New Hampshire Trust Agreement to Hold Funds for Minor Resulting from Settlement of a Personal Injury Action Filed on Behalf of Minor

Category:
State:
Multi-State
Control #:
US-00530BG
Format:
Word; 
Rich Text
Instant download

Description

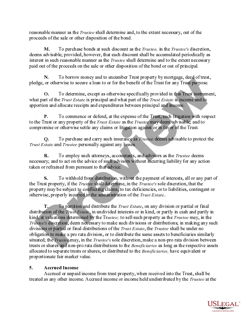
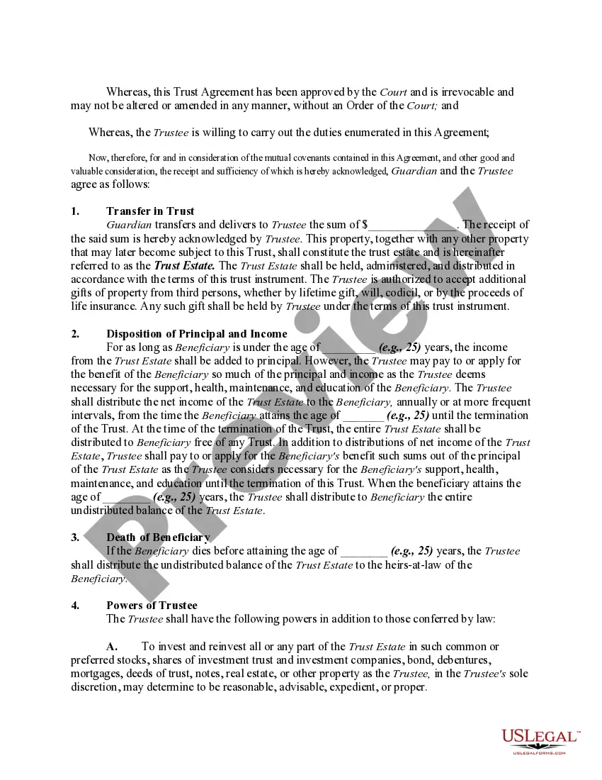
A trust is the legal relationship between one person, the trustee, having an equitable ownership or management of certain property and another person, the beneficiary, owning the legal title to that property. The beneficiary is entitled to the performance of certain duties and the exercise of certain powers by the trustee, which performance may be enforced by a court of equity. Most trusts are founded by the persons (called trustors, settlors and/or donors) who execute a written declaration of trust which establishes the trust and spells out the terms and conditions upon which it will be conducted. The declaration also names the original trustee or trustees, successor trustees or means to choose future trustees.

Free preview
  • Preview Trust Agreement to Hold Funds for Minor Resulting from Settlement of a Personal Injury Action Filed on Behalf of Minor
  • Preview Trust Agreement to Hold Funds for Minor Resulting from Settlement of a Personal Injury Action Filed on Behalf of Minor
  • Preview Trust Agreement to Hold Funds for Minor Resulting from Settlement of a Personal Injury Action Filed on Behalf of Minor
  • Preview Trust Agreement to Hold Funds for Minor Resulting from Settlement of a Personal Injury Action Filed on Behalf of Minor
  • Preview Trust Agreement to Hold Funds for Minor Resulting from Settlement of a Personal Injury Action Filed on Behalf of Minor
  • Preview Trust Agreement to Hold Funds for Minor Resulting from Settlement of a Personal Injury Action Filed on Behalf of Minor
  • Preview Trust Agreement to Hold Funds for Minor Resulting from Settlement of a Personal Injury Action Filed on Behalf of Minor

How to fill out Trust Agreement To Hold Funds For Minor Resulting From Settlement Of A Personal Injury Action Filed On Behalf Of Minor?

Locating the appropriate authorized document template can be a challenge.

Clearly, there are numerous templates accessible online, but how can you obtain the authorized template you require.

Make use of the US Legal Forms website.

If you are a new user of US Legal Forms, here are simple instructions you can follow.

