This is a sample set of 28 Interrogatories from Plaintiff to Defendant for use in connection with a vehicle incident, such as an automobile accident.
This is a sample set of 28 Interrogatories from Plaintiff to Defendant for use in connection with a vehicle incident, such as an automobile accident.
Letter to Client - Interrogatories to Answer
Complaint for auto and truck accident
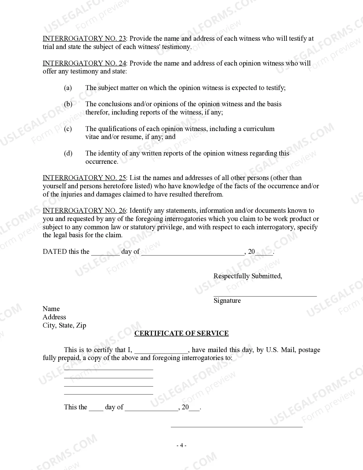
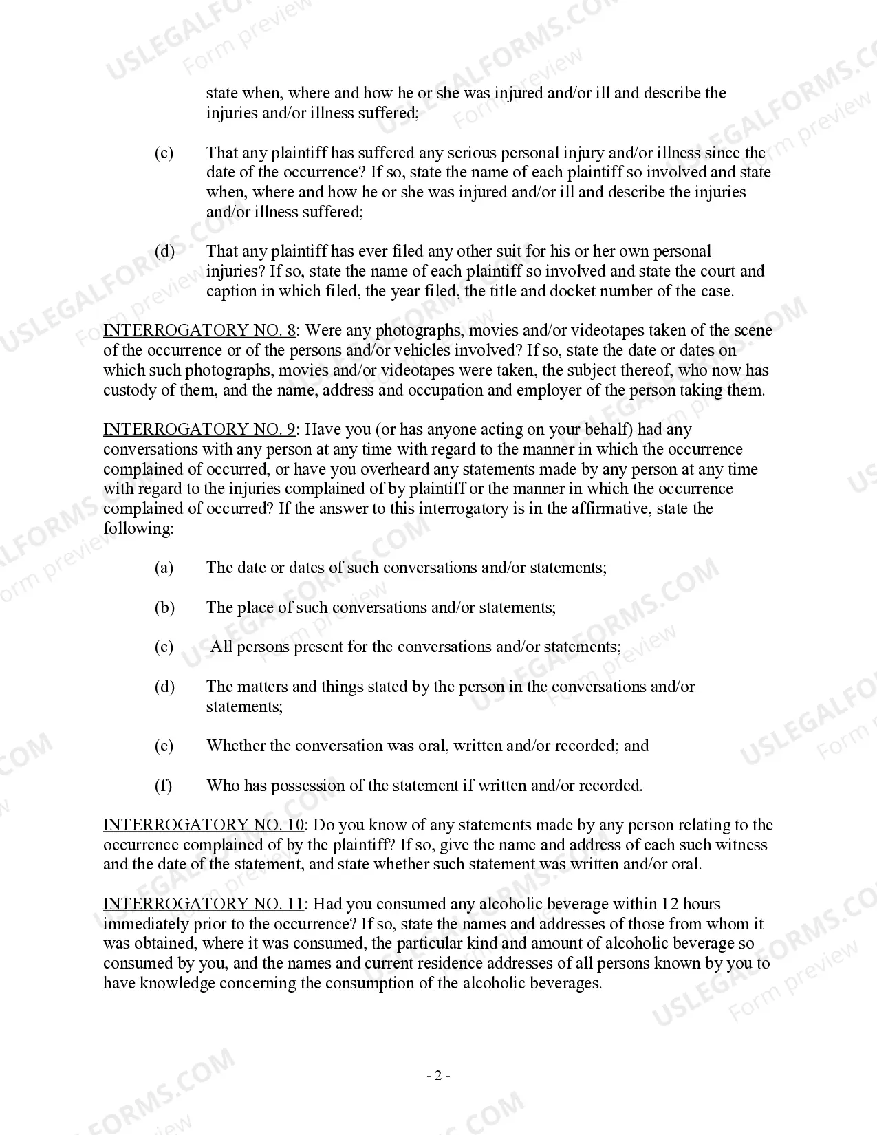
Interrogatories - Personal Injury - Auto Accident
Interrogatories to Defendant - Personal Injury
Interrogatories to Defendant - First Set - Personal Injury
Obtain one of the most comprehensive catalogs of approved documents. US Legal Forms serves as a platform to discover any state-specific file in just a few clicks, including Georgia Interrogatories to Defendant for Motor Vehicle Accident templates.
No need to spend hours searching for a court-acceptable document. Our licensed experts guarantee that you receive current paperwork consistently.
To take advantage of the document library, select a subscription plan and set up your account. If you have already done so, simply Log In and click Download. The Georgia Interrogatories to Defendant for Motor Vehicle Accident template will be instantly saved in the My documents section (a section for all forms you download from US Legal Forms).
That's it! You should complete the Georgia Interrogatories to Defendant for Motor Vehicle Accident form and verify it. To ensure accuracy, consult your local legal advisor for assistance. Register and explore over 85,000 useful forms.
An example of an interrogatory sentence in regard to Georgia Interrogatories to Defendant for Motor Vehicle Accident could be, 'Please state the details of your insurance coverage applicable to the motor vehicle involved in the accident on insert date.' This sentence is direct and seeks specific information that can be pivotal in understanding the context of the accident and any liabilities.
Interrogatories, while useful, come with certain disadvantages. They can sometimes elicit evasive or incomplete responses, particularly if the wording of the questions is unclear. Additionally, the time required for both drafting and responding can slow down the overall legal process. It’s essential to weigh these drawbacks against the benefits when utilizing Georgia Interrogatories to Defendant for Motor Vehicle Accident.
Formatting answers to Georgia Interrogatories to Defendant for Motor Vehicle Accident requires clear and organized responses. Each answer should correspond to the specific interrogatory number, making it easy to reference. Use a straightforward structure that separates each answer clearly, and encourage defendants to provide comprehensive replies. This format promotes readability and clarity in the discovery process.
Under Georgia law, the rule of 35 interrogatories limits each party to serving 35 interrogatories to other parties involved in a civil case. This rule aims to streamline the discovery process and prevent excessive questioning that can burden defendants. When crafting Georgia Interrogatories to Defendant for Motor Vehicle Accident, remain mindful of this limitation to ensure compliance and focus on the most pertinent questions.
A good interrogatory in the context of Georgia Interrogatories to Defendant for Motor Vehicle Accident should present clear and relevant questions. Start with open-ended questions that encourage detailed responses while being specific enough to limit ambiguity. Avoid asking compound questions, as these can confuse the respondent. Focus on the objectives of your case to frame targeted inquiries.
To write effective Georgia Interrogatories to Defendant for Motor Vehicle Accident, begin by focusing on clarity. Ensure each question is direct and specific to the facts of the case. By using straightforward language, you can avoid confusion and elicit detailed responses. Additionally, tailor your questions to gather crucial information that will support your case.
