Letter to Client - Interrogatories to Answer
Complaint for auto and truck accident
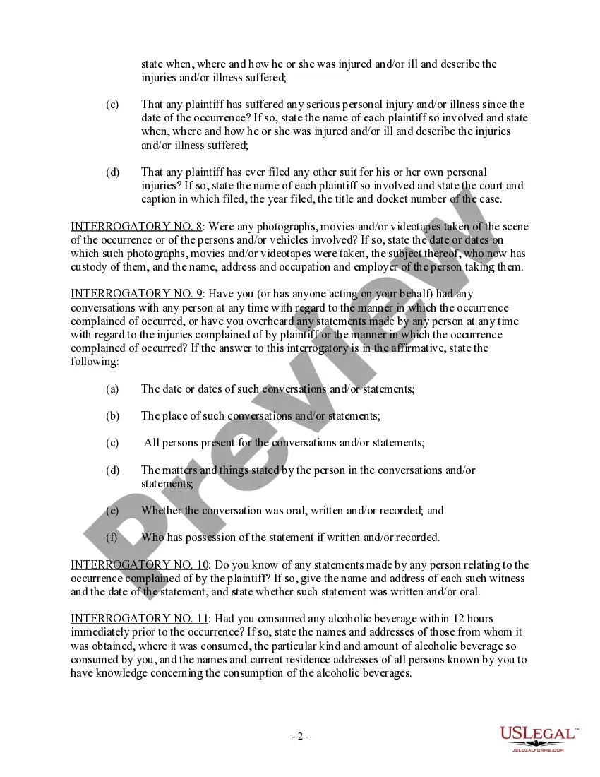
Interrogatories - Personal Injury - Auto Accident
Interrogatories to Defendant - Personal Injury
Interrogatories to Defendant - First Set - Personal Injury
Agreement between Internet Site Owner and Content Contributor or Provider
Iowa Unsecured Installment Payment Promissory Note for Fixed Rate
Trial Use License Agreement of Computer Software Program
Consent to Release of Employment Information and Release
Notice by Lessee of Force Majeure with Events Preventing Ability to Perform Operations on A Lease
Notice of Availability of Hearing Assistance Devices
Department of Corrections Certification Regarding Sex Offender Registry and Child Abuse Offender Registry (if required by the court)
Sample Letter to State Bar
Sample Letter for Customer Appreciation
Bid Proposal form for Construction of Building
Creating documents isn't the most uncomplicated job, especially for people who rarely work with legal papers. That's why we advise utilizing correct Pennsylvania Interrogatories to Defendant for Motor Vehicle Accident samples made by professional lawyers. It allows you to avoid troubles when in court or dealing with formal institutions. Find the documents you want on our website for high-quality forms and accurate information.
If you’re a user having a US Legal Forms subscription, just log in your account. When you’re in, the Download button will immediately appear on the template page. Soon after downloading the sample, it will be stored in the My Forms menu.
Customers without an activated subscription can quickly get an account. Follow this brief step-by-step help guide to get the Pennsylvania Interrogatories to Defendant for Motor Vehicle Accident:
After completing these simple steps, you are able to fill out the form in your favorite editor. Check the filled in details and consider requesting a legal professional to examine your Pennsylvania Interrogatories to Defendant for Motor Vehicle Accident for correctness. With US Legal Forms, everything becomes easier. Try it out now!
Motions to Compel If a party doesn't respond to interrogatories or requests for production, then the party seeking those answers must file a motion to compel with the court. If the court grants the motion to compel, then the party who objected or failed to answer must then do so.
Motions to Compel If a party doesn't respond to interrogatories or requests for production, then the party seeking those answers must file a motion to compel with the court. If the court grants the motion to compel, then the party who objected or failed to answer must then do so.
The plaintiff must respond by the deadline. There are different ways to make sure you get each kind of discovery if the plaintiff does not give it to you by the deadline. If the plaintiff does not respond to the court order, then you can file a Motion to Dismiss and you may win your case.
In short, the Examination for Discovery is a legal term for fact finding. This step is also known simply as discovery. It can also be described as a deposition or as an oral interrogatory. The discovery process allows both parties to gather important information to assess the validity of a claim.
Responding to Form InterrogatoriesAnswer each question, being careful to answer each subpart, if one exists. Read the question carefully, and answer only what it asks. You may attach exhibits, if necessary. The response must be verified, meaning you must swear that the responses given are true.
You must answer each interrogatory separately and fully in writing under oath, unless you object to it. You must explain why you object. You must sign your answers and objections.
So, can you refuse to answer interrogatories? The answer is, no, you may not. You must answer a Rule 33 interrogatory within 30 days of being served with it. That answer must either permit inspection of the requested information or object to the production of the information for a specific reason.
Your answers to the interrogatories should usually be short, clear, and direct and should answer only the question that is being asked. This is not the time to set out your entire case or defense to the other side. Take the time to make sure your answers are correct and truthful.
Massachusetts Sale of a Business Package
Health Care Proxy Living Will
Massachusetts Legal Documents for the Guardian of a Minor Package
Massachusetts New State Resident Package
Revocation of Health Care Proxy
Note: This summary is not intended to be an all inclusive summary of discovery law in Pennsylvania, but does include basic and other information.
Definitions
Discovery:
A procedure designed to allow disclosure of information between Plaintiffs and Defendants. Written questions, oral questioning, document production and admissions requests are generally allowed. Discovery was designed to to prevent trial by ambush.
Interrogatories:
Written questions from Plaintiff to Defendant, or from Defendant to Plaintiff. The questions are mailed to the Plaintiff, Defendant or the attorney for response in writing. The answers or responses are usually due between 20-30 days.
Deposition:
A procedure where verbal questions are asked a Plaintiff or Defendant for immediate response. Depositions are usually recorded by a court reporter, who swears the person to tell the truth before questioning begins.
Production of Documents:
The method of obtaining documents from the other party relevant to the case such as all documents a party intends to introduce at trial.
Requests for Admissions:
Written questions where you request the other party to admit or deny some relevant fact.
Objections:
Objections may be made to all discovery questions if the questions are not relevant, or likely to lead to the discovery of relevant evidence.
Civil Procedure Rules:
Virtually all states have adopted a version of civil procedure rules which include rules dealing with discovery.
Pennsylvania Rules of Civil Procedure
Pennsylvania has adopted the Pennsylvania Rules of Civil Procedure which contain rules governing discovery.