  1. The service offers a vast array of templates, such as the New Hampshire Trust Agreement to Hold Funds for Minor Resulting from Settlement of a Personal Injury Action Filed on Behalf of Minor.
  2. These templates can be utilized for business and personal purposes.
  3. All documents are reviewed by experts to ensure they comply with federal and state regulations.
  4. If you are already registered, Log In to your account and click on the Obtain button to access the New Hampshire Trust Agreement to Hold Funds for Minor.
  5. You can use your account to browse the legal documents you have previously ordered.
  6. Go to the My documents tab in your account and obtain an additional copy of the documents you require.

Form popularity

FAQ

In California, your lawyer cannot accept a settlement on your behalf without your permission, especially concerning a minor's case. The law prioritizes the minor's best interests, and a New Hampshire Trust Agreement to Hold Funds for Minor Resulting from Settlement of a Personal Injury Action Filed on Behalf of Minor can aid in directing the funds properly. Always communicate closely with your attorney to ensure they act according to your wishes.

Yes, court approval is typically required for a minor's settlement in California. This ensures that the agreement serves the best interests of the minor. To facilitate this process and manage the awarded funds, you can consider a New Hampshire Trust Agreement to Hold Funds for Minor Resulting from Settlement of a Personal Injury Action Filed on Behalf of Minor. This helps guardians navigate the approval process while ensuring the settlement is appropriately secured.

In California, the threshold for a minor's compromise generally involves settlements that exceed a certain dollar amount. If the settlement is substantial, like those resulting from a personal injury case, a New Hampshire Trust Agreement to Hold Funds for Minor Resulting from Settlement of a Personal Injury Action Filed on Behalf of Minor may be necessary. This ensures that any awarded funds are properly managed and used for the minor's benefit. Consult with a legal expert to understand the exact requirements based on your situation.

When a minor wins a lawsuit, the court typically awards a settlement to the minor. However, since minors cannot manage their own funds, a New Hampshire Trust Agreement to Hold Funds for Minor Resulting from Settlement of a Personal Injury Action Filed on Behalf of Minor is established. This agreement ensures that the settlement funds are securely held and managed until the minor reaches the age of majority. Ultimately, this protects the minor's financial interests and provides peace of mind to the parents or guardians.

A structured settlement for child support is a financial solution that provides scheduled payments over time, often stemming from a divorce or separation agreement. This arrangement can benefit minors by ensuring that funds are allocated for necessities like education and health care in a manageable manner. Utilizing a New Hampshire Trust Agreement to Hold Funds for Minor Resulting from Settlement of a Personal Injury Action Filed on Behalf of Minor can further enhance these arrangements, allowing for secure holding and distribution of funds. This structured approach ultimately supports the child’s long-term welfare.

A minor settlement is an agreement reached in legal cases, particularly personal injury claims, where compensation is provided for a minor. These settlements often require judicial approval to ensure the funds are managed in the child’s best interest. By establishing a New Hampshire Trust Agreement to Hold Funds for Minor Resulting from Settlement of a Personal Injury Action Filed on Behalf of Minor, the financial aspects are meticulously organized, ensuring the settlement serves the minor’s needs effectively over time. This structured approach offers peace of mind to both parents and guardians.

Yes, Texas mandates court approval for settlements involving minors, especially if the amount surpasses $10,000. This ensures that the settlement aligns with the minor's best interests. You might want to explore a New Hampshire Trust Agreement to Hold Funds for Minor Resulting from Settlement of a Personal Injury Action Filed on Behalf of Minor. It provides a secure way to handle the funds on behalf of the minor, making the management of their financial future easier.

In Virginia, the threshold for a minor settlement typically requires court approval if the settlement amount exceeds $10,000. This is to ensure the best interest of the minor is upheld. If you are navigating such a process, consider utilizing a New Hampshire Trust Agreement to Hold Funds for Minor Resulting from Settlement of a Personal Injury Action Filed on Behalf of Minor. By establishing a trust, you can effectively manage the funds for the minor until they reach adulthood.

Trusted and secure by over 3 million people of the world’s leading companies

New Hampshire Trust Agreement to Hold Funds for Minor Resulting from Settlement of a Personal Injury Action Filed on Behalf of Minor