Washington Deed & Purchaser's Assignment of Contract

State:
Washington
Control #:
WA-SKU-2803
Format:
PDF
Instant download
This website is not affiliated with any governmental entity
Public form

Description

Deed & Purchaser's Assignment of Contract

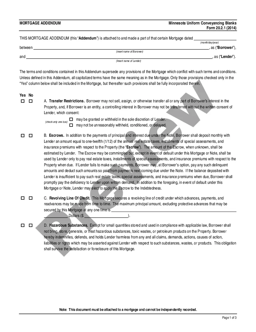
Washington Deed & Purchaser's Assignment of Contract is a type of real estate transaction document used in Washington State to transfer ownership of a property from one party to another. It is commonly used when an individual or entity (the "assignor") assigns their rights and obligations under a contract to a third party (the "assignee") in exchange for money or other consideration. The document is signed by the assignor and the assignee and is then recorded with the county in which the property is located. There are two main types of Washington Deed & Purchaser's Assignment of Contract: Short Form Assignment and Long Form Assignment. The Short Form Assignment is a straightforward document that outlines the transfer of the assignor's rights and obligations under the contract to the assignee. The document must include the name and address of the assignor, the assignee, the property's address, the assignor's signature, and the assignee's signature. The Long Form Assignment is more detailed and includes additional information such as the terms of the contract, the assignor's title, the assignee's title, the date the contract was assigned, the date the contract was recorded, and any other necessary information. The document must also include the name and address of both parties, the property's address, the assignor's signature, and the assignee's signature.

How to fill out Washington Deed & Purchaser's Assignment Of Contract?

How much time and resources do you often spend on drafting official documentation? There’s a better way to get such forms than hiring legal experts or spending hours browsing the web for an appropriate template. US Legal Forms is the leading online library that offers professionally designed and verified state-specific legal documents for any purpose, such as the Washington Deed & Purchaser's Assignment of Contract.

To obtain and complete an appropriate Washington Deed & Purchaser's Assignment of Contract template, follow these simple steps:

  1. Examine the form content to ensure it complies with your state regulations. To do so, check the form description or take advantage of the Preview option.
  2. In case your legal template doesn’t satisfy your needs, find another one using the search bar at the top of the page.
  3. If you are already registered with our service, log in and download the Washington Deed & Purchaser's Assignment of Contract. Otherwise, proceed to the next steps.
  4. Click Buy now once you find the correct blank. Choose the subscription plan that suits you best to access our library’s full service.
  5. Create an account and pay for your subscription. You can make a payment with your credit card or through PayPal - our service is totally safe for that.
  6. Download your Washington Deed & Purchaser's Assignment of Contract on your device and fill it out on a printed-out hard copy or electronically.

Another advantage of our library is that you can access previously acquired documents that you safely store in your profile in the My Forms tab. Get them at any moment and re-complete your paperwork as often as you need.

Save time and effort completing formal paperwork with US Legal Forms, one of the most reliable web solutions. Join us today!

Form popularity

FAQ

Check the County Assessor's Office City Hall is a fantastic place to search as well. In fact, not only can you look up property owners, but you can also discover the history of a property, too.

Anyone can ask to see written records produced by Washington State government agencies including the Department of Health. To find out more, choose from the following options: Submit a public records request through our DOH Public Records Portal.

A Deed is a legal document that conveys interest in real property from one person or entity to another. The three types of deeds approved by Washington State Legislature are; the Warranty Deed, Bargain and Sale Deed and the Quit Claim Deed.

How do I get a copy of my deed? You can request a copy of a recorded deed from the Recording Division by phone, in person or by mail. Please visit our Search Recorded Documents page for more information.

Check the County Assessor's Office City Hall is a fantastic place to search as well. In fact, not only can you look up property owners, but you can also discover the history of a property, too.

Online: Certified copies of recorded documents may be requested online from Washington State Digital Archives or from Clark County's Official Records Search page. Payment may be by debit or credit card and additional fees apply.

The basic requirements for a deed in Washington are simple: it must be in writing, contain a legal description of the property, be signed by the grantor, and the grantor's signature must be notarized.

Trusted and secure by over 3 million people of the world’s leading companies

Washington Deed & Purchaser's Assignment of Contract