Discovery Methods:
Subject to the provisions of this chapter, any party may obtain discovery by one or more of the following methods: depositions upon oral examination (Rule 4007.1) or written interrogatories (Rule 4004); written interrogatories to a party (Rule 4005); production of documents and things and entry for inspection or other purposes (Rule 4009); physical and mental examinations (Rule 4010); and requests for admission (Rule 4014). Rule 4001
Scope:
Subject to the provisions of Rules 4003.2 to 4003.5 inclusive and Rule 4011, a party may obtain discovery regarding any matter involved in the pending action, whether it relates to the claim or defense of the party seeking discovery or to the claim or defense of any other party, including the existence, description, nature, content, custody, condition and location of any books, documents, or other tangible things and the identity and location of persons having knowledge of any discoverable matter. Rule 4003.1(a)
Experts:
(a) Discovery of facts known and opinions held by an expert, otherwise discoverable under the provisions of Rule 4003.1 and acquired or developed in anticipation of litigation or for trial, may be obtained as follows:
1. A party may through interrogatories require (a) any other party to identify each person whom the other party expects to call as an expert witness at trial and to state the subject matter on which the expert is expected to testify and (b) the other party to have each expert so identified by him state the substance of the facts and opinions to which the expert is expected to testify and a summary of the grounds for each opinion. The party answering the interrogatories may file as his or her answer a report of the expert or have the interrogatories answered by the expert. The answer or separate report shall be signed by the expert.
2. Upon cause shown, the court may order further discovery by other means, subject to such restrictions as to scope and such provisions concerning fees and expenses as the court may deem appropriate.
3. A party may not discover facts known or opinions held by an expert who has been retained or specially employed by another party in anticipation of litigation or preparation for trial and who is not expected to be called as a witness at trial, except on order of court as to any other expert upon a showing of exceptional circumstances under which it is impracticable for the party seeking discovery to obtain facts or opinions on the same subject by other means, subject to such restrictions as to scope and such provisions concerning fees and expenses as the court may deem appropriate.
(b) An expert witness whose identity is not disclosed in compliance with subdivision (a)(1) of this rule shall not be permitted to testify on behalf of the defaulting party at the trial of the action. However, if the failure to disclose the identity of the witness is the result of extenuating circumstances beyond the control of the defaulting party, the court may grant a continuance or other appropriate relief.
(c) To the extent that the facts known or opinions held by an expert have been developed in discovery proceedings under subdivision (a)(1) or (2) of this rule, the direct testimony at the trial may not be inconsistent with or go beyond the fair scope of his or her testimony in the discovery proceedings as set forth in his deposition, answer to an interrogatory, separate report, or supplement thereto. However, he shall not be prevented from testifying as to facts or opinions on matters on which he has not been interrogated in the discovery proceedings. Rule 4003.5
Sequence and Timing of Discovery:
Unless the court upon motion, for the convenience of parties and witnesses and in the interests of justice, orders otherwise, methods of discovery may be used in any sequence and the fact that a party is conducting discovery, whether by deposition or otherwise, shall not operate to delay any other party's discovery. Rule 4007.3
Supplementation of Responses:
A party or an expert witness who has responded to a request for discovery with a response that was complete when made is under no duty to supplement the response to include information thereafter acquired, except as follows:
1. A party is under a duty seasonably to supplement his response with respect to any question directly addressed to the identity and location of persons having knowledge of discoverable matters and the identity of each person expected to be called as an expert witness at trial, the subject matter on which he is expected to testify and the substance of his testimony as provided in Rule 4003.5(a)(1).
2. A party or an expert witness is under a duty seasonably to amend a prior response if he or she obtains information upon the basis of which he or she knows that (a) the response was incorrect when made, or (b) the response though correct when made is no longer true.
3. A duty to supplement responses may be imposed by order of the court, agreement of the parties, or at any time prior to trial through new requests to supplement prior responses. Rule 4007.4
Depositions
Procedure in Deposition By Oral Examination:
(a) A party desiring to take the deposition of any person upon oral examination shall give reasonable notice in writing to every other party to the action, except that no notice need be given a defendant who was served by publication and has not appeared in the action. A party noticed to be deposed shall be required to appear without subpoena.
(b) The notice shall conform with the requirements of subdivision (c) of this rule and of Rule 4007.2(b) and (c) where appropriate and shall state the time and place of taking the deposition and the name and address of each person to be examined if known, and, if the name is not known, a general description sufficient to identify him or the particular class or group to which the deponent belongs.
(c) The purpose of the deposition and matters to be inquired into need not be stated in the notice unless the action has been commenced by writ of summons and the plaintiff desires to take the deposition of any person upon oral examination for the purpose of preparing a complaint. In such case the notice shall include a brief statement of the nature of the cause of action and of the matters to be inquired into.
(d) 1. If the person to be examined is a party, the notice may include a request made in compliance with Rule 4009.1 et seq., for the production of documents and tangible things at the taking of the deposition.
2. If the person to be examined is not a party, and is to be served with a subpoena duces tecum to produce designated materials, the notice shall specify the materials to be produced. The materials shall be produced at the deposition and not earlier, except upon the consent of all parties to the action.
(e) A party may in the notice and in a subpoena, if issued, name as the deponent a public or private corporation or a partnership or association or governmental agency and describe with reasonable particularity the matters to be inquired into and the materials to be produced. In that event, the organization so named shall serve a designation of one or more officers, directors, or managing agents, or other persons who consent to testify on its behalf, and may set forth, for each person designated, the matters on which each person will testify. A subpoena shall advise a non-party organization of its duty to make such a designation. The person or persons so designated shall testify as to matters known or reasonably available to the organization. This subdivision (e) does not preclude taking a deposition by any other procedure authorized in these rules. Rule 4007.1
When Leave of Court Required.
(a) Except as provided by Rules 4001(a) and 4003.5(a)(2) and by subdivisions (b) and (d) of this rule, a deposition may be taken without leave of court.
(b) Leave of court must be obtained if a plaintiff's notice schedules the taking of a deposition prior to the expiration of thirty (30) days after service of the original process and the defendant has not served a notice of taking a deposition or otherwise sought discovery, unless the party or person to be examined is aged or infirm, or about to leave the county in which the action is pending for a place outside the Commonwealth or a place more than one hundred (100) miles from the courthouse in which the action is pending.
(c) If the plaintiff proceeds under subdivision (b)(1) or (2) of this rule the notice of taking the deposition shall set forth the facts which support taking it without leave of court. The plaintiff's attorney shall sign the notice and this signature shall constitute a certification by him that to the best of the attorney's knowledge, information and belief the statement of facts is true.
