South Dakota Trademark License Representation Agreement

State:
Multi-State
Control #:
US-13096BG
Format:
Word; 
Rich Text
Instant download

Description

A trademark license agreement allows the licensee to use (but not own) the licensor's trademark in connection with agreed-on products or services.
Free preview
  • Preview Trademark License Representation Agreement
  • Preview Trademark License Representation Agreement
  • Preview Trademark License Representation Agreement
  • Preview Trademark License Representation Agreement
  • Preview Trademark License Representation Agreement
  • Preview Trademark License Representation Agreement
  • Preview Trademark License Representation Agreement
  • Preview Trademark License Representation Agreement
  • Preview Trademark License Representation Agreement
  • Preview Trademark License Representation Agreement
  • Preview Trademark License Representation Agreement

How to fill out Trademark License Representation Agreement?

Finding the appropriate legal document template can be challenging.

Certainly, there are numerous templates available online, but how do you locate the correct one you need.

Utilize the US Legal Forms website. This service provides thousands of templates, including the South Dakota Trademark License Representation Agreement, suitable for both business and personal use.

You can review the document using the Review option and examine the document details to confirm it suits your needs.

  1. All templates are reviewed by professionals and comply with federal and state regulations.
  2. If you are already registered, Log In to your account and click the Obtain button to download the South Dakota Trademark License Representation Agreement.
  3. Use your account to search through the legal documents you have previously purchased.
  4. Navigate to the My documents section of your account to retrieve an additional copy of the document you need.
  5. If you are a new user of US Legal Forms, here are simple steps to follow.
  6. First, ensure you have selected the appropriate form for your city/state.

Form popularity

FAQ

The licensing agreement should explain what the licensee can do with the license. It should say whether the license is exclusive or not. It should also discuss whether the licensor gets to use the license or cedes all rights to the licensee.

Licensing agreements are found in many different industries. An example of a licensing agreement is a contract between the copyright holders of software and another company, allowing the latter to use the computer software for their daily business operations.

