North Carolina Complaint against Police Officers and Municipality for False Arrest - Unlawful Detention

State:
Multi-State
Control #:
US-02211BG
Format:
Word; 
Rich Text
Instant download

Description

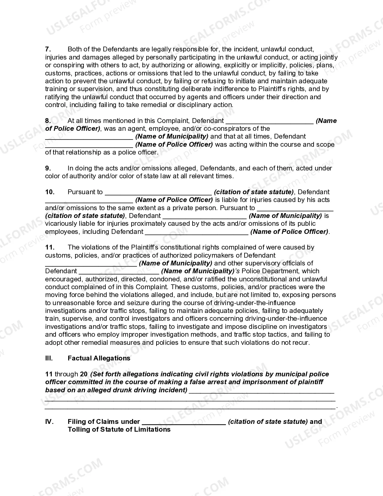
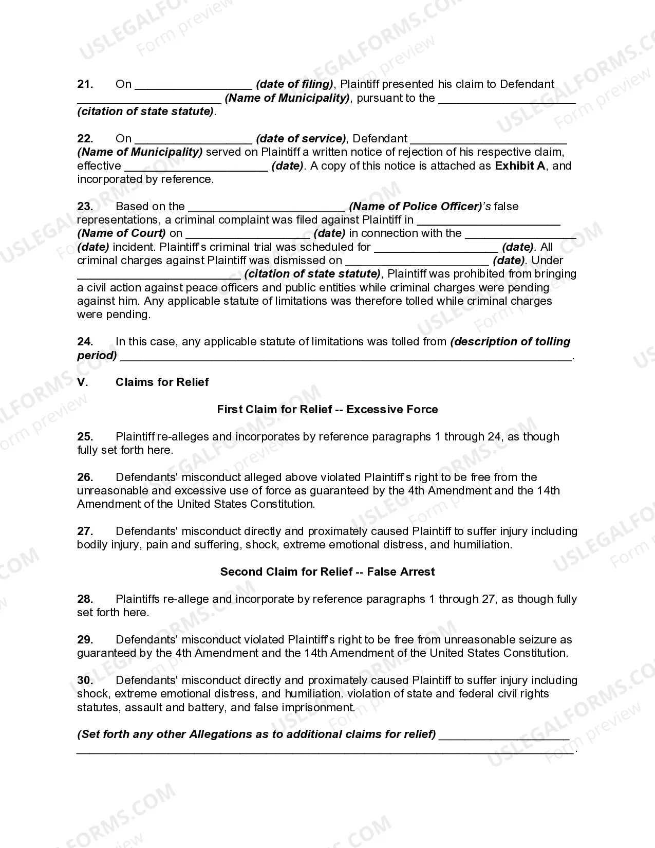
Persons who may be held liable under 42 U.S.C.A. §1983 for violating another person's federally protected rights include municipal corporations. A supervising authority, such as a city, may be liable under § 1983 for failing to train police officers when the failure to train demonstrates deliberate indifference to the constitutional rights of those with whom the officers may come into contact.


A police officer may be liable under state law for battery when he or she uses excessive force to affect an arrest. A police officer may also be found liable for damages under 42 U.S.C.A. § 1983 for violating an arrestee's constitutional rights by using unreasonable force in effecting an arrest.

Free preview
  • Preview Complaint against Police Officers and Municipality for False Arrest - Unlawful Detention
  • Preview Complaint against Police Officers and Municipality for False Arrest - Unlawful Detention
  • Preview Complaint against Police Officers and Municipality for False Arrest - Unlawful Detention
  • Preview Complaint against Police Officers and Municipality for False Arrest - Unlawful Detention
  • Preview Complaint against Police Officers and Municipality for False Arrest - Unlawful Detention

How to fill out Complaint Against Police Officers And Municipality For False Arrest - Unlawful Detention?

Are you presently in a placement that you will need papers for possibly business or specific reasons virtually every time? There are tons of authorized file templates available online, but finding versions you can rely on is not simple. US Legal Forms gives a large number of develop templates, much like the North Carolina Complaint against Police Officers and Municipality for False Arrest - Unlawful Detention, which are created in order to meet federal and state needs.

Should you be presently acquainted with US Legal Forms internet site and get a free account, just log in. After that, you can acquire the North Carolina Complaint against Police Officers and Municipality for False Arrest - Unlawful Detention template.

If you do not offer an accounts and would like to start using US Legal Forms, follow these steps:

  1. Discover the develop you will need and ensure it is for your proper area/region.
  2. Take advantage of the Review key to analyze the shape.
  3. Look at the explanation to actually have selected the appropriate develop.
  4. In case the develop is not what you`re seeking, take advantage of the Search area to discover the develop that meets your needs and needs.
  5. When you find the proper develop, click Buy now.
  6. Pick the pricing program you need, complete the required info to produce your money, and buy the order with your PayPal or Visa or Mastercard.
  7. Pick a convenient file structure and acquire your version.

Get all of the file templates you have purchased in the My Forms food list. You may get a additional version of North Carolina Complaint against Police Officers and Municipality for False Arrest - Unlawful Detention at any time, if required. Just go through the required develop to acquire or print the file template.

Use US Legal Forms, probably the most extensive selection of authorized types, to conserve time as well as steer clear of blunders. The support gives skillfully manufactured authorized file templates which can be used for a variety of reasons. Generate a free account on US Legal Forms and initiate creating your daily life a little easier.

Form popularity

FAQ

When you write to the General Manager, make sure your letter is clear and to the point. Describe the problem in a couple of sentences, tell the council what you need and ask for action. You need to allow the council a reasonable period to respond.

Customers or clients may file a complaint using the NC DSS Civil Rights Complaint Form. Please fill out the form and provide a copy to the local county DSS Title VI Compliance Officer. To protect your rights you must file a complaint within 180 days of the date you believe you or someone else was treated unfairly.

Every time a person interacts with an officer, their civil rights must remain protected. Sadly, civil rights violations continue to be a serious problem throughout North Carolina and beyond. When civil rights violations occur, victims can sue the police department under what is known as a Section 1983 lawsuit.

Complaints means expressions of discontent, pain, or grief when used as a noun. Complains means expressing discomfort, pain, or unease when used as a verb. A good way to remember the difference is Complaints has a T because they are things. Out of the two words, 'complaints' is the most common.

The Ombudsman can investigate complaints made by or on behalf of members of the public.

Put it in writing It is helpful to put your complaint in writing if you can. If this isn't something you feel comfortable doing, you could ask a friend, carer, family member or an organisation like Citizens Advice to help you. Make sure to write 'complaint' at the top of your letter or email, so there can be no doubt.

If you have information that may indicate improper governmental activities in a city agency or by a city employee or public official, we suggest that you submit your complaint to the district attorney or grand jury in the county where the action has occurred.

Contact Us for Help. If you think you've been the victim of a scam, or if you want to learn to be a smarter consumer, call Attorney General Josh Stein's consumer hotline toll free within North Carolina at 1-877-5-NO-SCAM or (919) 716-6000. You can also file a consumer complaint online.

Trusted and secure by over 3 million people of the world’s leading companies

North Carolina Complaint against Police Officers and Municipality for False Arrest - Unlawful Detention