(d) The deposition of a person confined in prison may be taken only by leave of court on such terms as the court prescribes. Rule 4007.2
Oral Examination Limitation:
If a deposition is to be taken by oral examination more than one hundred miles from the courthouse, the court upon motion may make an order requiring the payment of reasonable expenses, including attorney's fees, as the court shall deem proper.
Rule 4008
Limitation Of Scope Of Discovery and Deposition:
No discovery or deposition shall be permitted which:
(a) is sought in bad faith;
(b) would cause unreasonable annoyance, embarrassment, oppression, burden or expense to the deponent or any person or party;
(c) is beyond the scope of discovery as set forth in Rules 4003.1 through 4003.6; or
(d) [Rescinded];
(e) would require the making of an unreasonable investigation by the deponent or any party or witness.
(f) [Rescinded.] Rule 4011
Videotaped Depositions:
(a) Any deposition taken upon oral examination may be recorded by videotape. Except as provided by this rule, the rules of this chapter governing the practice and procedure in depositions and discovery shall apply.
1. Any party may have a videotape deposition recorded simultaneously by stenographic means as provided by this chapter.
2. A videotape deposition may be used in court only if accompanied by a transcript of the deposition.
(b) Every notice or subpoena for the taking of a videotape deposition shall state:
1. that it is to be videotaped,
2. the name and address of the person whose deposition is to be taken,
3. the name and address of the officer before whom it is to be taken,
4. whether the deposition is to be simultaneously recorded by stenographic means, and
5. the name and address of the videotape operator and of his employer. The operator may be an employee of the attorney taking the deposition.
(c) The deposition shall begin by the operator stating on camera (1) his or her name and address, (2) the name and address of his or her employer, (3) the date, time and place of the deposition, (4) the caption of the case, (5) the name of the witness, and (6) the party on whose behalf the deposition is being taken. The officer before whom the deposition is taken shall then identify himself or herself and swear the witness on camera. At the conclusion of the deposition the operator shall state on camera that the deposition is concluded. When the length of the deposition requires the use of more than one tape, the end of each tape and the beginning of each succeeding tape shall be announced on camera by the operator.
(d) The deposition shall be timed by a digital clock on camera which shall show continually each hour, minute and second of each tape of the deposition.
(e) No signature of the witness shall be required.
(f) The attorney for the party taking the deposition shall take custody of and be responsible for the safeguarding of the videotape and shall permit the viewing of and shall provide a copy of the videotape or the audio portion thereof upon the request and at the cost of a party.
(g) In addition to the uses permitted by Rule 4020 a videotape deposition of a medical witness or any witness called as an expert, other than a party, may be used at trial for any purpose whether or not the witness is available to testify.
(h) At a trial or hearing that part of the audio portion of a videotape deposition which is offered in evidence and admitted, or which is excluded on objection, shall be transcribed in the same manner as the testimony of other witnesses. The videotape shall be marked as an exhibit and may remain in the custody of the court. Rule 4017.1
Interrogatories
(a) 1. A party taking a deposition by written interrogatories shall serve a copy of the interrogatories upon each party or the attorney of record of each party. Within thirty days thereafter the party so served may serve cross interrogatories upon each party or the attorney of record of each party. Subsequent interrogatories shall be similarly served within ten days.
2. The interrogatories shall contain a notice stating the name or descriptive title and address of the officer before whom the deposition is to be taken, the time and place of taking the deposition and the name and address of each person to be examined if known, and, if the name is not known, a general description sufficient to identify each person to be examined or the particular class or group to which each person belongs. A deposition upon written interrogatories may be taken of a public or private corporation or a partnership or association or governmental agency in accordance with the provisions of Rule 4007.1(e).
(b) Objections to the form of interrogatories are waived unless filed and served upon the party propounding them within the time allowed for serving the succeeding cross or other interrogatories or within ten (10) days after service of the last interrogatories. All other objections may be made at the trial except as otherwise provided by Rule 4016.
(c) A copy of all interrogatories for the taking of a deposition shall be transmitted to the person designated to take the deposition, who shall promptly give notice to the witness and thereafter propound the interrogatories to the witness and complete, certify and send the deposition by registered mail to the party taking the deposition, attaching thereto the copy of the interrogatories.
(d) When the deposition is received by the party taking the deposition, the party shall promptly give notice thereof to all other parties.
(e) After the service of interrogatories and prior to the taking of the testimony of the deponent, the court in which the action is pending, on motion promptly made by a party or a deponent, may make an order in accordance with Rule 4012, or an order that the deposition shall not be taken before the officer designated in the notice, or that it not be taken except upon oral examination. Rule 4004
Written Interrogatories to a Party.
(a) Subject to the limitations provided by Rule 4011, any party may serve upon any other party written interrogatories to be answered by the party served or, if the party served is a public or private corporation or similar entity or a partnership or association, by any officer or agent, who shall furnish such information as is available to the party. Interrogatories may be served upon any party at the time of service of the original process or at any time thereafter. Interrogatories which are to be served prior to service of the complaint shall be limited to the purpose of preparing a complaint and shall contain a brief statement of the nature of the cause of action. Interrogatories shall be prepared in such fashion that sufficient space is provided immediately after each interrogatory or subsection thereof for insertion of the answer or objection.
(b) [Rescinded.]
(c) Interrogatories may relate to any matters which can be inquired into under Rules 4003.1 through 4003.5 inclusive and the answers may be used to the same extent as provided in Rule 4020 for the use of the deposition of a party. Interrogatories may be served after a deposition has been taken, and a deposition may be taken after interrogatories have been answered, but the court, on motion of the party interrogated, may make such protective order as justice requires. The number of interrogatories or of sets of interrogatories to be served may be limited as justice requires to protect the party from unreasonable annoyance, embarrassment, oppression, burden or expense. Rule 4005
Answers to Written Interrogatories by a Party.
(a) 1. Answers to interrogatories shall be in writing and verified. The answers shall be inserted in the spaces provided in the interrogatories. If there is insufficient space to answer an interrogatory, the remainder of the answer shall follow on a supplemental sheet.