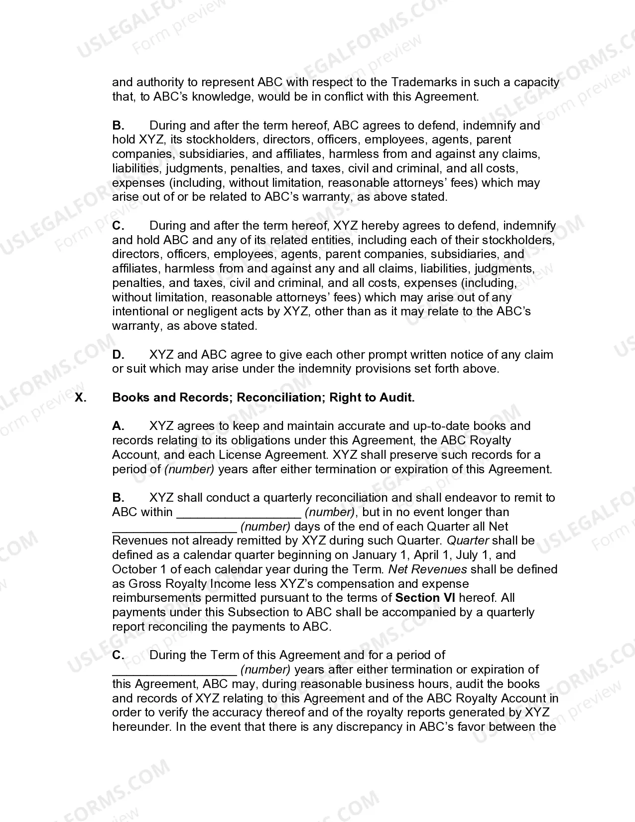
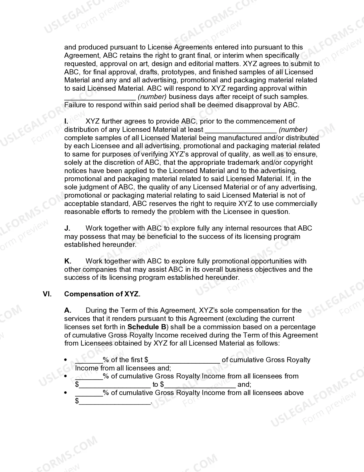
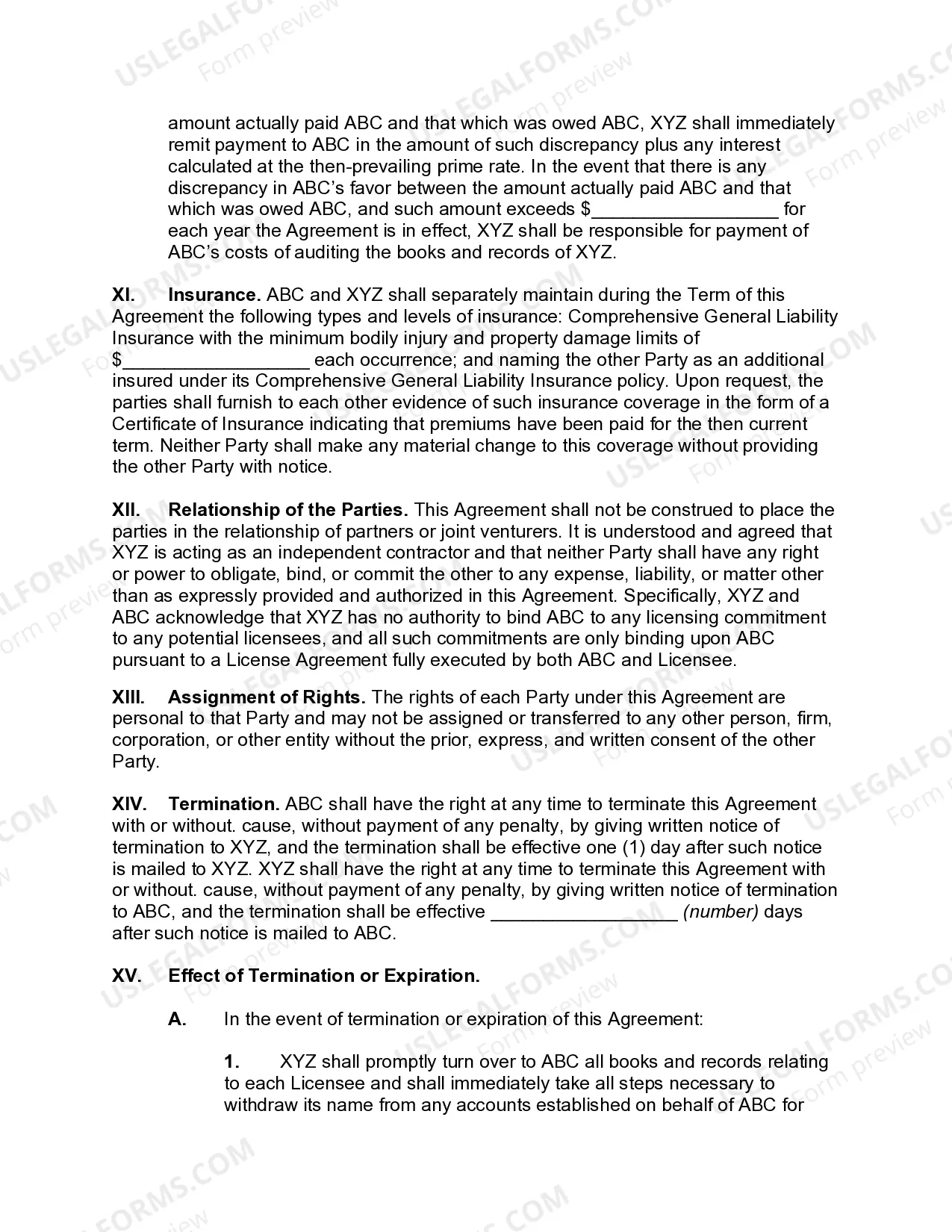
In trademark licensing, a trademark owner (Licensor) grants permission to another (Licensee) to use that trademark on mutually agreed terms and conditions.

A trademark licensing agreement is a legal contract between a trademark owner and another party that have agreed to use the trademark on preapproved terms decided between the contracting parties.

Practitioners and licensing executives often refer to three basic types of voluntary licenses: non-exclusive, sole, and exclusive. A non-exclusive licence allows the licensor to retain the right to use the licensed property and the right to grant additional licenses to third parties.

A licensing agreement is a contract between two parties (the licensor and licensee) in which the licensor grants the licensee the right to use the brand name, trademark, patented technology, or ability to produce and sell goods owned by the licensor.

Most licensing agreements will be valid only for a certain length of time....Scope of the AgreementExclusivity.Territory Rights.Guarantees of Sales.

A licensing agreement allows one party (the licensee) to use and/or earn revenue from the property of the owner (the licensor). Licensing agreements generate revenues, called royalties, earned by a company for allowing its copyrighted or patented material to be used by another company.

Examples of licenses include a company using the design of a popular character, e.g. Mickey Mouse, on their products. Another example would be a clothing manufacturer like Life is Good licensing its designs and brand in a certain country to a local company.

Types of licensing agreement The unique feature of this type of agreement is that even the licensor is excluded to use or exploit the licensed property during the term of the agreement. Copyright, trademark and patent licenses are the best examples of an exclusive license agreement.

Trusted and secure by over 3 million people of the world’s leading companies

South Dakota Trademark License Representation Agreement