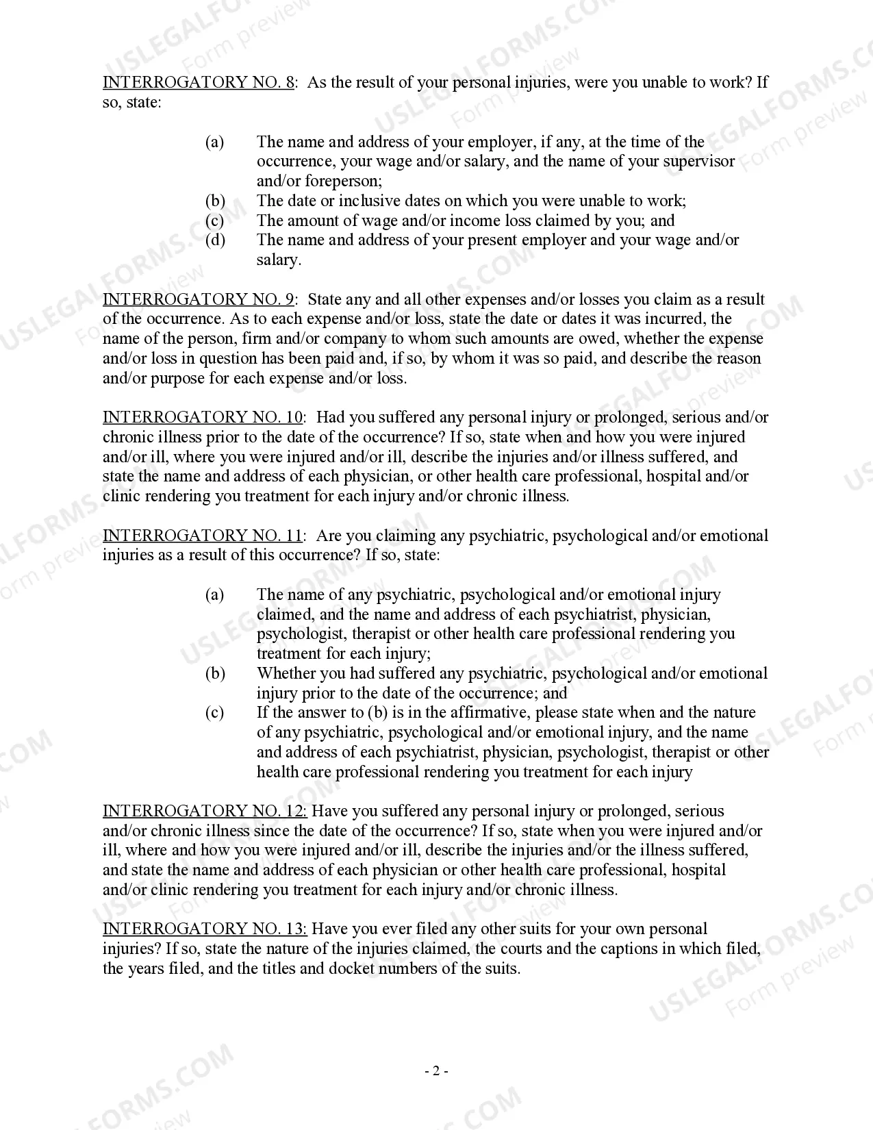
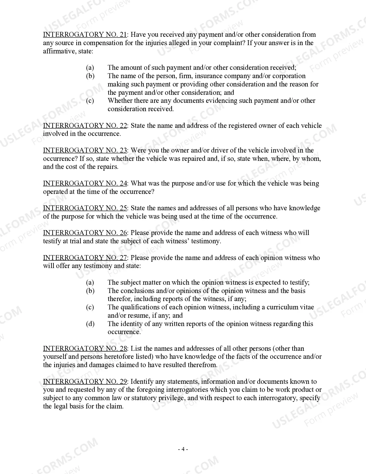
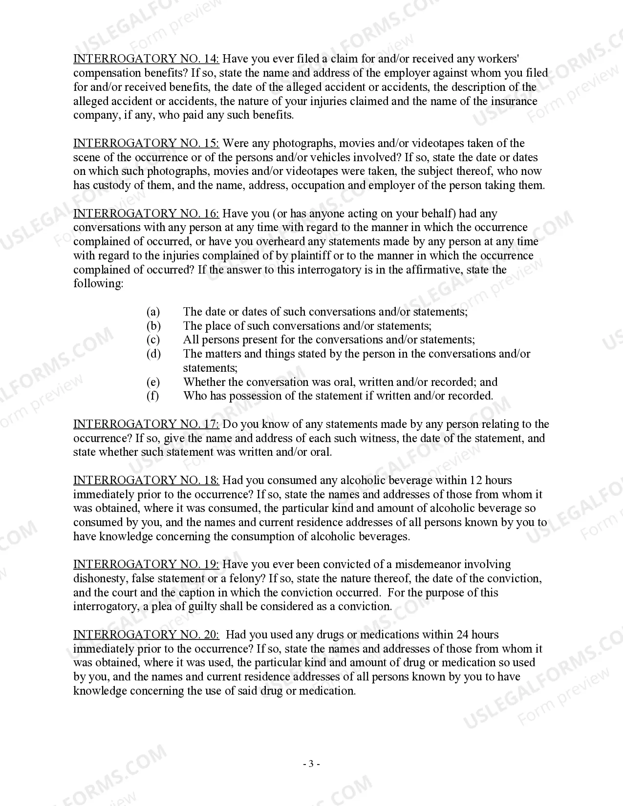
The Interrogatories to Plaintiff for Motor Vehicle Occurrence is a legal form utilized in vehicle accident lawsuits. This form consists of a series of questions posed by the defendant to the plaintiff, aimed at gathering detailed information regarding the incident. Unlike similar documents, this form focuses specifically on vehicle-related occurrences and includes a comprehensive set of questions to clarify the circumstances surrounding the incident, the claimed injuries, and any prior relevant medical history.
This form is typically used during the discovery phase of a motor vehicle accident lawsuit. If you are a defendant seeking to collect information from the plaintiff about the details of their claims, personal injuries, and any other relevant factors, this form will assist you in obtaining that critical information. It can be useful in preparing for trial and negotiating settlements.
This form usually doesn’t need to be notarized. However, local laws or specific transactions may require it. Our online notarization service, powered by Notarize, lets you complete it remotely through a secure video session, available 24/7.
Our built-in tools help you complete, sign, share, and store your documents in one place.
Make edits, fill in missing information, and update formatting in US Legal Forms—just like you would in MS Word.
Download a copy, print it, send it by email, or mail it via USPS—whatever works best for your next step.
Sign and collect signatures with our SignNow integration. Send to multiple recipients, set reminders, and more. Go Premium to unlock E-Sign.
If this form requires notarization, complete it online through a secure video call—no need to meet a notary in person or wait for an appointment.
We protect your documents and personal data by following strict security and privacy standards.

