Nebraska Owner Financing Contract for Car

State:
Multi-State
Control #:
US-01326BG-4
Format:
Word; 
Rich Text
Instant download

Description

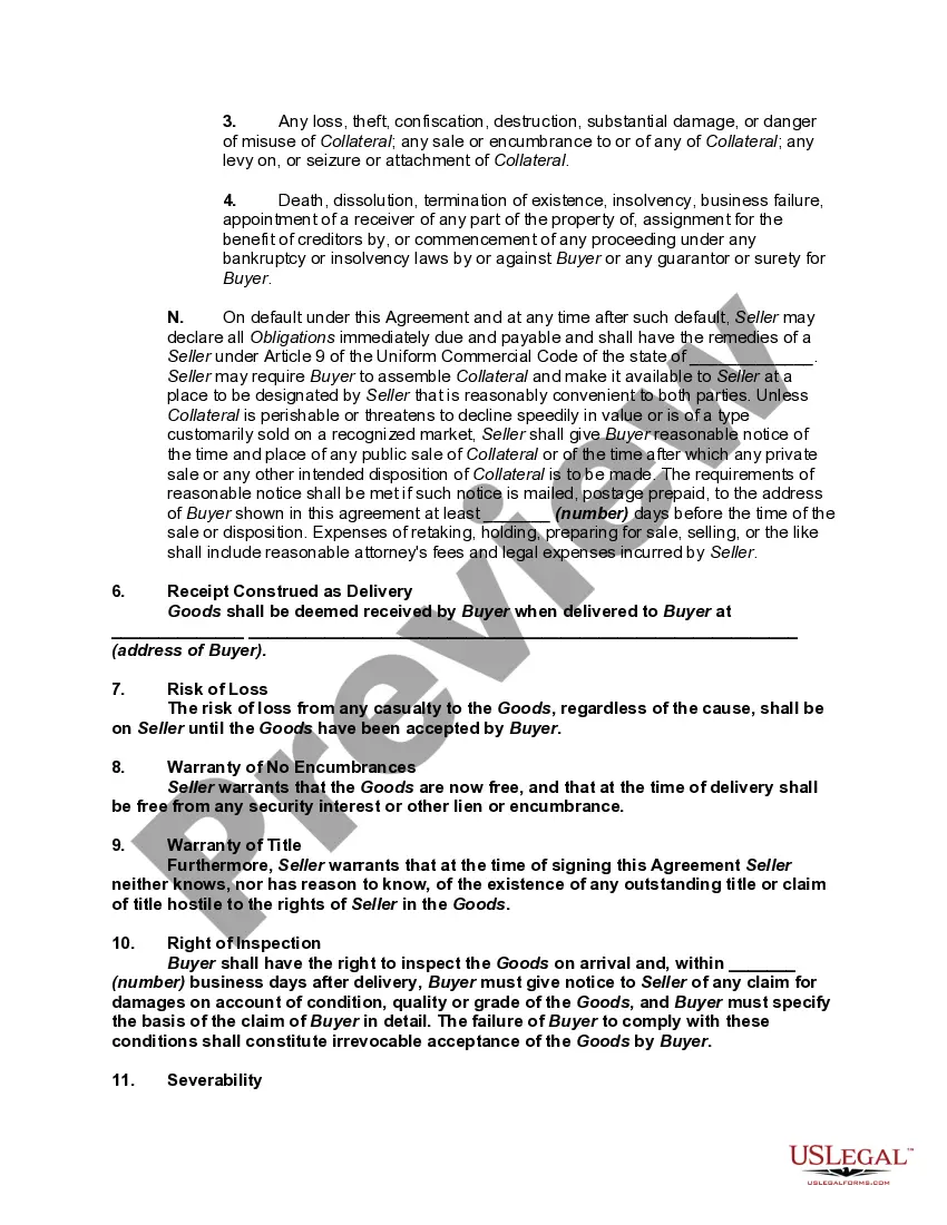
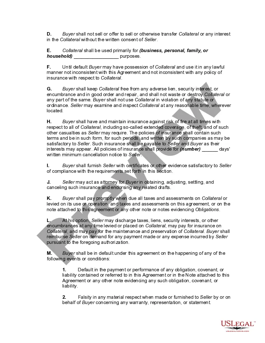
This agreement contains a security agreement creating a security interest in the property being sold. A security interest refers to the property rights of a lender or creditor whose right to collect a debt is secured by property.
Free preview
  • Preview Owner Financing Contract for Car
  • Preview Owner Financing Contract for Car
  • Preview Owner Financing Contract for Car
  • Preview Owner Financing Contract for Car
  • Preview Owner Financing Contract for Car

How to fill out Owner Financing Contract For Car?

