We’re currently experiencing issues due to an outage with Amazon Web Services. Our team is monitoring the situation and will restore access soon.
We’re currently experiencing issues due to an outage with Amazon Web Services. Our team is monitoring the situation and will restore access soon.

Cary North Carolina New Resident Guide

Category:
State:
North Carolina
City:
Cary
Control #:
NC-RE-01
Format:
Word
Instant download

Description

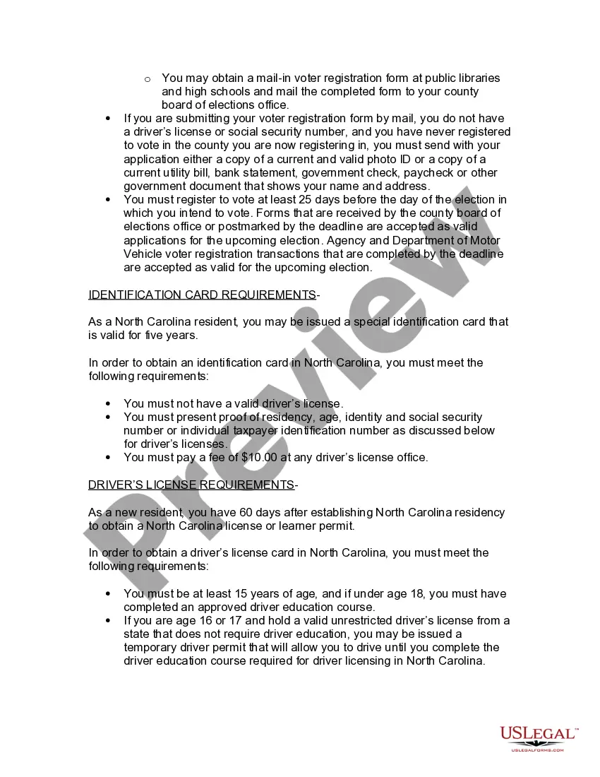
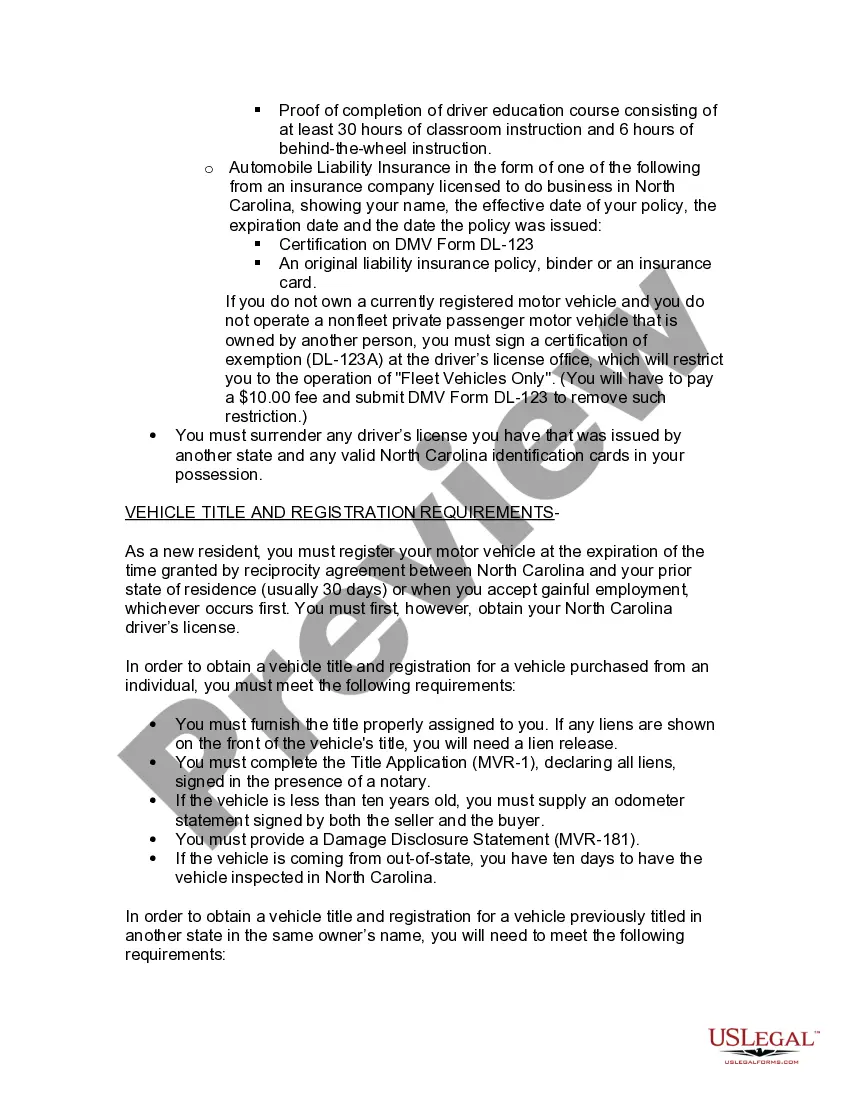
This useful New Resident Guide is an informational form that details for new residents the various state requirements for residency, voter registration, identification cards, drivers licenses, and vehicle title and registration in your new resident state.
Free preview
  • Preview New Resident Guide
  • Preview New Resident Guide
  • Preview New Resident Guide
  • Preview New Resident Guide
  • Preview New Resident Guide
  • Preview New Resident Guide

How to fill out North Carolina New Resident Guide?