2. Each interrogatory shall be answered fully and completely unless objected to, in which event the reasons for the objection shall be stated in lieu of an answer. The answers shall be signed by the person making them, and the objections shall be signed by the attorney making them. The statement of an objection shall not excuse the answering party from answering all remaining interrogatories to which no objection is stated. The answering party shall serve a copy of the answers, and objections if any, within thirty days after the service of the interrogatories. The party submitting the interrogatories may move the court to dismiss an objection and direct that the interrogatory be answered.
3.[Rescinded.]
(b) Where the answer to an interrogatory may be derived or ascertained from the records of the party upon whom the interrogatory has been served or from an examination, audit or inspection of that party's records, or from a compilation, abstract or summary based thereon, and the burden of deriving or ascertaining the answer would be substantially the same for the party serving the interrogatory as for the party served, a sufficient answer to such an interrogatory shall be to specify the records from which the answer may be derived or ascertained and to afford the party serving the interrogatory reasonable opportunity to examine, audit or inspect those records and to obtain copies, compilations, abstracts or summaries. Rule 4006
Production
Any party may serve a request upon a party pursuant to Rules 4009.11 and 4009.12 or a subpoena upon a person not a party pursuant to Rules 4009.21 through 4009.27 to produce and permit the requesting party, or someone acting on the party's behalf, to inspect and copy any designated documents (including writings, drawings, graphs, charts, photographs, electronically created data, and other compilations of data from which information can be obtained, translated, if necessary, by the respondent party or person upon whom the request or subpoena is served through detection or recovery devices into reasonably usable form), or to inspect, copy, test or sample any tangible things which constitute or contain matters within the scope of Rules 4003.1 through 4003.6 inclusive and which are in the possession, custody or control of the party or person upon whom the request or subpoena is served; and may do so one or more times. Rule 4009.1
Request Upon a Party for Production of Documents and Things.
(a) The request may be served without leave of court upon the plaintiff after commencement of the action and upon any other party with or after service of the original process upon that party.
(b) The request shall set forth in numbered paragraphs the items to be produced either by individual item or by category, and describe each item or category with reasonable particularity. Each paragraph shall seek only a single item or a single category of items. The request shall be prepared in such fashion that sufficient space is provided immediately after each paragraph for insertion of the answer. Rule 4009.11
Answer to Request Upon a Party for Production of Documents and Things.
(a) The party upon whom the request is served shall within thirty days after the service of the request:
1. serve an answer including objections to each numbered paragraph in the request, and
2. produce or make available to the party submitting the request those documents and things described in the request to which there is no objection.
i. Where the documents may be identified only after review of a larger group of documents, and the burden of identifying the documents would be substantially the same for the party serving the request as for the party served, the party served may afford the party serving the request reasonable opportunity to identify the documents, to examine or inspect them and to obtain copies.
(b) The answer shall be in the form of a paragraph-by-paragraph response which shall:
1. identify all documents or things produced or made available;
2. identify all documents or things not produced or made available because of the objection that they are not within the scope of permissible discovery under Rule 4003.2 through Rule 4003.6 inclusive and Rule 4011(c). Documents or things not produced shall be identified with reasonable particularity together with the basis for non-production;
3. specify a larger group of documents or things from which the documents or things to be produced or made available may be identified as provided by subdivision (a)(2)(I);
4. object to the request on the grounds set forth in Rule 4011(a), (b), and (e) or on the ground that the request does not meet the requirements of Rule 4009.11;
5. state that after reasonable investigation, it has been determined that there are no documents responsive to the request.
(c) The answer shall be signed and verified by the party making it and signed also by the attorney making an objection if one is set forth.
(d) If a request is reasonably susceptible to one construction under which documents sought to be produced are within the scope of the request and another construction under which the documents are outside the scope of the request, the answering party shall either produce the documents or identify with reasonable particularity the documents not produced together with the basis for non-production.
Rule 4009.12
Physical and Mental Examination of Persons
(a) (1) As used in this rule, "examiner" means a licensed physician, licensed dentist or licensed psychologist.
(2)(a) When the mental or physical condition of a party, or of a person in the custody or under the legal control of a party, is in controversy, the court in which the action is pending may order the party to submit to a physical or mental examination by an examiner or to produce for examination the person in the party's custody or legal control.
(3) The order may be made only on motion for good cause shown and upon notice to the person to be examined and to all parties and shall specify the time, place, manner, conditions and scope of the examination and the person or persons by whom it is to be made.
(4) (i) The person to be examined shall have the right to have control or other representative present during the examination. The examiner's oral interrogation of the person to be examined shall be limited to matters specifically relevant to the scope of the examination.
(ii) Subdivision (a)(4)(i) shall not apply to actions for custody, partial custody and visitation of minor children.
(5) (i) The party who is being examined or who is producing for examination a person in the party's custody or legal control may have made upon reasonable notice and at the party's expense a stenographic or audio recording of the examination. Upon request and payment of reasonable cost, the party who caused the recording to be made shall provide each other party with a copy of the recording.
(ii) Subdivision (a)(5)(i) shall not apply to actions for custody, partial custody and visitation of minor children.
(b) (1) If requested by the party against whom an order is made under this rule or the person examined, the party causing the examination to be made shall deliver to the requesting party or person a copy of a detailed written report of the examiner setting out the examiner's findings, including results of all tests made, diagnoses and conclusions, together with like reports of all earlier examinations of the same condition. After delivery the party causing the examination shall be entitled upon request to receive from the party against whom the order is made a like report of any examination, previously or thereafter made, of the same condition, unless, in the case of a report of examination of a person not a party, the party shows inability to obtain it. The court on motion may make an order against a party requiring delivery of a report on such terms as are just, and if an examiner fails or refuses to make a report the court shall exclude the examiner's testimony if offered at the trial.
(2) By requesting and obtaining a report of the examination so ordered or by taking the deposition of the examiner, the party examined waives any privilege the party may have in that action or any other involving the same controversy, regarding the testimony of every other person who has examined or may thereafter examine the party in respect of the same mental or physical condition.
(3) Subdivision (b) applies to an examination made by agreement of the parties, unless the agreement expressly provides otherwise. It does not preclude discovery of a report of an examiner or the taking of a deposition of the examiner in accordance with the provisions of any other rule. Rule 4010
Requests for Admissions
(a) A party may serve upon any other party a written request for the admission, for purposes of the pending action only, of the truth of any matters within the scope of Rules 4003.1 through 4003.5 inclusive set forth in the request that relate to statements or opinions of fact or of the application of law to fact, including the genuineness, authenticity, correctness, execution, signing, delivery, mailing or receipt of any document described in the request. Copies of documents shall be served with the request unless they have been or are otherwise furnished or available for inspection and copying in the county. The request may, without leave of court, be served upon the plaintiff after commencement of the action and upon any other party with or after service of the original process upon that party.