Interrogatories are vital in the discovery phase, particularly Georgia Interrogatories to Defendant for Motor Vehicle Accident. They help gather essential information and clarify the facts of the case. Engaging with interrogatories can significantly impact the strength of your legal arguments and overall case outcome.
Ignoring interrogatories, especially Georgia Interrogatories to Defendant for Motor Vehicle Accident, can lead to significant issues in your case. The court may impose sanctions or make decisions that adversely affect your outcomes. Always take this process seriously and seek legal support if you encounter difficulties.
Yes, interrogatories must typically be answered under law. In the context of Georgia Interrogatories to Defendant for Motor Vehicle Accident, it's important to provide clear and accurate responses to facilitate the legal process. Not responding can lead to negative ramifications for your case.
If a party fails to answer interrogatories, such as those that pertain to Georgia Interrogatories to Defendant for Motor Vehicle Accident, the other party may file a motion to compel. This legal action can prompt the court to intervene and order compliance. Ignoring interrogatories can also harm your case and weaken your position.
Employment Separation Agreement
Notice by Seller Regarding Request for Extension of Time to Effect Cure of Improper Tender of Goods
Termination Agreement between Employer and Executive at End of Term of Employment Agreement with Restrictive Covenants and General Release
Employment Agreement with Vice President of Human Resources
Credit Information Request
Definitions
Discovery: A procedure designed to allow disclosure of information between Plaintiffs and Defendants. Written questions, oral questioning, document production and admissions requests are generally allowed. Discovery was designed to to prevent trial by ambush.
Interrogatories: Written questions from Plaintiff to Defendant, or from Defendant to Plaintiff. The questions are mailed to the Plaintiff, Defendant or the attorney for response in writing. The answers or responses are usually due between 20-30 days.
Deposition: A procedure where verbal questions are asked a Plaintiff or Defendant for immediate response. Depositions are usually recorded by a court reporter, who swears the person to tell the truth before questioning begins.
Production of Documents: The method of obtaining documents from the other party relevant to the case such as all documents a party intends to introduce at trial.
Requests for Admissions: Written questions where you request the other party to admit or deny some relevant fact.
Objections: Objections may be made to all discovery questions if the questions are not relevant, or likely to lead to the discovery of relevant evidence.
Civil Procedure Rules: Virtually all states have adopted a version of civil procedure rules which include rules dealing with discovery.
Georgia Uniform Court Rules
Georgia has adopted Uniform Court Rules which are contained in the Georgia Code, Sections 9-11-26 through 9-11-37. The discovery rules also apply in divorce actions.
Discovery Methods: Parties may obtain discovery by one or more of the following methods: (1) depositions upon oral examination or written questions; (2) written interrogatories; (3) production of documents or things or permission to enter upon land or other property, for inspection and other purposes; and (4) requests for admission. Unless the court orders otherwise, the frequency of use of these methods is not limited. (Georgia Code, Section 9-11-26)
Scope: Parties may obtain discovery regarding any matter, not privileged, which is relevant to the issues raised by the claims or defenses of any party. The discovery may include the existence, description, nature, custody, condition and location of any books, documents, or other tangible things; and the identity and location of persons (i) having knowledge of any discoverable matter or (ii) who may be called as witnesses at the trial. It is not ground for objection that the information sought will be inadmissible at the trial if the information sought appears reasonably calculated to lead to the discovery of admissible evidence. A party may obtain without the required showing a statement concerning the action or its subject matter previously made by that party. (Georgia Code, Section 9-11-26)
Experts: A party may through interrogatories require any other party to identify each person whom the other party expects to call as an expert witness at trial, to state the subject matter on which the expert is expected to testify, and to state the substance of the facts and opinions to which the expert is expected to testify and a summary of the grounds for each opinion. (Georgia Code, Section 9-11-26)
Supplementation of Responses. A party who has responded to a request for discovery with a response that was complete when made is under no duty to supplement his response, except to supplement with respect to any question directly addressed to (A) the identity and location of persons (i) having knowledge of discoverable matters, or (ii) who may be called as witnesses at the trial, and (B) the identity of each person expected to be called as an expert witness at trial, the subject matter on which he is expected to testify, and the substance of his testimony.
A party is under a duty seasonably to amend a prior response if he obtains information upon the basis of which (A) he knows that the response was incorrect when made, or (B) he knows that the response, though correct when made, is no longer true and the circumstances are such that a failure to amend the response is in substance a knowing concealment. (Georgia Code, Section 9-11-26)
Before Whom Depositions May Be Taken: (a) Within the United States and its possessions. Within the United States or within a territory or insular possession subject to the dominion of the United States, depositions shall be taken before an officer authorized to administer oaths by the laws of the United States or by the laws of the place where the examination is held or before a court reporter appointed by the court in which the action is pending or, if within this state, before a certified court reporter or as otherwise provided by the rules of the Board of Court Reporting. A person so appointed has power to administer oaths and take testimony.
(b) In foreign countries. In a foreign state or country depositions shall be taken on notice before a secretary of embassy or legation,consul general, consul, vice-consul, or consular agent of the United States, or before such person or officer as may be appointed by commission or under letters rogatory. A commission or letters rogatory shall be issued only when necessary or convenient, on application and notice, and on such terms and with such directions as are just and appropriate. Officers may be designated in notices or commissions either by name or by descriptive title and letters rogatory may be addressed "To the Appropriate Judicial Authority in (here name the country)."
(c) Disqualification for interest. No deposition shall be taken before a court reporter who is a relative, employee, attorney, or counsel of any of the parties, or who is a relative or employee of such attorney or counsel, or who is financially interested in the action, excepting that a deposition may be taken before a court reporter who is a relative of a party or of an attorney or counsel of a party if all parties represented at the deposition enter their explicit consent to the same upon the record of the deposition. (Georgia Code, Section 9-11-28)
Stipulations: Unless the court orders otherwise, the parties may, by written stipulation: (1) Provide that depositions may be taken before any person, at any time or place, upon any notice, and in any manner and, when so taken, may be used like other depositions; and
(2) Modify the procedures provided by this chapter for other methods of discovery. (Georgia Code, Section 9-11-29)
Summary of Georgia Code, Section 9-11-29.1:
Georgia Code, Section 9-11-29.1 specifically lists when depositions and other discovery material, otherwise required to be filed with the court shall not be required to be filed.
The entire rule provides:
(a) Depositions and other discovery material otherwise required to be filed with the court under this chapter shall not be required to be so filed unless:
(1) Required by local rule of court;
(2) Ordered by the court;
(3) Requested by any party to the action;
(4) Relief relating to discovery material is sought under this chapter and said material has not previously been filed under some other provision of this chapter, in which event copies of thematerial in dispute shall be filed by the movant contemporaneously with the motion for relief; or
(5) Such material is to be used at trial or is necessary to apretrial or posttrial motion and said material has not previously been filed under some other provision of this chapter, in whichevent the portions to be used shall be filed with the clerk of the court at the outset of the trial or at the filing of the motion,insofar as their use can be reasonably anticipated by the partieshaving custody thereof, but a party attempting to file and use such material which was not filed with the clerk at the outset ofthe trial or at the filing of the motion shall show to the satisfaction of the court, before the court may authorize such filing and use, that sufficient reasons exist to justify that late filing and use and that the late filing and use will not constitute surprise or manifest injustice to any other party in the proceedings.
