct a project for a ?fixed? or agreed upon price.

The bill authorizes the Ohio Construction Industry Licensing Board (OCILB) to impose on unlicensed contractors a civil penalty of up to $1,000 per day per violation, with the Industrial Compliance Operating Fund (Fund 556) gaining revenue from this new fining authority.

Ohio general contractor license Contractor license requirements?a quick debrief. Becoming a general contractor in Columbus, Ohio. Step 1: Fulfill the basic requirements. Step 2: Pass the ICC exam. Step 3: Secure liability insurance. Step 4: Prepare your application materials. Start your career as a licensed contractor.

If you are interested in becoming a general contractor who works on commercial construction projects involving HVAC, electrical, plumbing, hydronics or refrigeration, you'll need to get a statewide license issued by the Ohio Construction Industry Licensing Board (OCILB).

Licenses issued by the Board are Contractor Licenses and also referred to as Master Licenses. The Ohio Contractor Licensing Law (ORC 4740), requires building and health departments who have a registration in place to require the State License before issuing commercial permits.

The 3 Types of Contractors General Contractors. The term ?general contractor? is used in two ways, in my experience.Turn-Key (Specialty) Services. If you don't like the idea of paying someone to manage your schedules and hire sub-contractors, you can do this work yourself.Freelance Workers.

3P Contractors mean individuals under an Integrator's direct supervision and control. 3P Contractors are engaged to perform services under a contract that includes appropriate non-disclosure and other promises sufficient to satisfy that Integrator's obligations under the Sublicense.

Interesting Questions

Trusted and secure by over 3 million people of the world’s leading companies

Columbus Ohio Foundation Contract for Contractor