(b) Each matter of which an admission is requested shall be separately set forth. The matter is admitted unless, within thirty days after service of the request, or within such shorter or longer time as the court may allow, the party to whom the request is directed serves upon the party requesting the admission an answer verified by the party or an objection, signed by the party or by his attorney; but, unless the court shortens the time, a defendant shall not be required to serve answers or objections before the expiration of forty-five days after service of the original process upon him or her. If objection is made, the reasons therefor shall be stated. The answer shall admit or deny the matter or set forth in detail the reasons why the answering party cannot truthfully do so. A denial shall fairly meet the substance of the requested admission, and when good faith requires that a party qualify his answer or deny only a part of the matter of which an admission is requested, the party shall specify so much of it as true and qualify or deny the remainder. An answering party may not give lack of information or knowledge as a reason for failure to admit or deny unless the answering party states that he or she has made reasonable inquiry and that the information known or readily obtainable by him or her is insufficient to enable him or her to admit or deny. A party who considers that a matter of which an admission has been requested presents a genuine issue for trial may not, on that ground alone, object to the request. That party may, subject to the provisions of Rule 4019(d), deny the matter or set forth reasons why he or she cannot admit or deny it.
(c) The party who has requested the admission may move to determine the sufficiency of the answer or objection. Unless the court determines that an objection is justified, it shall order that an answer be served. If the court determines that an answer does not comply with the requirements of this rule, it may order either that the matter is admitted or that an amended answer be served. The court may, in lieu of these orders, determine that final disposition of the request be made at a pre-trial conference or at a designated time prior to trial.
(d) Any matter admitted under this rule is conclusively established unless the court on motion permits withdrawal or amendment of the admission. Subject to the provisions of Rule 212.3 governing pre-trial conferences, the court may permit withdrawal or amendment when the presentation of the merits of the action will be subserved thereby and the party who obtained the admission fails to satisfy the court that withdrawal or amendment will prejudice him in maintaining his action or defense on the merits. Any admission by a party under this rule is for the purpose of the pending action only and is not an admission by him for any other purpose nor may it be used against him in any other proceeding. Rule 4014
Domestic Actions Discovery Notes
If you require extra time to respond to discovery, you should ask the other side for an extension in writing. It may also be necessary to enter an order granting the extension to protect your rights.
Discovery questions are limited in number so select the most important questions to ask the other side. Don't waste your requests writing questions that you already know the answer to.
Note: This summary is not intended to be an all inclusive summary of discovery law in Pennsylvania, but does include basic and other information.
Definitions
Discovery:
A procedure designed to allow disclosure of information between Plaintiffs and Defendants. Written questions, oral questioning, document production and admissions requests are generally allowed. Discovery was designed to to prevent trial by ambush.
Interrogatories:
Written questions from Plaintiff to Defendant, or from Defendant to Plaintiff. The questions are mailed to the Plaintiff, Defendant or the attorney for response in writing. The answers or responses are usually due between 20-30 days.
Deposition:
A procedure where verbal questions are asked a Plaintiff or Defendant for immediate response. Depositions are usually recorded by a court reporter, who swears the person to tell the truth before questioning begins.
Production of Documents:
The method of obtaining documents from the other party relevant to the case such as all documents a party intends to introduce at trial.
Requests for Admissions:
Written questions where you request the other party to admit or deny some relevant fact.
Objections:
Objections may be made to all discovery questions if the questions are not relevant, or likely to lead to the discovery of relevant evidence.
Civil Procedure Rules:
Virtually all states have adopted a version of civil procedure rules which include rules dealing with discovery.
Pennsylvania Rules of Civil Procedure
Pennsylvania has adopted the Pennsylvania Rules of Civil Procedure which contain rules governing discovery.
Discovery Methods:
Subject to the provisions of this chapter, any party may obtain discovery by one or more of the following methods: depositions upon oral examination (Rule 4007.1) or written interrogatories (Rule 4004); written interrogatories to a party (Rule 4005); production of documents and things and entry for inspection or other purposes (Rule 4009); physical and mental examinations (Rule 4010); and requests for admission (Rule 4014). Rule 4001
Scope:
Subject to the provisions of Rules 4003.2 to 4003.5 inclusive and Rule 4011, a party may obtain discovery regarding any matter involved in the pending action, whether it relates to the claim or defense of the party seeking discovery or to the claim or defense of any other party, including the existence, description, nature, content, custody, condition and location of any books, documents, or other tangible things and the identity and location of persons having knowledge of any discoverable matter. Rule 4003.1(a)
Experts:
(a) Discovery of facts known and opinions held by an expert, otherwise discoverable under the provisions of Rule 4003.1 and acquired or developed in anticipation of litigation or for trial, may be obtained as follows:
1. A party may through interrogatories require (a) any other party to identify each person whom the other party expects to call as an expert witness at trial and to state the subject matter on which the expert is expected to testify and (b) the other party to have each expert so identified by him state the substance of the facts and opinions to which the expert is expected to testify and a summary of the grounds for each opinion. The party answering the interrogatories may file as his or her answer a report of the expert or have the interrogatories answered by the expert. The answer or separate report shall be signed by the expert.
2. Upon cause shown, the court may order further discovery by other means, subject to such restrictions as to scope and such provisions concerning fees and expenses as the court may deem appropriate.
3. A party may not discover facts known or opinions held by an expert who has been retained or specially employed by another party in anticipation of litigation or preparation for trial and who is not expected to be called as a witness at trial, except on order of court as to any other expert upon a showing of exceptional circumstances under which it is impracticable for the party seeking discovery to obtain facts or opinions on the same subject by other means, subject to such restrictions as to scope and such provisions concerning fees and expenses as the court may deem appropriate.
(b) An expert witness whose identity is not disclosed in compliance with subdivision (a)(1) of this rule shall not be permitted to testify on behalf of the defaulting party at the trial of the action. However, if the failure to disclose the identity of the witness is the result of extenuating circumstances beyond the control of the defaulting party, the court may grant a continuance or other appropriate relief.
