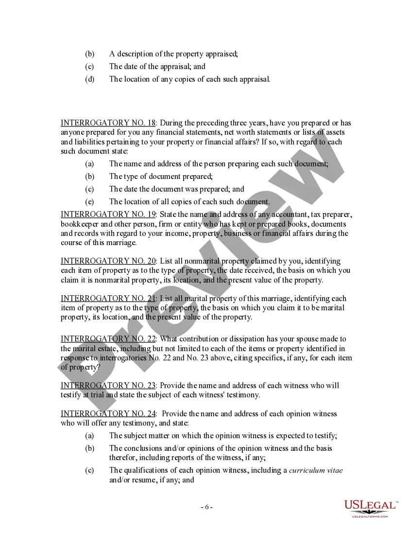
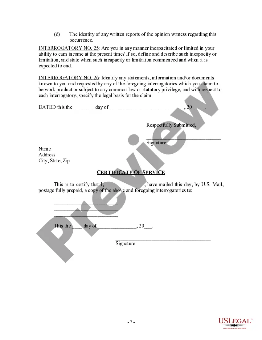
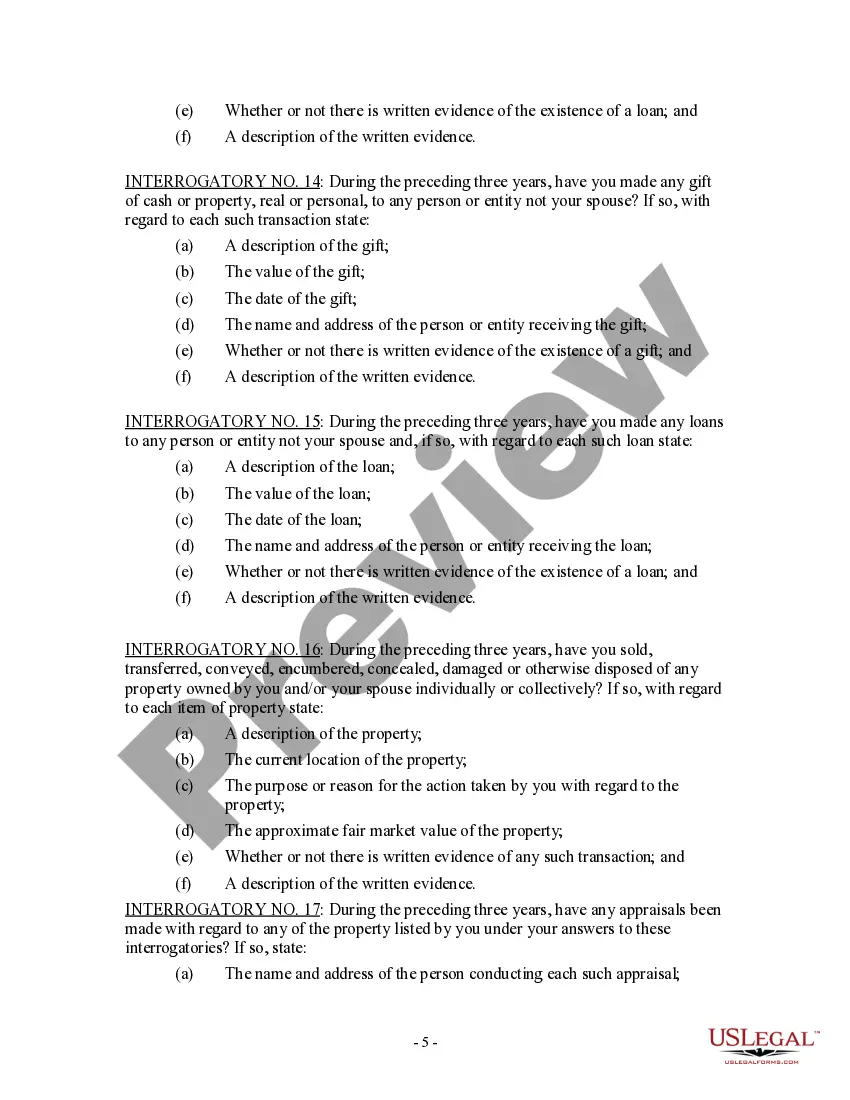
The Discovery Interrogatories for Divorce Proceeding is a legal document used by the Plaintiff in a divorce action to obtain detailed information from the Defendant. This form allows each party to ask specific questions regarding financial matters, property ownership, and other significant facts relevant to the divorce case. It serves to clarify each party's financial situation and assets, which is crucial in divorce proceedings. Unlike other legal forms, this document not only includes interrogatories but also a request for the production of documents, ensuring all necessary information is gathered.
This form should be used when initiating a divorce proceeding to gather crucial information from the opposing party. It is particularly helpful when there are disputes regarding financial matters, asset division, or any other relevant issues that need clarification before finalizing the divorce. This document is an essential tool for ensuring transparency and understanding between both parties involved.
This form usually doesn’t need to be notarized. However, local laws or specific transactions may require it. Our online notarization service, powered by Notarize, lets you complete it remotely through a secure video session, available 24/7.
Our built-in tools help you complete, sign, share, and store your documents in one place.
Make edits, fill in missing information, and update formatting in US Legal Forms—just like you would in MS Word.
Download a copy, print it, send it by email, or mail it via USPS—whatever works best for your next step.
Sign and collect signatures with our SignNow integration. Send to multiple recipients, set reminders, and more. Go Premium to unlock E-Sign.
If this form requires notarization, complete it online through a secure video call—no need to meet a notary in person or wait for an appointment.
We protect your documents and personal data by following strict security and privacy standards.

