• US Legal Forms

Mississippi No-Fault Uncontested Agreed Divorce Package for Dissolution of Marriage with Adult Children and with or without Property and Debts

State:
Mississippi
Control #:
MS-004-D
Format:
Word; 
Rich Text; 
PDF
Instant download

Description

This package includes (1) Information about Divorce, (2) Forms List, (3) Forms Explanations, (4) Instructions and Steps, (5) Checklist, (6) Forms and (7) Access to divorce law summary for your State. The forms include the required petition or complaint, separation agreement, financial reporting statements, judgment and other forms to complete your divorce.

This form is suitable for individuals looking to pursue a no-fault, uncontested divorce in the state of Mississippi, where both parties agree on the terms of the divorce. It is specifically intended for couples who:

  • Have irreconcilable differences that have caused the irretrievable breakdown of their marriage.
  • Do not have minor children and both parties are above the age of twenty-one.
  • Agree on the division of property, debts, and any other terms of the divorce.

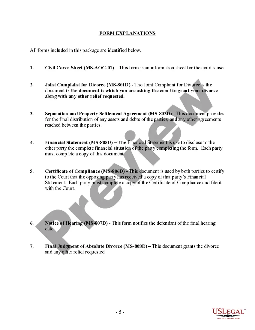
The Mississippi No-Fault Uncontested Agreed Divorce Package includes several essential forms that need to be properly completed. Here are the key components:

  1. Civil Cover Sheet (MS-AOC-01) - An information sheet for the court's use.
  2. Joint Complaint for Absolute Divorce (MS-801D) - This document formally requests the court to grant the divorce.
  3. Separation and Property Settlement Agreement (MS-803D) - Details the distribution of assets and debts.
  4. Financial Statement (MS-805D) - Discloses each party's financial situation.
  5. Certificate of Compliance (MS-806D) - Certifies that both parties have exchanged financial information.
  6. Notice of Hearing (MS-807D) - Notifies the other party of the hearing date.
  7. Final Judgment of Absolute Divorce (MS-808D) - Grants the divorce and outlines any other relief requested.

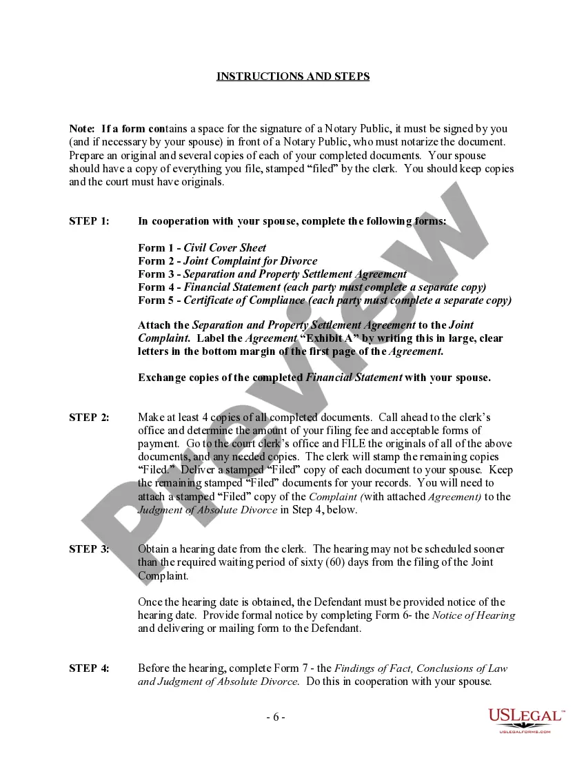
Properly completing the forms is crucial for a successful divorce application. Here is a step-by-step guide:

  1. Gather all necessary information regarding your marriage, children, property, and debts.
  2. Complete the forms in cooperation with your spouse, ensuring accuracy and mutual agreement on the content.
  3. Make copies of each completed document. You should have originals for filing, as well as a copy for your spouse.
  4. File the originals at your local court clerk’s office and obtain a stamped "Filed" copy of each document.
  5. Notify your spouse of the hearing date using the Notice of Hearing form.
  6. Prepare for the hearing by bringing all completed documents and any additional materials required.

When using this form in Mississippi, there are specific state requirements that must be met:

  • At least one party must be a bona fide resident of Mississippi for six months prior to filing.
  • All children from the marriage must be over the age of twenty-one and emancipated.
  • A waiting period of sixty days is required after filing the Joint Complaint before the final hearing can take place.

When completing the Mississippi No-Fault Uncontested Agreed Divorce Package, avoid the following common mistakes:

  • Failing to gather all required information beforehand, leading to incomplete forms.
  • Not having both parties sign the necessary documents in front of a Notary Public.
  • Missing the deadline to file or notify the other party about the hearing.
  • Neglecting to make copies of filed documents for personal records and for the other spouse.

