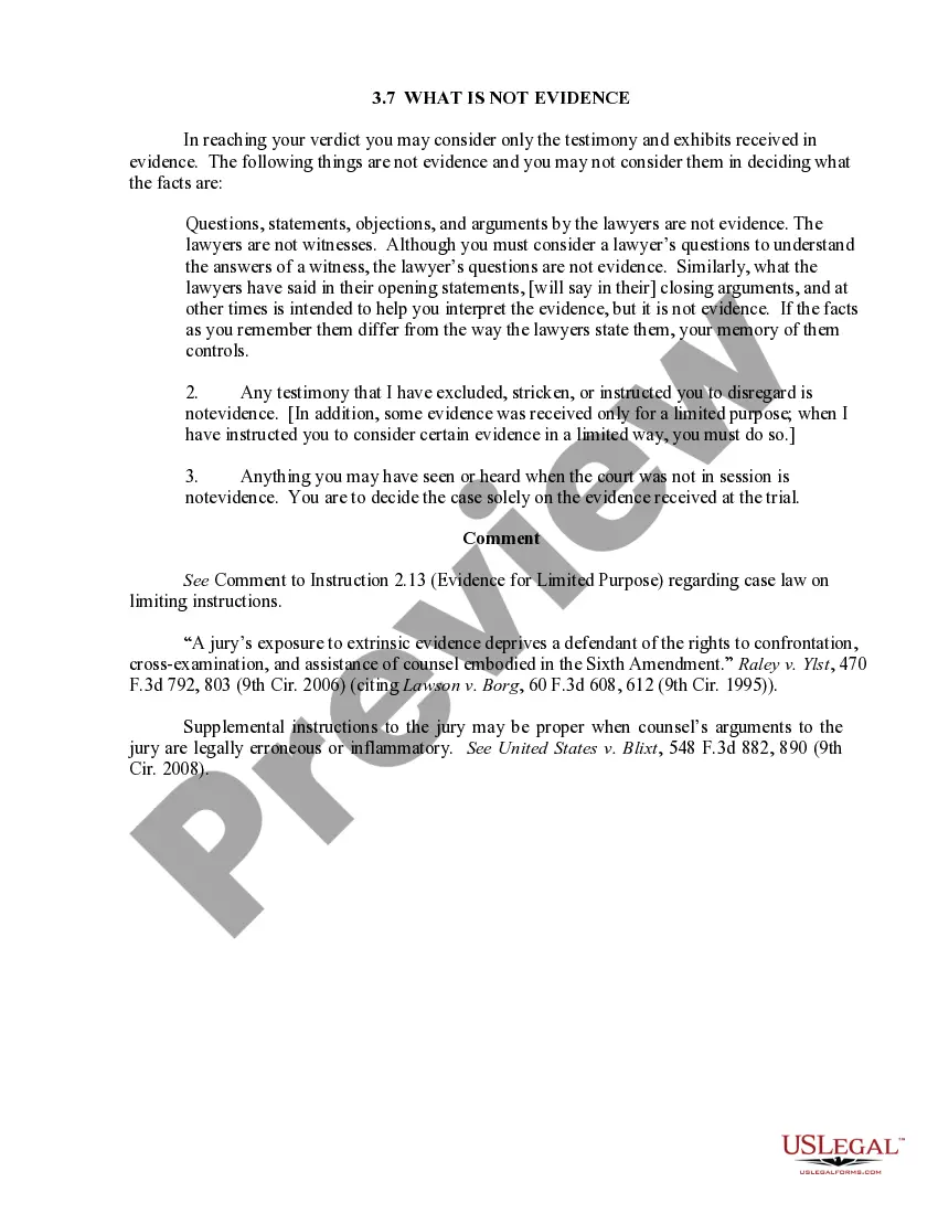
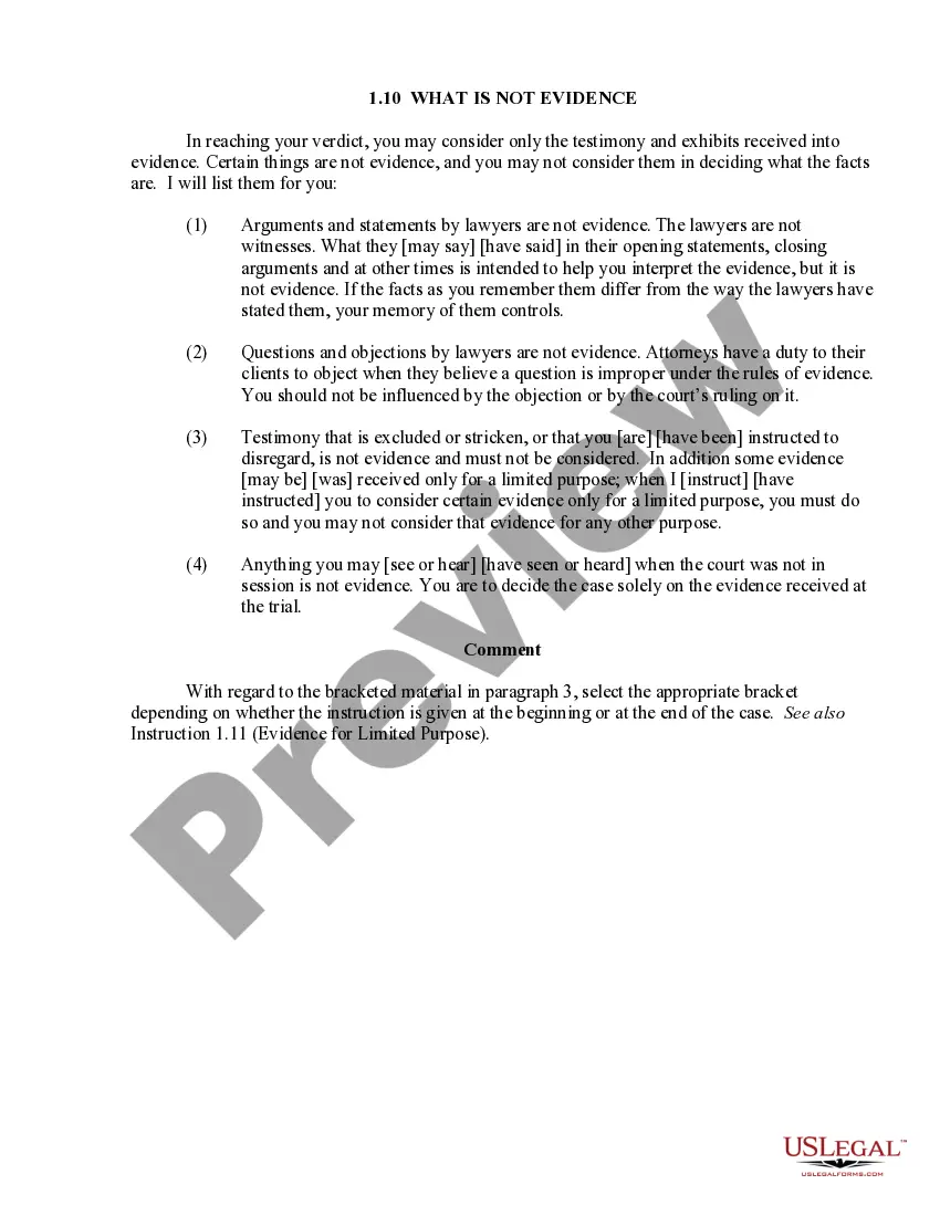
1.06 What is Not Evidence