(b)Until such time as discovery material is filed under paragraphs (1)through (5) of subsection (a) of this Code section, the original of all depositions shall be retained by the party taking the deposition and the original of all other discovery material shall be retained by the party requesting such material, and the person thus retaining the deposition or other discovery material shall be the custodian thereof. (Georgia Code, Section 9-11-29.1)
When Depositions May Be Taken:
(a) When depositions may be taken. After commencement of the action, any party may take the testimony of any person, including a party, by deposition upon oral examination. Leave of court, granted with or without notice, must be obtained only if the plaintiff seeks to take a deposition prior to the expiration of 30 days after service of the summons and complaint upon any defendant or service made under subsection (f) of Code Section 9-11-4, except that leave is not required if a defendant has served a notice of taking deposition or otherwise sought discovery or if special notice is given as provided in paragraph (2) of subsection (b) of this Code section. The attendance of witnesses may be compelled by subpoena as provided in Code Section 9-11-45. The deposition of a person confined in a penal institution may be taken only by leave of court on such terms as the court prescribes.
(b) Notice of examination.
(1) General requirements. A party desiring to take the deposition of any person upon oral examination shall give reasonable notice in writing to every other party to the action. The notice shall state the time and place for taking the deposition, the means by which the testimony shall be recorded, and the name and address of each person to be xamined, if known, and, if the name is not known, a general description sufficient to identify the person to be examined or the particular class or group to which he or she belongs. If a subpoena for the production of documentary and tangible evidence is to be served on the person to be examined, the designation of the materials to be produced, as set forth in the subpoena, shall be attached to, or included in, the notice.
(2) Special notice. Leave of court is not required for the taking of a deposition by plaintiff if the notice:
(A) States that the person to be examined is about to go out of the county where the action is pending and more than 150 miles from the place of trial, or is about to go out of the United States, or is bound on a voyage to sea, and will be unavailable for amination unless the deposition is taken before expiration of the 30 day period; and
(B) Sets forth facts to support the statement. The plaintiff's attorney shall sign the notice, and said attorney's signature constitutes a certification by him or her that, to the best of his or her knowledge, information, and belief, the statement and supporting facts are true. If a party shows that, when he or she was served with notice under this paragraph, he or she was unable through the exercise of diligence to obtain counsel to represent him or her at the taking of the deposition, the deposition may not be used against such party.
(3) Time requirements. The court may, for cause shown, enlarge or shorten the time for taking the deposition.
(4) Recording of deposition. Unless the court orders otherwise, the testimony at a deposition must be recorded by stenographic means, and may also be recorded by sound or sound and visual means in addition to stenographic means, and the party taking the deposition shall bear the costs of the recording. A deposition shall be conducted before an officer appointed or designated under Code Section 9-11-28. Upon motion of a party or upon its own motion, the court may issue an order designating the manner of recording, preserving, and filing of a deposition taken by nonstenographic means, which order may include other provisions to assure that the recorded testimony will be accurate and trustworthy. Any party may arrange for a transcription to be made from the recording of a deposition taken by nonstenographic means. With prior notice to the deponent and other parties, any party may designate another method to record the deponent's testimony in addition to the methods specified by the person taking the deposition. The additional record or transcript shall be made at that party's expense unless the court otherwise orders. The appearance or demeanor of deponents or attorneys shall not be distorted through camera or sound-recording techniques. Notwithstanding the foregoing provisions of this paragraph, a deposition may be taken by telephone or other remote electronic means only upon the stipulation of the parties or by order of the court. For purposes of the requirements of this chapter, a deposition taken by telephone or other remote electronic means is taken in the state and at the place where the deponent is to answer questions.
(5) Production of documents and things. The notice to a party deponent may be accompanied by a request made in compliance with Code Section 9-11-34 for the production of documents and tangible things at the taking of the deposition. The procedure of Code Section 9-11-34 shall apply to the request.
(6) Deposition of organization. A party may, in his or her notice, name as the deponent a public or private corporation orapartnership or association or a governmental agency and signate with reasonable particularity the matters on which examinationis requested. The organization so named shall designate one or more officers, directors, or managing agents, or other persons who consent to testify on its behalf, and may set forth, for each person designated, the matters on which he or she will testify. The persons so designated shall testify as to matters known or reasonably available to the organization. This paragraph does not preclude taking a deposition by any other procedure authorized in this chapter. (Georgia Code, Section 9-11-30)
Interrogatories
(a) Availability; procedures for use.
(1) Any party may serve upon any other party written interrogatories to be answered by the party served or, if the party served is a public or private corporation or a partnership or association or a governmental agency, by any officer oragent, who shall furnish such information as is available to the party. Interrogatories may, without leave of court, be served upon the plaintiff after commencement of the action and upon any other party with or after service of the summons and complaint upon that party; provided, however, that no party may serve interrogatories containing more than 50 interrogatories, including subparts, upon any other party without leave of court upon a showing of complex litigation or undue hardship incurred if such additional interrogatories are not permitted.
(2) Each interrogatory shall be answered separately and fully in writing under oath, unless it is objected to, in which event thereasons for objection shall be stated in lieu of an answer. The answers are to be signed by the person making them, and the objections signed by the attorney making them. The party upon whom the interrogatories have been served shall serve a copy of the answers, and objections if any, within 30 days after the service of the interrogatories, except that a defendant may serve answers or objections within 45 days after service of the summons and complaint upon that defendant. The court may allow a shorter or longer time. The party submitting the interrogatories may move for an order under subsection (a) of Code Section 9-11-37 with respect to any objection to or other failure to answer an interrogatory.
(b) Scope; use at trial.
(1) Interrogatories may relate to any matters which can be inquired into under subsection (b) of Code Section 9-11-26, andthe answers may be used to the extent permitted by the rules ofevidence.
(2) An interrogatory otherwise proper is not necessarily objectionable merely because an answer to the interrogatory involves an opinion or contention that relates to fact or to the application of law to fact; but the court may order that such an interrogatory need not be answered until after designated discovery has been completed or until a pretrial conference or other later time.