(c) To the extent that the facts known or opinions held by an expert have been developed in discovery proceedings under subdivision (a)(1) or (2) of this rule, the direct testimony at the trial may not be inconsistent with or go beyond the fair scope of his or her testimony in the discovery proceedings as set forth in his deposition, answer to an interrogatory, separate report, or supplement thereto. However, he shall not be prevented from testifying as to facts or opinions on matters on which he has not been interrogated in the discovery proceedings. Rule 4003.5
Sequence and Timing of Discovery:
Unless the court upon motion, for the convenience of parties and witnesses and in the interests of justice, orders otherwise, methods of discovery may be used in any sequence and the fact that a party is conducting discovery, whether by deposition or otherwise, shall not operate to delay any other party's discovery. Rule 4007.3
Supplementation of Responses:
A party or an expert witness who has responded to a request for discovery with a response that was complete when made is under no duty to supplement the response to include information thereafter acquired, except as follows:
1. A party is under a duty seasonably to supplement his response with respect to any question directly addressed to the identity and location of persons having knowledge of discoverable matters and the identity of each person expected to be called as an expert witness at trial, the subject matter on which he is expected to testify and the substance of his testimony as provided in Rule 4003.5(a)(1).
2. A party or an expert witness is under a duty seasonably to amend a prior response if he or she obtains information upon the basis of which he or she knows that (a) the response was incorrect when made, or (b) the response though correct when made is no longer true.
3. A duty to supplement responses may be imposed by order of the court, agreement of the parties, or at any time prior to trial through new requests to supplement prior responses. Rule 4007.4
Depositions
Procedure in Deposition By Oral Examination:
(a) A party desiring to take the deposition of any person upon oral examination shall give reasonable notice in writing to every other party to the action, except that no notice need be given a defendant who was served by publication and has not appeared in the action. A party noticed to be deposed shall be required to appear without subpoena.
(b) The notice shall conform with the requirements of subdivision (c) of this rule and of Rule 4007.2(b) and (c) where appropriate and shall state the time and place of taking the deposition and the name and address of each person to be examined if known, and, if the name is not known, a general description sufficient to identify him or the particular class or group to which the deponent belongs.
(c) The purpose of the deposition and matters to be inquired into need not be stated in the notice unless the action has been commenced by writ of summons and the plaintiff desires to take the deposition of any person upon oral examination for the purpose of preparing a complaint. In such case the notice shall include a brief statement of the nature of the cause of action and of the matters to be inquired into.
(d) 1. If the person to be examined is a party, the notice may include a request made in compliance with Rule 4009.1 et seq., for the production of documents and tangible things at the taking of the deposition.
2. If the person to be examined is not a party, and is to be served with a subpoena duces tecum to produce designated materials, the notice shall specify the materials to be produced. The materials shall be produced at the deposition and not earlier, except upon the consent of all parties to the action.
(e) A party may in the notice and in a subpoena, if issued, name as the deponent a public or private corporation or a partnership or association or governmental agency and describe with reasonable particularity the matters to be inquired into and the materials to be produced. In that event, the organization so named shall serve a designation of one or more officers, directors, or managing agents, or other persons who consent to testify on its behalf, and may set forth, for each person designated, the matters on which each person will testify. A subpoena shall advise a non-party organization of its duty to make such a designation. The person or persons so designated shall testify as to matters known or reasonably available to the organization. This subdivision (e) does not preclude taking a deposition by any other procedure authorized in these rules. Rule 4007.1
When Leave of Court Required.
(a) Except as provided by Rules 4001(a) and 4003.5(a)(2) and by subdivisions (b) and (d) of this rule, a deposition may be taken without leave of court.
(b) Leave of court must be obtained if a plaintiff's notice schedules the taking of a deposition prior to the expiration of thirty (30) days after service of the original process and the defendant has not served a notice of taking a deposition or otherwise sought discovery, unless the party or person to be examined is aged or infirm, or about to leave the county in which the action is pending for a place outside the Commonwealth or a place more than one hundred (100) miles from the courthouse in which the action is pending.
(c) If the plaintiff proceeds under subdivision (b)(1) or (2) of this rule the notice of taking the deposition shall set forth the facts which support taking it without leave of court. The plaintiff's attorney shall sign the notice and this signature shall constitute a certification by him that to the best of the attorney's knowledge, information and belief the statement of facts is true.
(d) The deposition of a person confined in prison may be taken only by leave of court on such terms as the court prescribes. Rule 4007.2
Oral Examination Limitation:
If a deposition is to be taken by oral examination more than one hundred miles from the courthouse, the court upon motion may make an order requiring the payment of reasonable expenses, including attorney's fees, as the court shall deem proper.
Rule 4008
Limitation Of Scope Of Discovery and Deposition:
No discovery or deposition shall be permitted which:
(a) is sought in bad faith;
(b) would cause unreasonable annoyance, embarrassment, oppression, burden or expense to the deponent or any person or party;
(c) is beyond the scope of discovery as set forth in Rules 4003.1 through 4003.6; or
(d) [Rescinded];
(e) would require the making of an unreasonable investigation by the deponent or any party or witness.
(f) [Rescinded.] Rule 4011
Videotaped Depositions:
(a) Any deposition taken upon oral examination may be recorded by videotape. Except as provided by this rule, the rules of this chapter governing the practice and procedure in depositions and discovery shall apply.
1. Any party may have a videotape deposition recorded simultaneously by stenographic means as provided by this chapter.
2. A videotape deposition may be used in court only if accompanied by a transcript of the deposition.
(b) Every notice or subpoena for the taking of a videotape deposition shall state:
1. that it is to be videotaped,
2. the name and address of the person whose deposition is to be taken,
3. the name and address of the officer before whom it is to be taken,
4. whether the deposition is to be simultaneously recorded by stenographic means, and
5. the name and address of the videotape operator and of his employer. The operator may be an employee of the attorney taking the deposition.
(c) The deposition shall begin by the operator stating on camera (1) his or her name and address, (2) the name and address of his or her employer, (3) the date, time and place of the deposition, (4) the caption of the case, (5) the name of the witness, and (6) the party on whose behalf the deposition is being taken. The officer before whom the deposition is taken shall then identify himself or herself and swear the witness on camera. At the conclusion of the deposition the operator shall state on camera that the deposition is concluded. When the length of the deposition requires the use of more than one tape, the end of each tape and the beginning of each succeeding tape shall be announced on camera by the operator.
(d) The deposition shall be timed by a digital clock on camera which shall show continually each hour, minute and second of each tape of the deposition.
(e) No signature of the witness shall be required.
(f) The attorney for the party taking the deposition shall take custody of and be responsible for the safeguarding of the videotape and shall permit the viewing of and shall provide a copy of the videotape or the audio portion thereof upon the request and at the cost of a party.