Utilizing the Mississippi No-Fault Uncontested Agreed Divorce Package online offers several advantages:

  • Convenience: Access the forms and instructions from the comfort of your home.
  • Speed: Quickly fill out forms and save them for later review.
  • Accuracy: Many online services guide you through the process, reducing errors.
  • Updates: Stay informed with the latest laws and regulations relevant to your divorce proceedings.

Notarization is an important step in the divorce process. Here is what to expect:

  1. Both parties must sign forms in the presence of a Notary Public.
  2. The Notary will verify the identities of those signing and ensure that they understand the content of the documents.
  3. Once signed and notarized, the forms become legally binding, which is crucial for the court.
Free preview
  • Preview Mississippi No-Fault Uncontested Agreed Divorce Package for Dissolution of Marriage with Adult Children and with or without Property and Debts
  • Preview Mississippi No-Fault Uncontested Agreed Divorce Package for Dissolution of Marriage with Adult Children and with or without Property and Debts
  • Preview Mississippi No-Fault Uncontested Agreed Divorce Package for Dissolution of Marriage with Adult Children and with or without Property and Debts
  • Preview Mississippi No-Fault Uncontested Agreed Divorce Package for Dissolution of Marriage with Adult Children and with or without Property and Debts
  • Preview Mississippi No-Fault Uncontested Agreed Divorce Package for Dissolution of Marriage with Adult Children and with or without Property and Debts
  • Preview Mississippi No-Fault Uncontested Agreed Divorce Package for Dissolution of Marriage with Adult Children and with or without Property and Debts
  • Preview Mississippi No-Fault Uncontested Agreed Divorce Package for Dissolution of Marriage with Adult Children and with or without Property and Debts
  • Preview Mississippi No-Fault Uncontested Agreed Divorce Package for Dissolution of Marriage with Adult Children and with or without Property and Debts
  • Preview Mississippi No-Fault Uncontested Agreed Divorce Package for Dissolution of Marriage with Adult Children and with or without Property and Debts
  • Preview Mississippi No-Fault Uncontested Agreed Divorce Package for Dissolution of Marriage with Adult Children and with or without Property and Debts
  • Preview Mississippi No-Fault Uncontested Agreed Divorce Package for Dissolution of Marriage with Adult Children and with or without Property and Debts

How to fill out Mississippi No-Fault Uncontested Agreed Divorce Package For Dissolution Of Marriage With Adult Children And With Or Without Property And Debts?

Obtain a printable Mississippi No-Fault Uncontested Agreed Divorce Package for Dissolution of Marriage with Adult Children and with or without Property and Debts within several mouse clicks in the most extensive library of legal e-documents. Find, download and print out professionally drafted and certified samples on the US Legal Forms website. US Legal Forms continues to be the #1 provider of affordable legal and tax forms for US citizens and residents on-line since 1997.

Users who have already a subscription, need to log in directly into their US Legal Forms account, download the Mississippi No-Fault Uncontested Agreed Divorce Package for Dissolution of Marriage with Adult Children and with or without Property and Debts and find it saved in the My Forms tab. Users who do not have a subscription must follow the tips listed below:

  1. Ensure your template meets your state’s requirements.
  2. If available, read the form’s description to find out more.
  3. If available, preview the form to see more content.
  4. Once you are sure the template fits your needs, click Buy Now.
  5. Create a personal account.
  6. Choose a plan.
  7. Pay out through PayPal or visa or mastercard.
  8. Download the template in Word or PDF format.

Once you’ve downloaded your Mississippi No-Fault Uncontested Agreed Divorce Package for Dissolution of Marriage with Adult Children and with or without Property and Debts, you can fill it out in any online editor or print it out and complete it manually. Use US Legal Forms to get access to 85,000 professionally-drafted, state-specific files.

Decorative icon for this block

Divorce Package

Make the process of finding the needed Divorce Package more straightforward. Choose your state, clarify circumstances, and get forms that suit your case.

Form popularity

FAQ

An uncontested divorce is a divorce decree that neither party is fighting. When both parties in a married couple agree to divorce, filing for an uncontested divorce can save time and money through streamlined court procedures. The couple must: Not have any financial disputes (such as child custody or alimony)

Marital Settlement Agreements, reached between the parties in writing and signed by the parties, become legally binding when approved by the court at the time of the final court hearing.Once approved by the court, such post judgment stipulations do become legally binding and enforceable between the parties.

If both parties agree on all major issues, known as an uncontested divorce, you can keep the costs relatively low. If you do your own divorce papers and your divorce is amicable, costs could be under $500. Of course, there are filing fees in all states, which increase the cost.

An Agreed Order refers to a written agreement submitted by the parties to a case resolving the issues between them.

Trusted and secure by over 3 million people of the world’s leading companies

Mississippi No-Fault Uncontested Agreed Divorce Package for Dissolution of Marriage with Adult Children and with or without Property and Debts