Are you seeking a reliable and cost-effective provider of legal forms to purchase the Cary North Carolina New Resident Guide? US Legal Forms is your top choice.

Whether you require a straightforward agreement to establish rules for living with your partner or a collection of documents to advance your divorce through the legal system, we have you covered. Our platform offers over 85,000 current legal document templates for individual and business use. All templates we provide access to are not generic and are tailored based on the needs of specific states and counties.

To retrieve the form, you must Log In to your account, find the necessary template, and click the Download button beside it. Please remember that you can download your previously acquired form templates at any time from the My documents tab.

Is this your first visit to our site? No worries. You can set up an account in just a few minutes, but before that, ensure you do the following.

Now you can register your account. Following that, select the subscription option and continue to payment. Once payment is completed, download the Cary North Carolina New Resident Guide in any available file format. You can revisit the website anytime and redownload the form without any additional charges.

Locating current legal documents has never been simpler. Try US Legal Forms now, and put an end to spending hours learning about legal documents online once and for all.

  1. Check if the Cary North Carolina New Resident Guide aligns with the laws of your state and locality.
  2. Review the description of the form (if available) to understand who and what the form is intended for.
  3. Start the search again if the template does not fit your legal needs.

Form popularity

FAQ

A good salary in Cary, NC, generally starts around $60,000 and can increase significantly based on experience and industry. Many residents earn more, particularly in sectors like technology and finance. Our Cary North Carolina New Resident Guide offers a comprehensive overview of the local job market, so you can determine what salary aligns with your career goals. Knowing the average salaries in your field will empower you to make informed decisions as you settle into your new home.

Cary, NC is widely regarded as an excellent place to live, thanks to its family-friendly atmosphere and access to quality schools. The town offers a blend of suburban comfort and urban amenities, making it appealing for both young professionals and families. If you're considering a move, our Cary North Carolina New Resident Guide can help you explore local parks, community events, and amenities that enhance the living experience. You'll find that Cary's welcoming community plays a significant role in its charm.

Cary, North Carolina, is affectionately known as the 'Heart of the Triangle' due to its central location within the Research Triangle area. This nickname reflects Cary's vibrant community and close-knit environment, making it an attractive destination for new residents. Explore the Cary North Carolina New Resident Guide for more insights about living in this wonderful town.

In North Carolina, there's no set number of days that automatically grants you residency. However, your intent to remain in the state plays a crucial role. The Cary North Carolina New Resident Guide outlines factors that influence this determination, helping you understand what you need to establish your residency effectively.

Proof of residency in North Carolina can include various documents such as a lease agreement, utility bill, or bank statement that displays your name and address. It's important to gather multiple forms of proof, as different agencies may have different requirements. Refer to the Cary North Carolina New Resident Guide for a comprehensive list of acceptable documents.

To change your residency to North Carolina, you typically need to move your primary residence to the state and fulfill certain legal requirements. This may include obtaining a North Carolina driver's license and registering your car in the state. Utilize the Cary North Carolina New Resident Guide for detailed information on the process and necessary steps.

You can prove residency in North Carolina by providing documentation that shows your name and address. Common documents include utility bills, bank statements, and lease agreements. The Cary North Carolina New Resident Guide can help you understand which documents are most effective and accepted by various agencies.

To declare residency in North Carolina, you need to establish your intent to stay in the state. You can do this by obtaining a North Carolina driver's license or ID, registering your vehicle, and registering to vote. Review the Cary North Carolina New Resident Guide for specific steps and requirements to ensure a smooth transition.

Transferring your driver's license to North Carolina requires a few simple steps. First, gather documents such as your current license, proof of residency, and personal identification. Then, visit a local DMV office and complete the application process, which may include passing a vision test. For a detailed walkthrough, you can consult the Cary North Carolina New Resident Guide for valuable tips on the process.

To transfer your driver's license to North Carolina, you must bring your current license, proof of identity, and proof of residency. Be prepared to complete a vision test. Once you have all necessary documentation, visit your local Department of Motor Vehicles office to initiate the transfer. The Cary North Carolina New Resident Guide outlines the specific documents required for a successful transfer.

Interesting Questions

Trusted and secure by over 3 million people of the world’s leading companies

Cary North Carolina New Resident Guide