(g) In addition to the uses permitted by Rule 4020 a videotape deposition of a medical witness or any witness called as an expert, other than a party, may be used at trial for any purpose whether or not the witness is available to testify.
(h) At a trial or hearing that part of the audio portion of a videotape deposition which is offered in evidence and admitted, or which is excluded on objection, shall be transcribed in the same manner as the testimony of other witnesses. The videotape shall be marked as an exhibit and may remain in the custody of the court. Rule 4017.1
Interrogatories
(a) 1. A party taking a deposition by written interrogatories shall serve a copy of the interrogatories upon each party or the attorney of record of each party. Within thirty days thereafter the party so served may serve cross interrogatories upon each party or the attorney of record of each party. Subsequent interrogatories shall be similarly served within ten days.
2. The interrogatories shall contain a notice stating the name or descriptive title and address of the officer before whom the deposition is to be taken, the time and place of taking the deposition and the name and address of each person to be examined if known, and, if the name is not known, a general description sufficient to identify each person to be examined or the particular class or group to which each person belongs. A deposition upon written interrogatories may be taken of a public or private corporation or a partnership or association or governmental agency in accordance with the provisions of Rule 4007.1(e).
(b) Objections to the form of interrogatories are waived unless filed and served upon the party propounding them within the time allowed for serving the succeeding cross or other interrogatories or within ten (10) days after service of the last interrogatories. All other objections may be made at the trial except as otherwise provided by Rule 4016.
(c) A copy of all interrogatories for the taking of a deposition shall be transmitted to the person designated to take the deposition, who shall promptly give notice to the witness and thereafter propound the interrogatories to the witness and complete, certify and send the deposition by registered mail to the party taking the deposition, attaching thereto the copy of the interrogatories.
(d) When the deposition is received by the party taking the deposition, the party shall promptly give notice thereof to all other parties.
(e) After the service of interrogatories and prior to the taking of the testimony of the deponent, the court in which the action is pending, on motion promptly made by a party or a deponent, may make an order in accordance with Rule 4012, or an order that the deposition shall not be taken before the officer designated in the notice, or that it not be taken except upon oral examination. Rule 4004
Written Interrogatories to a Party.
(a) Subject to the limitations provided by Rule 4011, any party may serve upon any other party written interrogatories to be answered by the party served or, if the party served is a public or private corporation or similar entity or a partnership or association, by any officer or agent, who shall furnish such information as is available to the party. Interrogatories may be served upon any party at the time of service of the original process or at any time thereafter. Interrogatories which are to be served prior to service of the complaint shall be limited to the purpose of preparing a complaint and shall contain a brief statement of the nature of the cause of action. Interrogatories shall be prepared in such fashion that sufficient space is provided immediately after each interrogatory or subsection thereof for insertion of the answer or objection.
(b) [Rescinded.]
(c) Interrogatories may relate to any matters which can be inquired into under Rules 4003.1 through 4003.5 inclusive and the answers may be used to the same extent as provided in Rule 4020 for the use of the deposition of a party. Interrogatories may be served after a deposition has been taken, and a deposition may be taken after interrogatories have been answered, but the court, on motion of the party interrogated, may make such protective order as justice requires. The number of interrogatories or of sets of interrogatories to be served may be limited as justice requires to protect the party from unreasonable annoyance, embarrassment, oppression, burden or expense. Rule 4005
Answers to Written Interrogatories by a Party.
(a) 1. Answers to interrogatories shall be in writing and verified. The answers shall be inserted in the spaces provided in the interrogatories. If there is insufficient space to answer an interrogatory, the remainder of the answer shall follow on a supplemental sheet.
2. Each interrogatory shall be answered fully and completely unless objected to, in which event the reasons for the objection shall be stated in lieu of an answer. The answers shall be signed by the person making them, and the objections shall be signed by the attorney making them. The statement of an objection shall not excuse the answering party from answering all remaining interrogatories to which no objection is stated. The answering party shall serve a copy of the answers, and objections if any, within thirty days after the service of the interrogatories. The party submitting the interrogatories may move the court to dismiss an objection and direct that the interrogatory be answered.
3.[Rescinded.]
(b) Where the answer to an interrogatory may be derived or ascertained from the records of the party upon whom the interrogatory has been served or from an examination, audit or inspection of that party's records, or from a compilation, abstract or summary based thereon, and the burden of deriving or ascertaining the answer would be substantially the same for the party serving the interrogatory as for the party served, a sufficient answer to such an interrogatory shall be to specify the records from which the answer may be derived or ascertained and to afford the party serving the interrogatory reasonable opportunity to examine, audit or inspect those records and to obtain copies, compilations, abstracts or summaries. Rule 4006
Production
Any party may serve a request upon a party pursuant to Rules 4009.11 and 4009.12 or a subpoena upon a person not a party pursuant to Rules 4009.21 through 4009.27 to produce and permit the requesting party, or someone acting on the party's behalf, to inspect and copy any designated documents (including writings, drawings, graphs, charts, photographs, electronically created data, and other compilations of data from which information can be obtained, translated, if necessary, by the respondent party or person upon whom the request or subpoena is served through detection or recovery devices into reasonably usable form), or to inspect, copy, test or sample any tangible things which constitute or contain matters within the scope of Rules 4003.1 through 4003.6 inclusive and which are in the possession, custody or control of the party or person upon whom the request or subpoena is served; and may do so one or more times. Rule 4009.1
Request Upon a Party for Production of Documents and Things.
(a) The request may be served without leave of court upon the plaintiff after commencement of the action and upon any other party with or after service of the original process upon that party.
(b) The request shall set forth in numbered paragraphs the items to be produced either by individual item or by category, and describe each item or category with reasonable particularity. Each paragraph shall seek only a single item or a single category of items. The request shall be prepared in such fashion that sufficient space is provided immediately after each paragraph for insertion of the answer. Rule 4009.11
Answer to Request Upon a Party for Production of Documents and Things.
(a) The party upon whom the request is served shall within thirty days after the service of the request:
1. serve an answer including objections to each numbered paragraph in the request, and
2. produce or make available to the party submitting the request those documents and things described in the request to which there is no objection.
i. Where the documents may be identified only after review of a larger group of documents, and the burden of identifying the documents would be substantially the same for the party serving the request as for the party served, the party served may afford the party serving the request reasonable opportunity to identify the documents, to examine or inspect them and to obtain copies.