(c) Option to produce business records. Where the answer to an interrogatory may be derived or ascertained from the business records of the party upon whom the interrogatory has been served or from an examination, audit, or inspection of such business records, or from a compilation, abstract, or summary based thereon, and the burden of deriving or ascertaining the answer is substantially the same for the party serving the interrogatory as for the party served, it is a sufficient answer to the interrogatory to specify the records from which the answer may be derived or ascertained and to afford to the party serving the interrogatory reasonable opportunity to examine, audit, or inspect such records and to make copies, compilations, abstracts, or summaries. (Georgia Code, 9-11-33)
PHYSICAL AND MENTAL EXAMINATIONS OF PERSONS
(a) Order for examination. When the mental or physical condition (including the blood group) of a party, or of a person in the custody or under the legal control of a party, is in controversy, the court in which the action is pending may order the party to submit to a physical or mental examination by a physician or to produce for examination the person in his custody or legal control. The order may be made only on motion for good cause shown and upon notice to the person to be examined and to all parties and shall specify the time, place, manner, conditions, and scope of the examination and the person or persons by whom it is to be made.
(b) Report of examining physician.
(1) If requested by the party against whom an order is made under subsection (a) of this Code section or by the person examined, the party causing the examination to be made shall deliver to him a copy of a detailed written report of the examining physician setting out his findings, including results of all tests made, diagnoses, and conclusions, together with like reports of all earlier examinations of the same condition.
(2) Any party shall be entitled, upon request, to receive from the party whose physical or mental condition is in issue, or who is in control of, or has legal custody of, a person whose physical or mental condition is in issue, a report of any and every examination, previously or thereafter made, of the condition in issue, unless, in the case of a report of examination of a person not a party, the party shows that he is unable to obtain it.
(3) The court, on motion, may make an order against a partyrequiring delivery of a report under paragraph (1) or (2) of this subsection on such terms as are just; and, if a physician fails or refuses to make a report, the court may exclude his testimony if offered at the trial.
(4) By requesting and obtaining a report of the examination so ordered or by taking the deposition of the examiner, the party examined waives any privilege he may have in that action, or any other action involving the same controversy, regarding the testimony of every other person who has examined or may thereafter examine him in respect to the same mental or physical condition.
(5) Paragraphs (1) through (4) of this subsection apply to examinations made by agreement of the parties, unless the agreement expressly provides otherwise. Paragraphs (1) through (4) of this subsection do not preclude discovery of a report of an examining physician or the taking of a deposition of the physician in accordance with any other Code section of this chapter. (Georgia Code, 9-11-35)
Requests for Admissions
(a) Scope; service; answer or objection; motion to determine sufficiency.
(1) A party may serve upon any other party a written request for the admission, for purposes of the pending action only, of the truth of any matters within the scope of subsection (b) of Code Section 9-11-26 which are set forth in the request and that relate to statements or opinions of fact or of the application of law to fact, including the genuineness of any documents described in the request. Copies of documents shall be served with the request unless they have been or are otherwise furnished or made available for inspection and copying. The request may, without leave of court, be served upon the plaintiff after commencement of the action and upon any other party with or after service of the summons and complaint upon that party.
(2) Each matter of which an admission is requested shall be separately set forth. The matter is admitted unless, within 30 days after service of the request or within such shorter or longer time as the court may allow, the party to whom the request is directed serves upon the party requesting the admission a written answer or objection addressed to the matter, signed by the party or by his attorney; but unless the court shortens the time, a defendant shall not be required to serve answers or objections before the expiration of 45 days after service of the summons and complaint upon him. If objection is made, the reasons therefor shall be stated. The answer shall specifically deny the matter or set forth in detail the reasons why the answering party cannot truthfully admit or deny the matter. A denial shall fairly meet the substance of the requested admission; and, when good faith requires that a party qualify his answer or deny only a part of the matter of which an admission is requested, he shall specify so much of it as is true and qualify or deny the remainder. An answering party may not give lack of information or knowledge as a reason for failure to admit or deny unless he states that he has made reasonable inquiry and that the information known or readily obtainable by him is insufficient to enable him to admit or deny. A party who considers that a matter of which an admission has been requested presents a genuine issue for trial may not, on that ground alone, object to the request; he may, subject to subsection
(c) of Code Section 9-11-37, deny the matter or set forth reasons why he cannot admit or deny it.
(3) The party who has requested the admissions may move to determine the sufficiency of the answers or objections. Unless the court determines that an objection is justified, it shall order that an answer be served. If the court determines that an answer does not comply with the requirements of this subsection, it may order either that the matter is admitted or that an amended answer be served. The court way, in lieu of these orders, determine that final disposition of the request be made at a pretrial conference or at a designated time prior to trial. Paragraph (4) of subsection (a) of Code Section 9-11-37 shall apply to the award of expenses incurred in relation to the motion.
(b) Effect of admission. Any matter admitted under this Code section is conclusively established unless the court, on motion, permits withdrawal or amendment of the admission. Subject to Code Section 9-11-16 governing amendment of a pretrial order, the court may permit withdrawal or amendment when the presentation of the merits of the action will be subserved thereby and the party who obtained the admission fails to satisfy the court that withdrawal or amendment will prejudice him in maintaining his action or defense on the merits. Any admission made by a party under this Code section is for the purpose of the pending action only and is not an admission by him for any other purpose, nor may it be used against him in any other proceeding. (Georgia Code, 9-11-36)
Motion Compelling Discovery
(a) Motion for order compelling discovery. A party, upon reasonable notice to other parties and all persons affected thereby, may apply for an order compelling discovery as follows:
(1) Appropriate court. An application for an order to a party may be made to the court in which the action is pending or, on matter relating to a deposition, to the court in the county where the deposition is being taken. An application for an order to deponent who is not a party shall be made to the court in thecounty where the deposition is being taken;
(2) Motion; protective order. If a deponent fails to answer question propounded or submitted under Code Section 9-11-30 or 9-11-31, or a corporation or other entity fails to make designation under paragraph (6) of subsection (b) of Code Section 9-11-30 or subsection (a) of Code Section 9-11-31, or a part fails to answer an interrogatory submitted under Code Section 9-11-33, or if a party, in response to a request for inspection submitted under Code Section 9-11-34, fails to respond that inspection will be permitted as requested or fails to permit inspection as requested, the discovering party may move for an order compelling an answer, or a designation, or an order compelling inspection in accordance with the request. When taking a deposition on oral examination, the proponent of the question may complete or adjourn the examination before he applies for an order. If the court denies the motion in whole or in part, it may make such protective order as it would have been empowered to make on a motion made pursuant to subsection (c) of Code Section 9-11-26;
(3) Evasive or incomplete answer. For purposes of the provisions of this chapter which relate to depositions and discovery, an evasive or incomplete answer is to be treated as a failure to answer; and
(4) Award of expenses of motion.
(A) If the motion is granted, the court shall, after opportunity for hearing, require the party or deponent whose conduct necessitated the motion or the party or attorney advising such conduct or both of them to pay to the moving party the reasonable expenses incurred in obtaining the order, including attorney's fees, unless the court finds that the opposition to the motion was substantially justified or that other circumstances make an award of expenses unjust.
(B) If the motion is denied, the court shall, after opportunity for hearing, require the moving party or the attorney advising the motion or both of them to pay to the party or deponent who opposed the motion the reasonable expenses incurred in opposing the motion, including attorney's fees, unless the court finds that the making of the motion was substantially justified or that other circumstances make an award of expenses unjust.