Make edits, fill in missing information, and update formatting in US Legal Forms—just like you would in MS Word.

Download a copy, print it, send it by email, or mail it via USPS—whatever works best for your next step.

Sign and collect signatures with our SignNow integration. Send to multiple recipients, set reminders, and more. Go Premium to unlock E-Sign.

If this form requires notarization, complete it online through a secure video call—no need to meet a notary in person or wait for an appointment.

We protect your documents and personal data by following strict security and privacy standards.
You must answer each interrogatory separately and fully in writing under oath, unless you object to it. You must explain why you object. You must sign your answers and objections.
The number of questions included in an interrogatory is usually limited by court rule. For example, under the Federal Rules of Civil Procedure, each party may only ask each other party 25 questions via interrogatory unless the court gives permission to ask more.
Motions to Compel If a party doesn't respond to interrogatories or requests for production, then the party seeking those answers must file a motion to compel with the court. If the court grants the motion to compel, then the party who objected or failed to answer must then do so.
You can object to an interrogatory if the information sought is known by the requesting party or available to both parties equally. For example, you should raise this objection if the answers are publicly available or in a third-party's custody or control.
So, can you refuse to answer interrogatories? The answer is, no, you may not. You must answer a Rule 33 interrogatory within 30 days of being served with it. That answer must either permit inspection of the requested information or object to the production of the information for a specific reason.
(1) Number. Unless otherwise stipulated or ordered by the court, a party may serve on any other party no more than 25 written interrogatories, including all discrete subparts. Leave to serve additional interrogatories may be granted to the extent consistent with Rule 26(b)(1) and (2).
In most cases, a deponent cannot refuse to answer a question at a deposition unless the answer would reveal privileged or irrelevant private information or the court previously ordered that the information cannot be revealed (source). However, there are certain types of questions that do not have to be answered.
Motions to Compel If a party doesn't respond to interrogatories or requests for production, then the party seeking those answers must file a motion to compel with the court. If the court grants the motion to compel, then the party who objected or failed to answer must then do so.
Your answers to the interrogatories should usually be short, clear, and direct and should answer only the question that is being asked. This is not the time to set out your entire case or defense to the other side. Take the time to make sure your answers are correct and truthful.