Make edits, fill in missing information, and update formatting in US Legal Forms—just like you would in MS Word.

Download a copy, print it, send it by email, or mail it via USPS—whatever works best for your next step.

Sign and collect signatures with our SignNow integration. Send to multiple recipients, set reminders, and more. Go Premium to unlock E-Sign.

If this form requires notarization, complete it online through a secure video call—no need to meet a notary in person or wait for an appointment.

We protect your documents and personal data by following strict security and privacy standards.
Rule 2-424 in Maryland outlines the regulations regarding interrogatories in civil cases. This rule provides specific guidelines on how many interrogatories can be sent, as well as deadlines for responses. Adherence to this rule is essential to ensure fairness and clarity during legal proceedings. Familiarity with rule 2-424 is key when using Maryland Discovery Interrogatories for Divorce Proceeding for either Plaintiff or Defendant - Another Form.
The Maryland mutual consent divorce law gets rid of the 12-month waiting period. It allows couples (and as of 2018, parents) to get a divorce with no wait, even if they can't afford to separate until the Judgment is final.
Maryland is one of the unique states that requires there to be a fault ground to get an immediate divorce without a waiting period. These grounds, however, are likely to be contested as they are adultery and cruelty.For now, the quickest route to obtain a divorce is an uncontested, no fault twelve month separation.
In a Maryland divorce, judges don't always divide marital property right down the middle using a 50/50 split. Because Maryland is an equitable distribution state, the divorce court will divide property fairly between the spouses, but not always equally.
Couples who are separated, whether informally or legally, are still married in the eyes of the law, regardless of how independent their lives have become. This means that if either spouse has a sexual relationship with another person during the separation period, they have probably committed adultery.
Grounds are required to obtain either type of divorce in Maryland.So no, you don't absolutely have to separate before getting a divorce in Maryland. Living apart for a year is not the only grounds for absolute divorce, however; it's just the only no fault grounds.
In the state of Maryland, it is still considered adultery if you are dating and having sexual intercourse with someone else who is not your spouse, even if you are separated.Once you are divorced, you are free to start dating.
Technically, there is no Legal Separation in Maryland. In Maryland, whether or not a couple is separated is a question of fact. If spouses are not having sexual relations and are not sleeping under the same roof (in the same residence), then they are considered to be separated.
For now, the quickest route to obtain a divorce is an uncontested, no fault twelve month separation. In order to meet the requirements for this type of divorce, it is important to clearly establish the separation date. This will determine the twelve-month mark for when you can file a complaint for absolute divorce.
Before filing for divorce, the spouses must have lived separate and apart without cohabitation (living together or having sexual relations) for 12 months without interruption. Mutual consent is a newer no fault ground for absolute divorce.