(C) If the motion is granted in part and denied in part, the court may apportion the reasonable expenses incurred in relation to the motion among the parties and persons in a just manner.
(b) Failure to comply with order.
(1) Sanctions by court in county where deposition is taken. If a deponent fails to be sworn or to answer a question after being directed to do so by the court in the county in which the deposition is being taken, the failure may be considered a contempt of that court.
(2) Sanctions by court in which action is pending. If a party or an officer, director, or managing agent of a party or a person designated under paragraph (6) of subsection (b) of Code Section 9-11-30 or subsection (a) of Code Section 9-11-31 to testify on behalf of a party fails to obey an order to provide or permit discovery, including an order made under subsection (a) of this Code section or Code Section 9-11-35, the court in which the action is pending may make such orders in regard to the failure as are just and, among others, the following:
(A) An order that the matters regarding which the order was made or any other designated facts shall be taken to be established for the purposes of the action in accordance with the claim of the party obtaining the order;
(B) An order refusing to allow the disobedient party to supportor oppose designated claims or defenses, or prohibiting him from introducing designated matters in evidence;
(C) An order striking out pleadings or parts thereof, or staying further proceedings until the order is obeyed, or dismissing the action or proceeding or any part thereof, or rendering a judgment by default against the disobedient party;
(D) In lieu of any of the foregoing orders, or in addition thereto, an order treating as a contempt of court the failure to obey any orders except an order to submit to a physical or mental examination; or
(E) Where a party has failed to comply with an order under
subsection (a) of Code Section 9-11-35 requiring him to produce
another for examination, such orders as are listed in subparagraphs
(A),(B), and (C) of this paragraph, unless the party failing to
comply shows that he is unable to produce such person for examination.
In lieu of any of the foregoing orders, or in addition thereto,
the court shall require the party failing to obey the order or
the attorney advising him, or both, to pay the reasonable expenses, including
attorney's fees, caused by the failure, unless the court finds that the
failure was substantially justified or that other circumstances make an
award of expenses unjust.
(c) Expenses on failure to admit. If a party fails to admit the genuineness of any document or the truth of any matter as requested under Code Section 9-11-36 and if the party requesting the admissions thereafter proves the genuineness of the document or the truth of the matter, he may apply to the court for an order requiring the other party to pay him the reasonable expenses incurred in making that proof, including reasonable attorney's fees. The court shall make the order unless it finds that the request was held objectionable pursuant to subsection (a) of Code Section 9-11-36, or the admission sought was of no substantial importance, or the party failing to admit had reasonable ground to believe thathe might prevaile on the matter, or there was other good reason forthe failure to admit.
(d) Failure of party to attend at own deposition or serve answers to interrogatories or respond to request for inspection.
(1) If a party or an officer, director, or managing agent of a
party or a person designated under paragraph (6) of subsection
(b) of Code Section 9-11-30 or subsection (a) of Code Section
9-11-31 to testify on behalf of a party fails to appear before
the officer who is to take his deposition, after being served
with a proper notice, or fails to serve answers or objections
to interrogatories submitted under Code Section 9-11-33, after
proper service of the interrogatories, or fails to serve a written
response to a request for inspection submitted under Code Section 9-11-34,
after proper service of the request, the court in which the action is pending
on motion may make such orders in regard to the failure as are just; and,
among others, it may take any action authorized under subparagraphs (b)(2)(A)
through (b)(2)(C) of this Code section. In lieu of any order,
or in addition thereto, the court shall require the party failing
to act or the attorney advising him, or both, to pay the reasonable
expenses, including attorney's fees, caused by
the failure, unless the court finds that the failure was substantially
justified or that other circumstances make an award of expenses
unjust.
(2) The failure to act described in the provisions of this chapter which relate to depositions and discovery may not be excused on the ground that the discovery sought is objectionable unless the party failing to act has applied for a protective order as provided by subsection (c) of Code Section 9-11-26. (Georgia Code, 9-11-37)
Domestic Actions Discovery Notes
If you require extra time to respond to discovery, you should ask the other side for an extension in writing. It may also be necessary to enter an order granting the extension to protect your rights.
Discovery questions are limited in number so select the most important questions to ask the other side. Don't waste your requests writing questions that you already know the answer to.
Definitions
Discovery: A procedure designed to allow disclosure of information between Plaintiffs and Defendants. Written questions, oral questioning, document production and admissions requests are generally allowed. Discovery was designed to to prevent trial by ambush.
Interrogatories: Written questions from Plaintiff to Defendant, or from Defendant to Plaintiff. The questions are mailed to the Plaintiff, Defendant or the attorney for response in writing. The answers or responses are usually due between 20-30 days.
Deposition: A procedure where verbal questions are asked a Plaintiff or Defendant for immediate response. Depositions are usually recorded by a court reporter, who swears the person to tell the truth before questioning begins.
Production of Documents: The method of obtaining documents from the other party relevant to the case such as all documents a party intends to introduce at trial.
Requests for Admissions: Written questions where you request the other party to admit or deny some relevant fact.
Objections: Objections may be made to all discovery questions if the questions are not relevant, or likely to lead to the discovery of relevant evidence.
Civil Procedure Rules: Virtually all states have adopted a version of civil procedure rules which include rules dealing with discovery.
Georgia Uniform Court Rules
Georgia has adopted Uniform Court Rules which are contained in the Georgia Code, Sections 9-11-26 through 9-11-37. The discovery rules also apply in divorce actions.
Discovery Methods: Parties may obtain discovery by one or more of the following methods: (1) depositions upon oral examination or written questions; (2) written interrogatories; (3) production of documents or things or permission to enter upon land or other property, for inspection and other purposes; and (4) requests for admission. Unless the court orders otherwise, the frequency of use of these methods is not limited. (Georgia Code, Section 9-11-26)
Scope: Parties may obtain discovery regarding any matter, not privileged, which is relevant to the issues raised by the claims or defenses of any party. The discovery may include the existence, description, nature, custody, condition and location of any books, documents, or other tangible things; and the identity and location of persons (i) having knowledge of any discoverable matter or (ii) who may be called as witnesses at the trial. It is not ground for objection that the information sought will be inadmissible at the trial if the information sought appears reasonably calculated to lead to the discovery of admissible evidence. A party may obtain without the required showing a statement concerning the action or its subject matter previously made by that party. (Georgia Code, Section 9-11-26)
Experts: A party may through interrogatories require any other party to identify each person whom the other party expects to call as an expert witness at trial, to state the subject matter on which the expert is expected to testify, and to state the substance of the facts and opinions to which the expert is expected to testify and a summary of the grounds for each opinion. (Georgia Code, Section 9-11-26)
Supplementation of Responses. A party who has responded to a request for discovery with a response that was complete when made is under no duty to supplement his response, except to supplement with respect to any question directly addressed to (A) the identity and location of persons (i) having knowledge of discoverable matters, or (ii) who may be called as witnesses at the trial, and (B) the identity of each person expected to be called as an expert witness at trial, the subject matter on which he is expected to testify, and the substance of his testimony.