State:
Multi-State
Control #:
US-JURY-7THCIR-1-06
Format:
Word
Instant download
This website is not affiliated with any governmental entity
Public form

Description

Official Pattern Jury Instructions adopted by Federal 7th Circuit Court. All converted to Word format. Please see the official site for addional information. www.ca7.uscourts.gov/pattern-jury-instructions/pattern-jury.htm

1.06 What is Not Evidence is a concept used in legal proceedings that sets out what items or facts cannot be used in court as evidence. It is important for lawyers and judges to understand what is not evidence so that they do not allow irrelevant or prejudicial information into a trial. Types of 1.06 What is Not Evidence include hearsay, opinion, argument, speculation, and character evidence. Hearsay is any statement made by someone outside the courtroom that is not made under oath, and it cannot be used in court as evidence. Opinion is an individual's subjective beliefs about a topic, and it cannot be used as evidence. Argument is when someone attempts to convince another person of a certain point of view, and it cannot be used as evidence. Speculation is when someone tries to guess the outcome of an event, and it cannot be used as evidence. Character evidence is any information about a person's character, and it is not allowed to be used as evidence in a court of law.

How to fill out 1.06 What Is Not Evidence?

US Legal Forms is the most simple and profitable way to locate appropriate legal templates. It’s the most extensive web-based library of business and individual legal documentation drafted and checked by legal professionals. Here, you can find printable and fillable templates that comply with federal and local laws - just like your 1.06 What is Not Evidence.

Getting your template takes just a few simple steps. Users that already have an account with a valid subscription only need to log in to the website and download the form on their device. Later, they can find it in their profile in the My Forms tab.

And here’s how you can obtain a professionally drafted 1.06 What is Not Evidence if you are using US Legal Forms for the first time:

  1. Read the form description or preview the document to make certain you’ve found the one corresponding to your requirements, or locate another one utilizing the search tab above.
  2. Click Buy now when you’re sure of its compatibility with all the requirements, and judge the subscription plan you like most.
  3. Create an account with our service, log in, and pay for your subscription using PayPal or you credit card.
  4. Choose the preferred file format for your 1.06 What is Not Evidence and download it on your device with the appropriate button.

After you save a template, you can reaccess it at any time - simply find it in your profile, re-download it for printing and manual completion or upload it to an online editor to fill it out and sign more effectively.

Benefit from US Legal Forms, your trustworthy assistant in obtaining the required official documentation. Try it out!

Form popularity

FAQ

Hearsay evidence generally is inadmissible unless it falls within an exception or exclusion set out in the Federal Rules, a federal statute, or a Supreme Court rule.

Evidence an item or information proffered to make the existence of a fact more or less probable. Evidence can take the form of testimony, documents, photographs, videos, voice recordings, DNA testing, or other tangible objects.

A lawyer is required to give an honest opinion about the actual consequences that appear likely to result from a client's conduct. The fact that a client uses advice in a course of action that is criminal or fraudulent does not, of itself, make a lawyer a party to the course of action.

Questions, statements, objections, and arguments by the lawyers are not evidence. The lawyers are not witnesses. Although you must consider a lawyer's questions to understand the answers of a witness, the lawyer's questions are not evidence.

Sufficient evidence is admitted evidence that has enough overall weight, in terms of relevance and credibility, to legally justify a particular conclusion. Sufficient evidence to support the legitimacy, effectiveness and necessity of the measure to achieve a specific health outcome.

There are four types evidence by which facts can be proven or disproven at trial which include: Real evidence; Demonstrative evidence; Documentary evidence; and. Testimonial evidence.

Primary tabs. In contrast to admissible evidence, inadmissible evidence is evidence that may not be introduced to a factfinder (usually the judge or jury) to prove the party's claim.

Evidence is irrelevant when it does not relate to or affect the matter in controversy.

Trusted and secure by over 3 million people of the world’s leading companies

1.06 What is Not Evidence