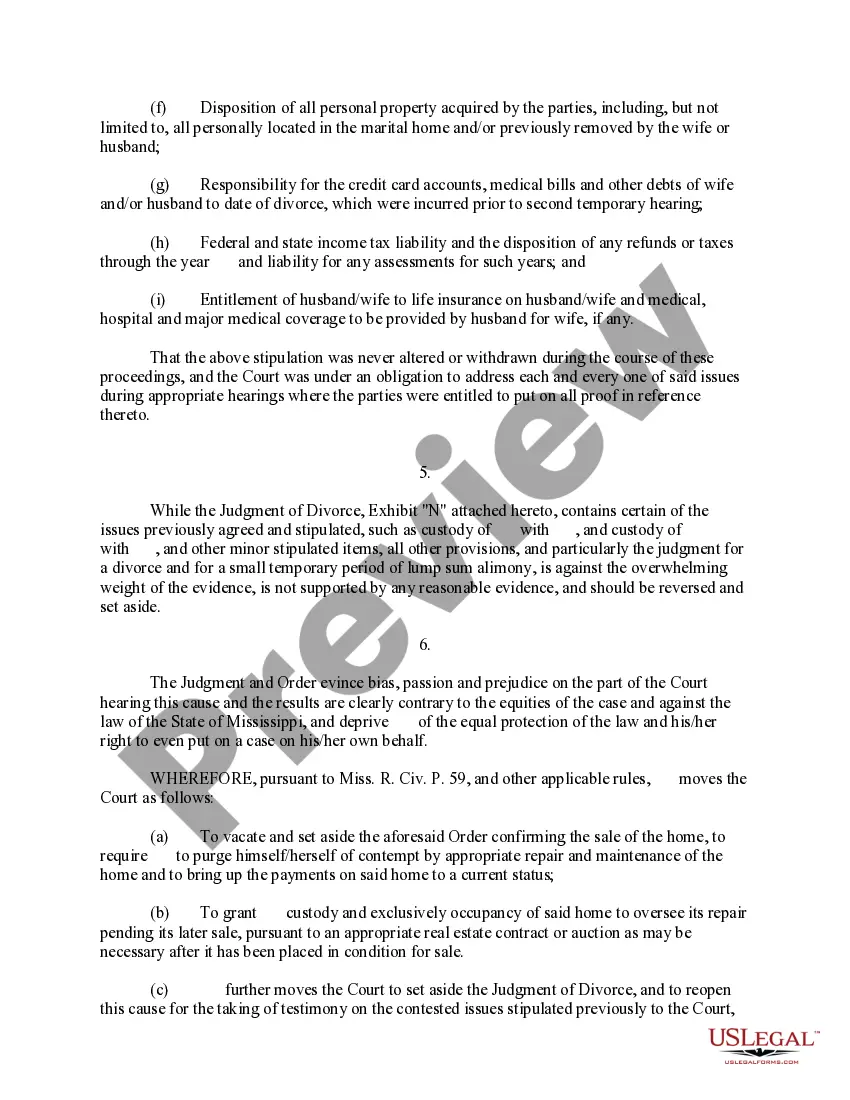
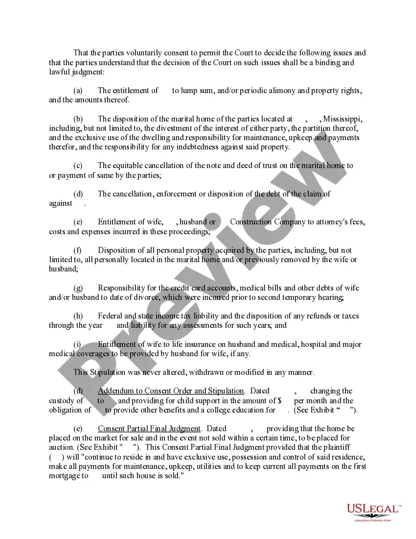
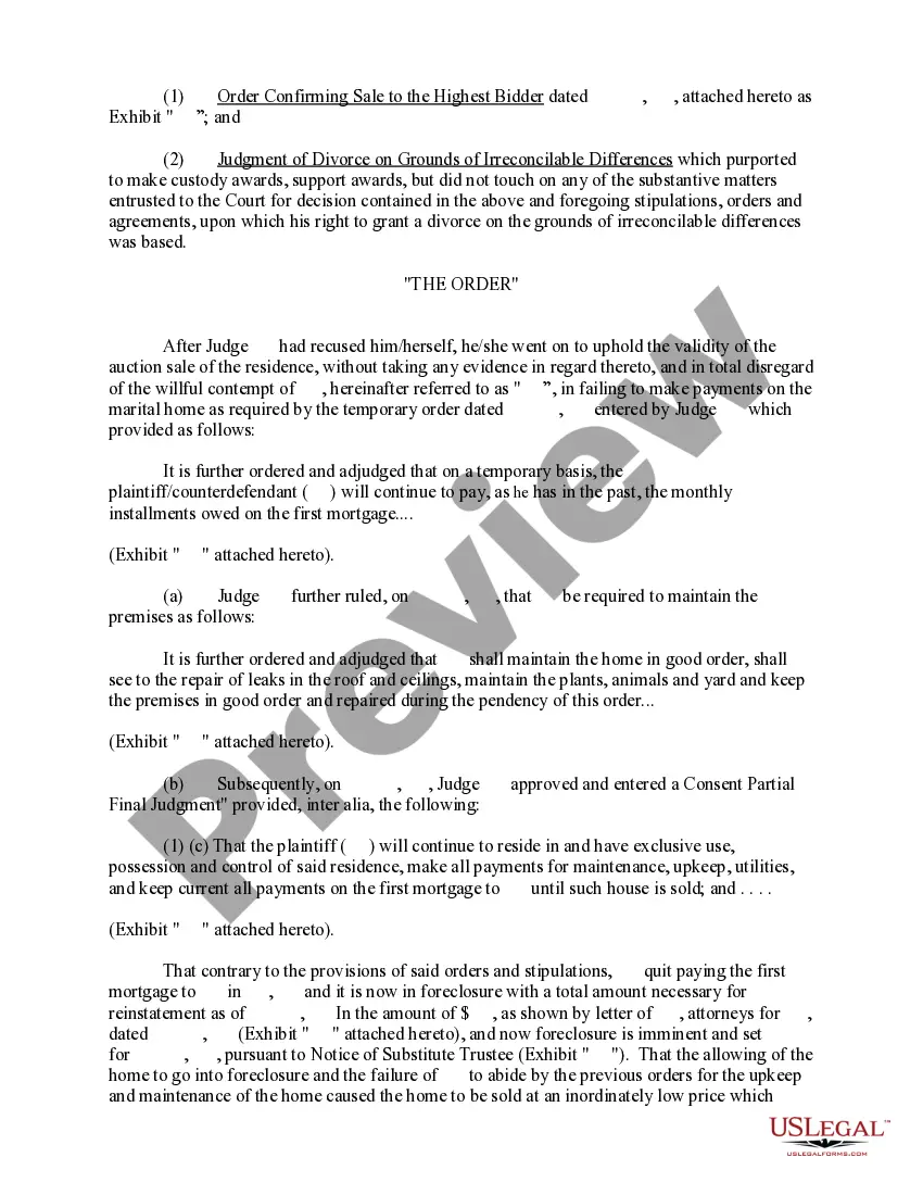
The Motion for New Trial to Set Aside Order is a legal document used to request a court to re-evaluate and overturn a previous ruling or order. This form is particularly relevant in divorce or custody cases where a party believes that the original judgment was made in error due to procedural issues or lack of evidence. Unlike a standard motion, this specific form seeks not just a hearing but also the opportunity to present additional testimony and evidence for reconsideration by the court.
This form is needed in scenarios where an individual has received an unfavorable judgment in a court case, particularly in divorce proceedings, and believes that the court made an error or did not allow them to present their complete case. It can be utilized when significant new evidence emerges or if there are claims of bias or procedural errors in the original trial.
This form is intended for:
Follow these steps to complete the form:
Notarization is not commonly needed for this form. However, certain documents or local rules may make it necessary. Our notarization service, powered by Notarize, allows you to finalize it securely online anytime, day or night.
Our built-in tools help you complete, sign, share, and store your documents in one place.
Make edits, fill in missing information, and update formatting in US Legal Forms—just like you would in MS Word.
Download a copy, print it, send it by email, or mail it via USPS—whatever works best for your next step.
Sign and collect signatures with our SignNow integration. Send to multiple recipients, set reminders, and more. Go Premium to unlock E-Sign.
If this form requires notarization, complete it online through a secure video call—no need to meet a notary in person or wait for an appointment.
We protect your documents and personal data by following strict security and privacy standards.