A party is under a duty seasonably to amend a prior response if he obtains information upon the basis of which (A) he knows that the response was incorrect when made, or (B) he knows that the response, though correct when made, is no longer true and the circumstances are such that a failure to amend the response is in substance a knowing concealment. (Georgia Code, Section 9-11-26)
Before Whom Depositions May Be Taken: (a) Within the United States and its possessions. Within the United States or within a territory or insular possession subject to the dominion of the United States, depositions shall be taken before an officer authorized to administer oaths by the laws of the United States or by the laws of the place where the examination is held or before a court reporter appointed by the court in which the action is pending or, if within this state, before a certified court reporter or as otherwise provided by the rules of the Board of Court Reporting. A person so appointed has power to administer oaths and take testimony.
(b) In foreign countries. In a foreign state or country depositions shall be taken on notice before a secretary of embassy or legation,consul general, consul, vice-consul, or consular agent of the United States, or before such person or officer as may be appointed by commission or under letters rogatory. A commission or letters rogatory shall be issued only when necessary or convenient, on application and notice, and on such terms and with such directions as are just and appropriate. Officers may be designated in notices or commissions either by name or by descriptive title and letters rogatory may be addressed "To the Appropriate Judicial Authority in (here name the country)."
(c) Disqualification for interest. No deposition shall be taken before a court reporter who is a relative, employee, attorney, or counsel of any of the parties, or who is a relative or employee of such attorney or counsel, or who is financially interested in the action, excepting that a deposition may be taken before a court reporter who is a relative of a party or of an attorney or counsel of a party if all parties represented at the deposition enter their explicit consent to the same upon the record of the deposition. (Georgia Code, Section 9-11-28)
Stipulations: Unless the court orders otherwise, the parties may, by written stipulation: (1) Provide that depositions may be taken before any person, at any time or place, upon any notice, and in any manner and, when so taken, may be used like other depositions; and
(2) Modify the procedures provided by this chapter for other methods of discovery. (Georgia Code, Section 9-11-29)
Summary of Georgia Code, Section 9-11-29.1:
Georgia Code, Section 9-11-29.1 specifically lists when depositions and other discovery material, otherwise required to be filed with the court shall not be required to be filed.
The entire rule provides:
(a) Depositions and other discovery material otherwise required to be filed with the court under this chapter shall not be required to be so filed unless:
(1) Required by local rule of court;
(2) Ordered by the court;
(3) Requested by any party to the action;
(4) Relief relating to discovery material is sought under this chapter and said material has not previously been filed under some other provision of this chapter, in which event copies of thematerial in dispute shall be filed by the movant contemporaneously with the motion for relief; or
(5) Such material is to be used at trial or is necessary to apretrial or posttrial motion and said material has not previously been filed under some other provision of this chapter, in whichevent the portions to be used shall be filed with the clerk of the court at the outset of the trial or at the filing of the motion,insofar as their use can be reasonably anticipated by the partieshaving custody thereof, but a party attempting to file and use such material which was not filed with the clerk at the outset ofthe trial or at the filing of the motion shall show to the satisfaction of the court, before the court may authorize such filing and use, that sufficient reasons exist to justify that late filing and use and that the late filing and use will not constitute surprise or manifest injustice to any other party in the proceedings.
(b)Until such time as discovery material is filed under paragraphs (1)through (5) of subsection (a) of this Code section, the original of all depositions shall be retained by the party taking the deposition and the original of all other discovery material shall be retained by the party requesting such material, and the person thus retaining the deposition or other discovery material shall be the custodian thereof. (Georgia Code, Section 9-11-29.1)
When Depositions May Be Taken:
(a) When depositions may be taken. After commencement of the action, any party may take the testimony of any person, including a party, by deposition upon oral examination. Leave of court, granted with or without notice, must be obtained only if the plaintiff seeks to take a deposition prior to the expiration of 30 days after service of the summons and complaint upon any defendant or service made under subsection (f) of Code Section 9-11-4, except that leave is not required if a defendant has served a notice of taking deposition or otherwise sought discovery or if special notice is given as provided in paragraph (2) of subsection (b) of this Code section. The attendance of witnesses may be compelled by subpoena as provided in Code Section 9-11-45. The deposition of a person confined in a penal institution may be taken only by leave of court on such terms as the court prescribes.
(b) Notice of examination.
(1) General requirements. A party desiring to take the deposition of any person upon oral examination shall give reasonable notice in writing to every other party to the action. The notice shall state the time and place for taking the deposition, the means by which the testimony shall be recorded, and the name and address of each person to be xamined, if known, and, if the name is not known, a general description sufficient to identify the person to be examined or the particular class or group to which he or she belongs. If a subpoena for the production of documentary and tangible evidence is to be served on the person to be examined, the designation of the materials to be produced, as set forth in the subpoena, shall be attached to, or included in, the notice.
(2) Special notice. Leave of court is not required for the taking of a deposition by plaintiff if the notice:
(A) States that the person to be examined is about to go out of the county where the action is pending and more than 150 miles from the place of trial, or is about to go out of the United States, or is bound on a voyage to sea, and will be unavailable for amination unless the deposition is taken before expiration of the 30 day period; and
(B) Sets forth facts to support the statement. The plaintiff's attorney shall sign the notice, and said attorney's signature constitutes a certification by him or her that, to the best of his or her knowledge, information, and belief, the statement and supporting facts are true. If a party shows that, when he or she was served with notice under this paragraph, he or she was unable through the exercise of diligence to obtain counsel to represent him or her at the taking of the deposition, the deposition may not be used against such party.
(3) Time requirements. The court may, for cause shown, enlarge or shorten the time for taking the deposition.
(4) Recording of deposition. Unless the court orders otherwise, the testimony at a deposition must be recorded by stenographic means, and may also be recorded by sound or sound and visual means in addition to stenographic means, and the party taking the deposition shall bear the costs of the recording. A deposition shall be conducted before an officer appointed or designated under Code Section 9-11-28. Upon motion of a party or upon its own motion, the court may issue an order designating the manner of recording, preserving, and filing of a deposition taken by nonstenographic means, which order may include other provisions to assure that the recorded testimony will be accurate and trustworthy. Any party may arrange for a transcription to be made from the recording of a deposition taken by nonstenographic means. With prior notice to the deponent and other parties, any party may designate another method to record the deponent's testimony in addition to the methods specified by the person taking the deposition. The additional record or transcript shall be made at that party's expense unless the court otherwise orders. The appearance or demeanor of deponents or attorneys shall not be distorted through camera or sound-recording techniques. Notwithstanding the foregoing provisions of this paragraph, a deposition may be taken by telephone or other remote electronic means only upon the stipulation of the parties or by order of the court. For purposes of the requirements of this chapter, a deposition taken by telephone or other remote electronic means is taken in the state and at the place where the deponent is to answer questions.
(5) Production of documents and things. The notice to a party deponent may be accompanied by a request made in compliance with Code Section 9-11-34 for the production of documents and tangible things at the taking of the deposition. The procedure of Code Section 9-11-34 shall apply to the request.