US Legal Forms - one of the largest repositories of legal documents in the United States - provides a diverse array of legal form templates available for download or printing.

Through the website, you can access thousands of templates for business and personal purposes, organized by categories, states, or keywords. You can retrieve the most current versions of forms such as the Nebraska Owner Financing Agreement for Vehicle in moments.

If you already have a monthly subscription, Log In and obtain the Nebraska Owner Financing Agreement for Vehicle from the US Legal Forms database. The Download button will appear on every form you view. You can access all previously saved forms within the My documents tab of your account.

Then, select the pricing plan you prefer and provide your details to register for an account.

Complete the transaction. Use your credit card or PayPal account to finalize the purchase. Choose the format and download the form to your device. Make modifications. Fill out, edit, print, and sign the saved Nebraska Owner Financing Agreement for Vehicle.

Each template you add to your account has no expiration date and is yours indefinitely. Therefore, if you wish to download or print another copy, simply go to the My documents section and click on the form you need.

  1. If you are using US Legal Forms for the first time, here are simple steps to get started.
  2. Ensure that you have selected the correct form for your city/state.
  3. Click the Review button to examine the form’s details.
  4. Check the form summary to ensure you have chosen the right document.
  5. If the form doesn’t meet your requirements, utilize the Search field at the top of the screen to find one that does.
  6. If you are satisfied with the form, confirm your selection by clicking the Purchase now button.

Form popularity

FAQ

Good terms for seller financing include a reasonable interest rate, a manageable down payment, and a clear repayment schedule. Additionally, a shorter financing term may benefit the seller by reducing risk while allowing the buyer to build equity quickly. When drafting a Nebraska Owner Financing Contract for Car, defining these favorable terms ensures a smooth transaction for both parties.

Yes, you can finance a car that is sold by the owner. This process allows the buyer to make payments directly to the seller, often creating a more flexible arrangement. By using a Nebraska Owner Financing Contract for Car, both the buyer and seller can define their obligations and enhance clarity throughout the transaction.

To write an owner finance contract, start by gathering essential information like buyer and seller details, payment terms, and legal descriptions of the vehicle. Clearly outline the agreement's terms, including default consequences and any warranties. US Legal Forms offers templates that can streamline the process of creating a Nebraska Owner Financing Contract for Car, ensuring accuracy and compliance.

Owner financing can come with risks for both parties involved. The seller may face difficulties enforcing the agreement if the buyer defaults on payments. Additionally, buyers should be aware that owner financing does not always provide the same protections and legal recourse as traditional financing. A Nebraska Owner Financing Contract for Car can help clarify terms and conditions, reducing potential issues.

To write an owner finance contract, begin by including essential details like buyer and seller information, vehicle description, and payment terms. It’s helpful to incorporate the terms regarding the Nebraska Owner Financing Contract for Car, such as interest rates and payment duration. Additionally, consider using platforms like US Legal Forms to access templates and ensure you include all necessary legal provisions for a solid agreement.

Writing a payment agreement for a car starts with clearly outlining the terms, such as payment amounts, due dates, and total financing duration. Incorporate details about the Nebraska Owner Financing Contract for Car to specify any conditions that relate to owner financing. Ensure both parties sign the agreement and keep a copy for future reference, as clarity helps prevent disputes.

In Texas, it is not always required for both parties to be present for a title transfer; however, it often simplifies the process. If you have a Nebraska Owner Financing Contract for Car, it is wise to ensure all parties sign the title transfer documents to avoid complications later. Additionally, submitting the completed paperwork promptly to the DMV is crucial to reflect the change in ownership.

To put a lien on a car in Nebraska, you need to complete a lien application form and submit it to the local DMV. Ensure you have the necessary documentation, including proof of ownership and any agreements related to the Nebraska Owner Financing Contract for Car. It is important to follow the specific guidelines provided by the state, as this adds legal protection to your financial investment.

Owner financing arrangements can be set up by either the seller or a legal professional. Many sellers choose to handle their own contracts using available templates, while others prefer to consult an attorney to ensure compliance with Nebraska laws. Whether you choose a DIY approach or professional help, a Nebraska Owner Financing Contract for Car can make the process smooth and effective.

Typical terms for owner financing usually involve a down payment, an interest rate, and a repayment schedule. For a Nebraska Owner Financing Contract for Car, terms can be tailored to fit the needs of both buyer and seller, often lasting anywhere from 3 to 10 years. This flexibility allows for customized arrangements that benefit both parties.

Trusted and secure by over 3 million people of the world’s leading companies

Nebraska Owner Financing Contract for Car