Puerto Rico Employee Evaluation Form for SEO Expert

State:
Multi-State
Control #:
US-AHI-234-89
Format:
Word; 
Rich Text
Instant download

Description

This AHI performance review is used to review the non-exempt employee based on how well the requirements of the job are filled.
Free preview
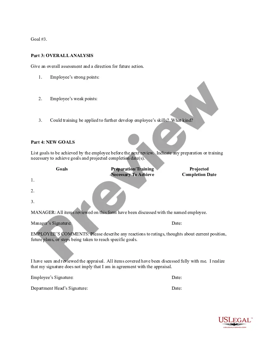
  • Preview Employee Evaluation Form for SEO Expert
  • Preview Employee Evaluation Form for SEO Expert
  • Preview Employee Evaluation Form for SEO Expert

How to fill out Employee Evaluation Form For SEO Expert?

You are able to commit hours on the Internet searching for the authorized papers design that meets the state and federal specifications you need. US Legal Forms offers a huge number of authorized varieties which are examined by professionals. It is simple to down load or produce the Puerto Rico Employee Evaluation Form for SEO Expert from your service.

If you already have a US Legal Forms accounts, it is possible to log in and click on the Obtain switch. Afterward, it is possible to total, revise, produce, or sign the Puerto Rico Employee Evaluation Form for SEO Expert. Each and every authorized papers design you purchase is the one you have forever. To have an additional version associated with a purchased type, check out the My Forms tab and click on the corresponding switch.

If you work with the US Legal Forms site the first time, follow the basic directions under:

  • Very first, make sure that you have chosen the correct papers design for your state/area of your liking. Look at the type explanation to make sure you have picked the right type. If available, take advantage of the Review switch to search throughout the papers design also.
  • In order to get an additional version in the type, take advantage of the Lookup field to find the design that suits you and specifications.
  • Upon having discovered the design you desire, simply click Get now to move forward.
  • Find the pricing prepare you desire, type your references, and sign up for a merchant account on US Legal Forms.
  • Full the transaction. You may use your Visa or Mastercard or PayPal accounts to purchase the authorized type.
  • Find the file format in the papers and down load it to your system.
  • Make modifications to your papers if possible. You are able to total, revise and sign and produce Puerto Rico Employee Evaluation Form for SEO Expert.

Obtain and produce a huge number of papers themes while using US Legal Forms site, that provides the most important assortment of authorized varieties. Use specialist and express-specific themes to take on your organization or specific demands.

Form popularity

FAQ

4 Tips for Writing an Effective Self-EvaluationBe specific and provide examples.Back up your contributions with metrics.Frame weaknesses as opportunities.Keep track of your accomplishments throughout the year.Communication and Cooperation.Achievements.Teamwork and Collaboration.Creativity and Innovation.More items...?

What to Include in an Employee Evaluation Form?Employee and reviewer information. The form must have basic information about both parties involved.Review period.An easy-to-understand rating system.Evaluation points.Goals.Extra space for comments.Signatures.Scorecard.More items...?

How to write an effective performance evaluation commentReview past and present performance. If you only do formal reviews once a year, it's easy to provide feedback only for things that are fresh in your mind.Be honest and clear.Provide concrete examples.Choose your words carefully.End on a positive note.

How to write an employee evaluationGather employee information. Gather required information related to the employee to get the full picture of their value to the company.List employee responsibilities.Use objective language.Use action verbs.Compare performance ratings.Ask open-ended questions.Use a point system.

How to write an effective performance evaluation commentReview past and present performance. If you only do formal reviews once a year, it's easy to provide feedback only for things that are fresh in your mind.Be honest and clear.Provide concrete examples.Choose your words carefully.End on a positive note.

A. "You communicate your ideas and vision clearly so others can understand it easily and quickly." b. "He appreciates the efforts taken by others to achieve a target and encourages them to be better."

How to write an employee evaluationReview the employee's job description. Get a current copy of each person's job description and review the requirements.Highlight areas of improvement.Compare strengths and weaknesses.Recommend actionable goals.Provide constructive feedback.Welcome employee input.

How to get started writing your self-evaluationReflect on feedback.Make a list of your top accomplishments and identify areas for improvements.Gather analytics to show impact.Make a commitment to improve.Set a SMART goal for yourself.Create a plan of action.Communication.Job Performance.More items...

How to write an employee evaluationReview the employee's job description. Get a current copy of each person's job description and review the requirements.Highlight areas of improvement.Compare strengths and weaknesses.Recommend actionable goals.Provide constructive feedback.Welcome employee input.

Here is a list of steps to follow when developing and implementing an employee self-evaluation: Choose a format. Include relevant questions. Distribute regularly....Choose a format. Employee self-evaluations are generally structured in two formats:Include relevant questions.Distribute regularly.Review answers with employees.

Trusted and secure by over 3 million people of the world’s leading companies

Puerto Rico Employee Evaluation Form for SEO Expert