(6) Deposition of organization. A party may, in his or her notice, name as the deponent a public or private corporation orapartnership or association or a governmental agency and signate with reasonable particularity the matters on which examinationis requested. The organization so named shall designate one or more officers, directors, or managing agents, or other persons who consent to testify on its behalf, and may set forth, for each person designated, the matters on which he or she will testify. The persons so designated shall testify as to matters known or reasonably available to the organization. This paragraph does not preclude taking a deposition by any other procedure authorized in this chapter. (Georgia Code, Section 9-11-30)
Interrogatories
(a) Availability; procedures for use.
(1) Any party may serve upon any other party written interrogatories to be answered by the party served or, if the party served is a public or private corporation or a partnership or association or a governmental agency, by any officer oragent, who shall furnish such information as is available to the party. Interrogatories may, without leave of court, be served upon the plaintiff after commencement of the action and upon any other party with or after service of the summons and complaint upon that party; provided, however, that no party may serve interrogatories containing more than 50 interrogatories, including subparts, upon any other party without leave of court upon a showing of complex litigation or undue hardship incurred if such additional interrogatories are not permitted.
(2) Each interrogatory shall be answered separately and fully in writing under oath, unless it is objected to, in which event thereasons for objection shall be stated in lieu of an answer. The answers are to be signed by the person making them, and the objections signed by the attorney making them. The party upon whom the interrogatories have been served shall serve a copy of the answers, and objections if any, within 30 days after the service of the interrogatories, except that a defendant may serve answers or objections within 45 days after service of the summons and complaint upon that defendant. The court may allow a shorter or longer time. The party submitting the interrogatories may move for an order under subsection (a) of Code Section 9-11-37 with respect to any objection to or other failure to answer an interrogatory.
(b) Scope; use at trial.
(1) Interrogatories may relate to any matters which can be inquired into under subsection (b) of Code Section 9-11-26, andthe answers may be used to the extent permitted by the rules ofevidence.
(2) An interrogatory otherwise proper is not necessarily objectionable merely because an answer to the interrogatory involves an opinion or contention that relates to fact or to the application of law to fact; but the court may order that such an interrogatory need not be answered until after designated discovery has been completed or until a pretrial conference or other later time.
(c) Option to produce business records. Where the answer to an interrogatory may be derived or ascertained from the business records of the party upon whom the interrogatory has been served or from an examination, audit, or inspection of such business records, or from a compilation, abstract, or summary based thereon, and the burden of deriving or ascertaining the answer is substantially the same for the party serving the interrogatory as for the party served, it is a sufficient answer to the interrogatory to specify the records from which the answer may be derived or ascertained and to afford to the party serving the interrogatory reasonable opportunity to examine, audit, or inspect such records and to make copies, compilations, abstracts, or summaries. (Georgia Code, 9-11-33)
PHYSICAL AND MENTAL EXAMINATIONS OF PERSONS
(a) Order for examination. When the mental or physical condition (including the blood group) of a party, or of a person in the custody or under the legal control of a party, is in controversy, the court in which the action is pending may order the party to submit to a physical or mental examination by a physician or to produce for examination the person in his custody or legal control. The order may be made only on motion for good cause shown and upon notice to the person to be examined and to all parties and shall specify the time, place, manner, conditions, and scope of the examination and the person or persons by whom it is to be made.
(b) Report of examining physician.
(1) If requested by the party against whom an order is made under subsection (a) of this Code section or by the person examined, the party causing the examination to be made shall deliver to him a copy of a detailed written report of the examining physician setting out his findings, including results of all tests made, diagnoses, and conclusions, together with like reports of all earlier examinations of the same condition.
(2) Any party shall be entitled, upon request, to receive from the party whose physical or mental condition is in issue, or who is in control of, or has legal custody of, a person whose physical or mental condition is in issue, a report of any and every examination, previously or thereafter made, of the condition in issue, unless, in the case of a report of examination of a person not a party, the party shows that he is unable to obtain it.
(3) The court, on motion, may make an order against a partyrequiring delivery of a report under paragraph (1) or (2) of this subsection on such terms as are just; and, if a physician fails or refuses to make a report, the court may exclude his testimony if offered at the trial.
(4) By requesting and obtaining a report of the examination so ordered or by taking the deposition of the examiner, the party examined waives any privilege he may have in that action, or any other action involving the same controversy, regarding the testimony of every other person who has examined or may thereafter examine him in respect to the same mental or physical condition.
(5) Paragraphs (1) through (4) of this subsection apply to examinations made by agreement of the parties, unless the agreement expressly provides otherwise. Paragraphs (1) through (4) of this subsection do not preclude discovery of a report of an examining physician or the taking of a deposition of the physician in accordance with any other Code section of this chapter. (Georgia Code, 9-11-35)
Requests for Admissions
(a) Scope; service; answer or objection; motion to determine sufficiency.
(1) A party may serve upon any other party a written request for the admission, for purposes of the pending action only, of the truth of any matters within the scope of subsection (b) of Code Section 9-11-26 which are set forth in the request and that relate to statements or opinions of fact or of the application of law to fact, including the genuineness of any documents described in the request. Copies of documents shall be served with the request unless they have been or are otherwise furnished or made available for inspection and copying. The request may, without leave of court, be served upon the plaintiff after commencement of the action and upon any other party with or after service of the summons and complaint upon that party.
(2) Each matter of which an admission is requested shall be separately set forth. The matter is admitted unless, within 30 days after service of the request or within such shorter or longer time as the court may allow, the party to whom the request is directed serves upon the party requesting the admission a written answer or objection addressed to the matter, signed by the party or by his attorney; but unless the court shortens the time, a defendant shall not be required to serve answers or objections before the expiration of 45 days after service of the summons and complaint upon him. If objection is made, the reasons therefor shall be stated. The answer shall specifically deny the matter or set forth in detail the reasons why the answering party cannot truthfully admit or deny the matter. A denial shall fairly meet the substance of the requested admission; and, when good faith requires that a party qualify his answer or deny only a part of the matter of which an admission is requested, he shall specify so much of it as is true and qualify or deny the remainder. An answering party may not give lack of information or knowledge as a reason for failure to admit or deny unless he states that he has made reasonable inquiry and that the information known or readily obtainable by him is insufficient to enable him to admit or deny. A party who considers that a matter of which an admission has been requested presents a genuine issue for trial may not, on that ground alone, object to the request; he may, subject to subsection
(c) of Code Section 9-11-37, deny the matter or set forth reasons why he cannot admit or deny it.
(3) The party who has requested the admissions may move to determine the sufficiency of the answers or objections. Unless the court determines that an objection is justified, it shall order that an answer be served. If the court determines that an answer does not comply with the requirements of this subsection, it may order either that the matter is admitted or that an amended answer be served. The court way, in lieu of these orders, determine that final disposition of the request be made at a pretrial conference or at a designated time prior to trial. Paragraph (4) of subsection (a) of Code Section 9-11-37 shall apply to the award of expenses incurred in relation to the motion.