Make edits, fill in missing information, and update formatting in US Legal Forms—just like you would in MS Word.

Download a copy, print it, send it by email, or mail it via USPS—whatever works best for your next step.

Sign and collect signatures with our SignNow integration. Send to multiple recipients, set reminders, and more. Go Premium to unlock E-Sign.

If this form requires notarization, complete it online through a secure video call—no need to meet a notary in person or wait for an appointment.

We protect your documents and personal data by following strict security and privacy standards.
When a court sets aside a conviction it dismisses the conviction, the penalties are dismissed and disabilities are vacated. The record of the prior conviction remains but the court record will also note that the conviction has been set aside.
Defendants typically make motions for new trials after guilty verdicts. In some jurisdictions, the trial judge can order a new trial without a defendant asking.But in some instances the prosecution can appeal a trial judge's grant of a new trial, and it can usually appeal a new trial order by an appellate court.
A: A setting is typically an appointment for an attorney to call the court and set a future court date.
Fraud, accident, mistake or excusable negligence.Newly discovered evidence.Damages awarded were excessive.Insufficient evidence to support.
In law, a motion to set aside judgment is an application to overturn or set aside a court's judgment, verdict or other final ruling in a case.Motions may be made at any time after entry of judgment, and in some circumstances years after the case has been closed by the courts.
After you complete your motion, you must file it with the court.You must then serve (mail) a copy of your filed motion (including all exhibits and the date, time, and place of hearing) to all other parties in the case. If a party is represented by an attorney, mail the motion directly to the attorney's office.
To ask a court to set aside (cancel) a court order or judgment, you have to file a request for order to set aside, sometimes called a motion to set aside or motion to vacate. The terms set aside or vacate a court order basically mean to cancel or undo that order to start over on a particular issue.
MEMORANDUM/ORDER Rule 60(b) provides six bases for relief from a judgment. It also provides that motions for relief shall be made within a reasonable time, and for reasons (1), (2), and (3) not more than one year after the judgment, order, or proceeding was entered or taken. Fed. R. Civ. Pro.
To be set to (do something): to be ready to, to be prepared to (do something); to be on the point of (doing something) We're set to go.