(b) The answer shall be in the form of a paragraph-by-paragraph response which shall:
1. identify all documents or things produced or made available;
2. identify all documents or things not produced or made available because of the objection that they are not within the scope of permissible discovery under Rule 4003.2 through Rule 4003.6 inclusive and Rule 4011(c). Documents or things not produced shall be identified with reasonable particularity together with the basis for non-production;
3. specify a larger group of documents or things from which the documents or things to be produced or made available may be identified as provided by subdivision (a)(2)(I);
4. object to the request on the grounds set forth in Rule 4011(a), (b), and (e) or on the ground that the request does not meet the requirements of Rule 4009.11;
5. state that after reasonable investigation, it has been determined that there are no documents responsive to the request.
(c) The answer shall be signed and verified by the party making it and signed also by the attorney making an objection if one is set forth.
(d) If a request is reasonably susceptible to one construction under which documents sought to be produced are within the scope of the request and another construction under which the documents are outside the scope of the request, the answering party shall either produce the documents or identify with reasonable particularity the documents not produced together with the basis for non-production.
Rule 4009.12
Physical and Mental Examination of Persons
(a) (1) As used in this rule, "examiner" means a licensed physician, licensed dentist or licensed psychologist.
(2)(a) When the mental or physical condition of a party, or of a person in the custody or under the legal control of a party, is in controversy, the court in which the action is pending may order the party to submit to a physical or mental examination by an examiner or to produce for examination the person in the party's custody or legal control.
(3) The order may be made only on motion for good cause shown and upon notice to the person to be examined and to all parties and shall specify the time, place, manner, conditions and scope of the examination and the person or persons by whom it is to be made.
(4) (i) The person to be examined shall have the right to have control or other representative present during the examination. The examiner's oral interrogation of the person to be examined shall be limited to matters specifically relevant to the scope of the examination.
(ii) Subdivision (a)(4)(i) shall not apply to actions for custody, partial custody and visitation of minor children.
(5) (i) The party who is being examined or who is producing for examination a person in the party's custody or legal control may have made upon reasonable notice and at the party's expense a stenographic or audio recording of the examination. Upon request and payment of reasonable cost, the party who caused the recording to be made shall provide each other party with a copy of the recording.
(ii) Subdivision (a)(5)(i) shall not apply to actions for custody, partial custody and visitation of minor children.
(b) (1) If requested by the party against whom an order is made under this rule or the person examined, the party causing the examination to be made shall deliver to the requesting party or person a copy of a detailed written report of the examiner setting out the examiner's findings, including results of all tests made, diagnoses and conclusions, together with like reports of all earlier examinations of the same condition. After delivery the party causing the examination shall be entitled upon request to receive from the party against whom the order is made a like report of any examination, previously or thereafter made, of the same condition, unless, in the case of a report of examination of a person not a party, the party shows inability to obtain it. The court on motion may make an order against a party requiring delivery of a report on such terms as are just, and if an examiner fails or refuses to make a report the court shall exclude the examiner's testimony if offered at the trial.
(2) By requesting and obtaining a report of the examination so ordered or by taking the deposition of the examiner, the party examined waives any privilege the party may have in that action or any other involving the same controversy, regarding the testimony of every other person who has examined or may thereafter examine the party in respect of the same mental or physical condition.
(3) Subdivision (b) applies to an examination made by agreement of the parties, unless the agreement expressly provides otherwise. It does not preclude discovery of a report of an examiner or the taking of a deposition of the examiner in accordance with the provisions of any other rule. Rule 4010
Requests for Admissions
(a) A party may serve upon any other party a written request for the admission, for purposes of the pending action only, of the truth of any matters within the scope of Rules 4003.1 through 4003.5 inclusive set forth in the request that relate to statements or opinions of fact or of the application of law to fact, including the genuineness, authenticity, correctness, execution, signing, delivery, mailing or receipt of any document described in the request. Copies of documents shall be served with the request unless they have been or are otherwise furnished or available for inspection and copying in the county. The request may, without leave of court, be served upon the plaintiff after commencement of the action and upon any other party with or after service of the original process upon that party.
(b) Each matter of which an admission is requested shall be separately set forth. The matter is admitted unless, within thirty days after service of the request, or within such shorter or longer time as the court may allow, the party to whom the request is directed serves upon the party requesting the admission an answer verified by the party or an objection, signed by the party or by his attorney; but, unless the court shortens the time, a defendant shall not be required to serve answers or objections before the expiration of forty-five days after service of the original process upon him or her. If objection is made, the reasons therefor shall be stated. The answer shall admit or deny the matter or set forth in detail the reasons why the answering party cannot truthfully do so. A denial shall fairly meet the substance of the requested admission, and when good faith requires that a party qualify his answer or deny only a part of the matter of which an admission is requested, the party shall specify so much of it as true and qualify or deny the remainder. An answering party may not give lack of information or knowledge as a reason for failure to admit or deny unless the answering party states that he or she has made reasonable inquiry and that the information known or readily obtainable by him or her is insufficient to enable him or her to admit or deny. A party who considers that a matter of which an admission has been requested presents a genuine issue for trial may not, on that ground alone, object to the request. That party may, subject to the provisions of Rule 4019(d), deny the matter or set forth reasons why he or she cannot admit or deny it.
(c) The party who has requested the admission may move to determine the sufficiency of the answer or objection. Unless the court determines that an objection is justified, it shall order that an answer be served. If the court determines that an answer does not comply with the requirements of this rule, it may order either that the matter is admitted or that an amended answer be served. The court may, in lieu of these orders, determine that final disposition of the request be made at a pre-trial conference or at a designated time prior to trial.
(d) Any matter admitted under this rule is conclusively established unless the court on motion permits withdrawal or amendment of the admission. Subject to the provisions of Rule 212.3 governing pre-trial conferences, the court may permit withdrawal or amendment when the presentation of the merits of the action will be subserved thereby and the party who obtained the admission fails to satisfy the court that withdrawal or amendment will prejudice him in maintaining his action or defense on the merits. Any admission by a party under this rule is for the purpose of the pending action only and is not an admission by him for any other purpose nor may it be used against him in any other proceeding. Rule 4014
Domestic Actions Discovery Notes
If you require extra time to respond to discovery, you should ask the other side for an extension in writing. It may also be necessary to enter an order granting the extension to protect your rights.
Discovery questions are limited in number so select the most important questions to ask the other side. Don't waste your requests writing questions that you already know the answer to.