(b) Effect of admission. Any matter admitted under this Code section is conclusively established unless the court, on motion, permits withdrawal or amendment of the admission. Subject to Code Section 9-11-16 governing amendment of a pretrial order, the court may permit withdrawal or amendment when the presentation of the merits of the action will be subserved thereby and the party who obtained the admission fails to satisfy the court that withdrawal or amendment will prejudice him in maintaining his action or defense on the merits. Any admission made by a party under this Code section is for the purpose of the pending action only and is not an admission by him for any other purpose, nor may it be used against him in any other proceeding. (Georgia Code, 9-11-36)
Motion Compelling Discovery
(a) Motion for order compelling discovery. A party, upon reasonable notice to other parties and all persons affected thereby, may apply for an order compelling discovery as follows:
(1) Appropriate court. An application for an order to a party may be made to the court in which the action is pending or, on matter relating to a deposition, to the court in the county where the deposition is being taken. An application for an order to deponent who is not a party shall be made to the court in thecounty where the deposition is being taken;
(2) Motion; protective order. If a deponent fails to answer question propounded or submitted under Code Section 9-11-30 or 9-11-31, or a corporation or other entity fails to make designation under paragraph (6) of subsection (b) of Code Section 9-11-30 or subsection (a) of Code Section 9-11-31, or a part fails to answer an interrogatory submitted under Code Section 9-11-33, or if a party, in response to a request for inspection submitted under Code Section 9-11-34, fails to respond that inspection will be permitted as requested or fails to permit inspection as requested, the discovering party may move for an order compelling an answer, or a designation, or an order compelling inspection in accordance with the request. When taking a deposition on oral examination, the proponent of the question may complete or adjourn the examination before he applies for an order. If the court denies the motion in whole or in part, it may make such protective order as it would have been empowered to make on a motion made pursuant to subsection (c) of Code Section 9-11-26;
(3) Evasive or incomplete answer. For purposes of the provisions of this chapter which relate to depositions and discovery, an evasive or incomplete answer is to be treated as a failure to answer; and
(4) Award of expenses of motion.
(A) If the motion is granted, the court shall, after opportunity for hearing, require the party or deponent whose conduct necessitated the motion or the party or attorney advising such conduct or both of them to pay to the moving party the reasonable expenses incurred in obtaining the order, including attorney's fees, unless the court finds that the opposition to the motion was substantially justified or that other circumstances make an award of expenses unjust.
(B) If the motion is denied, the court shall, after opportunity for hearing, require the moving party or the attorney advising the motion or both of them to pay to the party or deponent who opposed the motion the reasonable expenses incurred in opposing the motion, including attorney's fees, unless the court finds that the making of the motion was substantially justified or that other circumstances make an award of expenses unjust.
(C) If the motion is granted in part and denied in part, the court may apportion the reasonable expenses incurred in relation to the motion among the parties and persons in a just manner.
(b) Failure to comply with order.
(1) Sanctions by court in county where deposition is taken. If a deponent fails to be sworn or to answer a question after being directed to do so by the court in the county in which the deposition is being taken, the failure may be considered a contempt of that court.
(2) Sanctions by court in which action is pending. If a party or an officer, director, or managing agent of a party or a person designated under paragraph (6) of subsection (b) of Code Section 9-11-30 or subsection (a) of Code Section 9-11-31 to testify on behalf of a party fails to obey an order to provide or permit discovery, including an order made under subsection (a) of this Code section or Code Section 9-11-35, the court in which the action is pending may make such orders in regard to the failure as are just and, among others, the following:
(A) An order that the matters regarding which the order was made or any other designated facts shall be taken to be established for the purposes of the action in accordance with the claim of the party obtaining the order;
(B) An order refusing to allow the disobedient party to supportor oppose designated claims or defenses, or prohibiting him from introducing designated matters in evidence;
(C) An order striking out pleadings or parts thereof, or staying further proceedings until the order is obeyed, or dismissing the action or proceeding or any part thereof, or rendering a judgment by default against the disobedient party;
(D) In lieu of any of the foregoing orders, or in addition thereto, an order treating as a contempt of court the failure to obey any orders except an order to submit to a physical or mental examination; or
(E) Where a party has failed to comply with an order under
subsection (a) of Code Section 9-11-35 requiring him to produce
another for examination, such orders as are listed in subparagraphs
(A),(B), and (C) of this paragraph, unless the party failing to
comply shows that he is unable to produce such person for examination.
In lieu of any of the foregoing orders, or in addition thereto,
the court shall require the party failing to obey the order or
the attorney advising him, or both, to pay the reasonable expenses, including
attorney's fees, caused by the failure, unless the court finds that the
failure was substantially justified or that other circumstances make an
award of expenses unjust.
(c) Expenses on failure to admit. If a party fails to admit the genuineness of any document or the truth of any matter as requested under Code Section 9-11-36 and if the party requesting the admissions thereafter proves the genuineness of the document or the truth of the matter, he may apply to the court for an order requiring the other party to pay him the reasonable expenses incurred in making that proof, including reasonable attorney's fees. The court shall make the order unless it finds that the request was held objectionable pursuant to subsection (a) of Code Section 9-11-36, or the admission sought was of no substantial importance, or the party failing to admit had reasonable ground to believe thathe might prevaile on the matter, or there was other good reason forthe failure to admit.
(d) Failure of party to attend at own deposition or serve answers to interrogatories or respond to request for inspection.
(1) If a party or an officer, director, or managing agent of a
party or a person designated under paragraph (6) of subsection
(b) of Code Section 9-11-30 or subsection (a) of Code Section
9-11-31 to testify on behalf of a party fails to appear before
the officer who is to take his deposition, after being served
with a proper notice, or fails to serve answers or objections
to interrogatories submitted under Code Section 9-11-33, after
proper service of the interrogatories, or fails to serve a written
response to a request for inspection submitted under Code Section 9-11-34,
after proper service of the request, the court in which the action is pending
on motion may make such orders in regard to the failure as are just; and,
among others, it may take any action authorized under subparagraphs (b)(2)(A)
through (b)(2)(C) of this Code section. In lieu of any order,
or in addition thereto, the court shall require the party failing
to act or the attorney advising him, or both, to pay the reasonable
expenses, including attorney's fees, caused by
the failure, unless the court finds that the failure was substantially
justified or that other circumstances make an award of expenses
unjust.
(2) The failure to act described in the provisions of this chapter which relate to depositions and discovery may not be excused on the ground that the discovery sought is objectionable unless the party failing to act has applied for a protective order as provided by subsection (c) of Code Section 9-11-26. (Georgia Code, 9-11-37)
Domestic Actions Discovery Notes
If you require extra time to respond to discovery, you should ask the other side for an extension in writing. It may also be necessary to enter an order granting the extension to protect your rights.
Discovery questions are limited in number so select the most important questions to ask the other side. Don't waste your requests writing questions that you already know the answer to.